首页
学习
活动
专区
圈层
工具
发布
首页
学习
活动
专区
圈层
工具
MCP广场
社区首页 >专栏 >棋盘覆盖问题(Java)

棋盘覆盖问题(Java)

作者头像
WHYBIGDATA
发布2023-01-31 11:54:53
发布2023-01-31 11:54:53
98500
代码可运行
举报
运行总次数:0
代码可运行

棋盘覆盖问题(Java)

  • 1、问题描述
  • 2、算法设计思路
  • 3、代码实现
  • 4、复杂度分析
  • 5、参考


1、问题描述

在一个2k×2k个方格组成的棋盘中,若恰有一个方格与其他方格不同,则称该方格为一特殊方格,且称该棋盘为一个特殊棋盘。显然特殊方格在棋盘上出现的位置有4k 种情形.因而对任何k ≥ 0,有4k种不同的特殊棋盘。如下图中的特殊棋盘是当k = 2时16个特殊棋盘中的一个。

在棋盘覆盖问题中,要用下图所示的4种不同形态的L型骨牌覆盖一个给定的特殊棋盘上除特殊方格以外的所有方格,且任何2个L型骨牌不得重叠覆盖。易知,在任何一个2k×2k的棋盘覆盖中,用到的L型骨牌个数恰好为(4k - 1)/3。

2、算法设计思路

使用分治策略,可以设计出解棋盘覆盖问题的简洁算法。

k>0时,将2k×2k棋盘分割为4个2k-1×2k-1 子棋盘,如下图(a)所示。

特殊方格必位于4个较小子棋盘之一中,其余3个子棋盘中无特殊方格。为了将这3个无特殊方格的子棋盘转化为特殊棋盘,可以用一个L型骨牌覆盖这3个较小棋盘的会合处,如下图(b)所示,从而将原问题转化为4个较小规模的棋盘覆盖问题。递归地使用这种分割,直至棋盘简化为棋盘1×1

3、代码实现

❝特殊棋盘我们采用0来表示,同时假设特殊方格的位置为第三行第三列 ❞

棋盘一分为四之后,依次覆盖左上角子棋盘、右上角子棋盘、左下角子棋盘、右下角子棋盘。如若特殊方格在子棋盘中,则递归执行该子棋盘的操作;若不在,对于左上角子棋盘、右上角子棋盘、左下角子棋盘、右下角子棋盘而言,用编号为t的L型骨牌依次覆盖右下角、左下角、右上角、左上角的方格。

代码语言:javascript
代码运行次数:0
运行
复制
/**
 * TODO  棋盘覆盖算法 特殊棋盘我们采用0来表示
 *
 */
public class chessBoard {

    static final int SIZE = 4;
    static int[][] board = new int[SIZE][SIZE];
    static int title = 1; // title表示L型骨牌的编号

    public static void main(String[] args) {
        // TODO 假设特殊方格的位置为第三行第三列
        board[2][2] = 0;
        ChessBoard(0, 0, 2, 2, SIZE);

        System.out.println(SIZE + "*" + SIZE + "的L型骨牌棋盘为:");
        for (int i = 0; i < SIZE; ++i) {
            for (int j = 0; j < SIZE; j++) {
                System.out.print(board[i][j] + "  ");
            }
            System.out.println();
        }
    }


    /**
     *
     * @param tr    表示棋盘左上角行号
     * @param tc    表示棋盘左上角列号
     * @param dr    表示特殊棋盘的行号
     * @param dc    表示特殊棋盘的列号
     * @param size  =2^k。棋盘的规格为2^k*2^k
     */
    public static void ChessBoard(int tr, int tc, int dr, int dc, int size) {
        if (size == 1) {
            return;
        }
        int t = title++;    // t表示L型骨牌的编号
        int s = size / 2;   // 分割的子棋盘的规格大小(切分为4个子棋盘)

        // TODO 1.覆盖左上角子棋盘
        if (dr < tr + s && dc < tc + s) {
            // TODO 说明特殊方格在此子棋盘中
            ChessBoard(tr, tc, dr, dc, s);
        } else {
            // TODO 说明特殊方格不在此子棋盘中
            //  用t号L型棋盘覆盖这个子棋盘的右下角
            board[tr + s - 1][tc + s - 1] = t;
            // TODO 覆盖其余棋盘方格
            ChessBoard(tr, tc, tr + s - 1, tc + s - 1, s);
        }

        // TODO 2.覆盖右上角子棋盘
        if (dr < tr + s && dc >= tc + s) {
            ChessBoard(tr, tc + s, dr, dc, s);
        } else {
            // 用t号L型棋盘覆盖这个子棋盘的左下角
            board[tr + s - 1][tc + s] = t;
            ChessBoard(tr, tc + s, tr + s - 1, tc + s, s);
        }

        // TODO 3.覆盖左下角子棋盘
        if (dr >= tr + s && dc < tc + s) {
            ChessBoard(tr + s, tc, dr, dc, s);
        } else {
            // 用t号L型棋盘覆盖这个子棋盘的右上角
            board[tr + s][tc + s - 1] = t;
            ChessBoard(tr + s, tc, tr + s, tc + s - 1, s);
        }

        // TODO 4.覆盖右下角子棋盘
        if (dr >= tr + s && dc >= tc + s) {
            ChessBoard(tr + s, tc + s, dr, dc, s);
        } else {
            // // 用t号L型棋盘覆盖这个子棋盘的左上角
            board[tr + s][tc + s] = t;
            ChessBoard(tr + s, tc + s, tr + s, tc + s, s);
        }

    }
}

具体步骤如下图所示:

4、复杂度分析

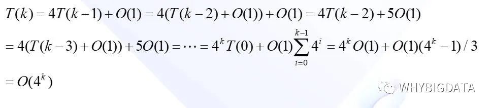
设T(k)是算法chessBoard覆盖一个2k×2k棋盘所需的时间。从算法的分隔策略可以知道,T(k)满足以下的递归方程:

  • 当k = 0时,T(k) = O(1),
  • 当k > 0时,T(k) = 4T(k - 1) + O(1)

最终此递归方程可得:T(n) = O(4k)。由于覆盖2k×2k棋盘所需的L型骨牌个数为(4k - 1)/3,所以此算法是一个在渐进意义下的最优算法。

5、参考

  • 算法分析与设计(第四版)
本文参与 腾讯云自媒体同步曝光计划,分享自微信公众号。
原始发表:2022-11-21,如有侵权请联系 cloudcommunity@tencent.com 删除

本文分享自 WHYBIGDATA 微信公众号,前往查看

如有侵权,请联系 cloudcommunity@tencent.com 删除。

本文参与 腾讯云自媒体同步曝光计划  ,欢迎热爱写作的你一起参与!

评论
登录后参与评论
0 条评论
热度
最新
推荐阅读
目录
  • 棋盘覆盖问题(Java)
    • 1、问题描述
    • 2、算法设计思路
    • 3、代码实现
    • 具体步骤如下图所示:
    • 5、参考
领券
问题归档专栏文章快讯文章归档关键词归档开发者手册归档开发者手册 Section 归档