
喜大普奔!
tidymodels终于支持校准曲线了!千呼万唤始出来,几个月前,我还号召大家多去github提issue...

这不,校准曲线就来了!
截止到2022.11.30日,只能安装开发版才有这个功能,cran上的版本还没有这个功能。
remotes::install_github("tidymodels/probably")
和yardstick的用法一脉相承,如果你还不知道yardstick以及tidymodels系列的使用规范,请参考这篇入门教程:tidymodels用于机器学习的一些使用细节
我们使用这篇推文中的数据:tidymodels不能画校准曲线?。
具体过程就不再演示了,直接使用pred_rf这个对象进行演示。
suppressMessages(library(tidymodels))
suppressMessages(library(probably))
load(file = "../../000预测模型/pred_rf.rdata")
这个结果就是tidymodels中得到的标准结果,一切模型衡量指标都是通过这个结果算出来的,包括校准曲线。
结果长这样:
head(pred_rf)
## # A tibble: 6 × 4
## play_type .pred_pass .pred_run .pred_class
## <fct> <dbl> <dbl> <fct>
## 1 pass 0.312 0.688 run
## 2 pass 0.829 0.171 pass
## 3 pass 0.806 0.194 pass
## 4 pass 0.678 0.322 pass
## 5 run 0.184 0.816 run
## 6 run 0.544 0.456 pass
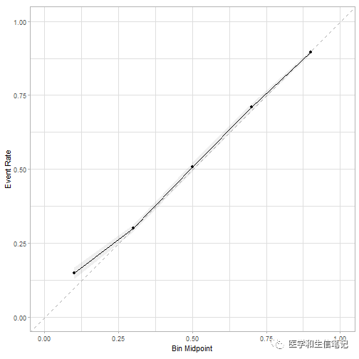
校准曲线是先对概率进行分箱,然后计算平均值得到的,如果你还不明白,请参考这篇推文:一文搞懂临床预测模型的评价!
基于分箱的原理画校准曲线,通过以下函数实现:
pred_rf %>%
cal_plot_breaks(play_type, .pred_pass)

plot of chunk unnamed-chunk-4
有几个参数可以调节:
pred_rf %>%
cal_plot_breaks(play_type, .pred_pass,
num_breaks = 5 , # 选几个点
include_rug=F, # 是否添加地毯线
include_ribbon = T, # 是否添加可信区间
conf_level = 0.95 # 可信区间范围
)

plot of chunk unnamed-chunk-5
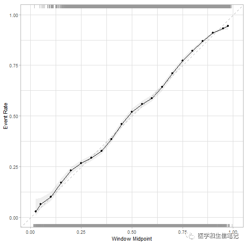
但是有时候样本量太少,不方便分箱,tidymodels提供了一种窗口滑动的方式。
比如一共100个样本,第一次取第1个到第10个样本,然后计算得到一个预测值,第二次取第6个到第15个样本,计算得到一个预测值,第三次取第11个带第20个样本,以此类推,彼此之间是有重复的。
可通过cal_plot_windowed函数实现这样的校准曲线:
pred_rf %>%
cal_plot_windowed(play_type, .pred_pass)

plot of chunk unnamed-chunk-6
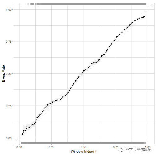
其中step_size参数控制每次增加多少:
# 每次增加2%
pred_rf %>%
cal_plot_windowed(play_type, .pred_pass, step_size = 0.02)

plot of chunk unnamed-chunk-7
所有这些图都是基于ggplot2的,可以无缝衔接ggplot2语法进行美化、修改。
对于分类模型的校准曲线终于有了!大家有需要的可以用起来了。
那么问题又来了,如果是做临床预测模型,可以用tidymodels吗?我的回答是:不推荐,没必要!