请大家关注我的最新版本的预印https://arxiv.org/abs/2203.11740,我们尝试用人工智能、量子力学和流体动力学理解我们的大脑。
这次更新主要内容是记忆损失、阿尔兹海默症的可能机理、基于模型对阿尔兹海默症药物的思考、建立阿尔兹海默症的早期到晚期的模型和本研究的贡献,并对全文进行了润色和修改。
除了突触连接的共享权重,我们提出了新的神经网络包括突触有效范围权重也会进行前向和反向计算。而且很多仿真是RNN无法实现的[14-28]。我们考虑了什么是记忆、记忆产生-巩固-损失、认知障碍和阿尔兹海默症可能机理。
Please pay attention our new version of preprint https://arxiv.org/abs/2203.11740, We try to understand our brain with artificial intelligence, quantum mechanics, and fluid dynamics.
The main contents of this update are Memory loss, Possible mechanisms of Alzheimer's disease, Considering Alzheimer's disease's drugs through models, Model early to late stages of Alzheimer's disease and Contribution to this research, and the full text has been retouched and revised.
In addition to the shared weights of the synaptic connections, we proposed a new neural network that includes the synaptic effective range weights for both the Forward and Back propagation. And lots of simulations were used which RNN cannot be achieved [14-28]. We thought about what is memory, memory Generation-Consolidation-Loss, possible Mechanism of Cognitive impairment and Alzheimer’s disease.
皮层厚度、大脑个体多样性和人类智商的关系[22].图1-3给出了认知障碍的可能机理,较厚的皮层和大脑较多样的个体会提高认知,但更厚的皮层和大脑更多样的个体可能会损害认知。
Relationships of cortex thickness, brain individual diversity and human intelligence [22]. Fig. 1-3shows the possible mechanisms of cognitive impairment, with thicker cortex and more diverse brains improving cognition, but individuals with the thickest cortex and the most diverse brains may impair cognition.

Fig.1 Normal IQ

Fig.2 High IQ

Fig.3 Low IQ

Fig.4 Memory generation
当大脑感知的反馈是正向或者负向的时刻(对应图4凹点或者凸点的位置),这些时刻记忆大脑塑性的映射函数可能会是量子的,并且这些提取的正向或者负向时刻记忆的大脑塑性因为壁垒可能在一段时间符合波函数的指数衰减。也许指数衰减和人类衰老有关。人类衰老的过程可能是指数衰减的不连续分段波函数的总和。壁垒可能和星形胶质细胞有关。工作记忆的方向导数将流向各皮层并存储在记忆印记细胞,高流动性的工作记忆或是最大的工作记忆的方向导数也就是短期记忆的梯度将成为长期记忆。
我们假设海马体存储记忆大脑架构为r,而这个r有可能受到自心脏频率和大脑架构的量子纠缠的作用[25]。如果r从海马体传导到大脑的第一皮层记忆产生变化率

,到第二皮层经过变化率传导记忆取

,而这一皮层的变化率继续传导实现记忆的流动,忽略不同皮层的差别那第n层皮层是大脑塑性的第n阶导数

。这有点像深度学习里的链式求导。从输入到输出的深度学习,也就是从外部的第n层皮层到内部的海马体。记忆对数螺旋线从一个皮层扩散到另一个皮层的湍流运动,只是能量损失,但是记忆印记还是近似。
通过认知产生的正向和负向记忆的大脑塑性是量子的并产生短期记忆,并且波函数展现出在一段时间表现出指数衰减,在海马体里产生。而指数衰减是因为壁垒,壁垒可能和星形胶质细胞有关。工作记忆的大脑塑性在大脑流动从海马体到不同皮层通过方向导数。强的工作记忆的大脑塑性转变成长期记忆也就是最大的方向导数,而最大的方向导数就是梯度。这样长期记忆是工作记忆的大脑塑性的梯度。
从海马体发生湍流到第一皮层,记忆可能是大脑塑性的一阶导数也就是梯度或雅可比矩阵。从第一皮层发生湍流到第二皮层,记忆可能是大脑塑性的雅可比矩阵的一阶导数就是二阶导数,也就是海森矩阵。

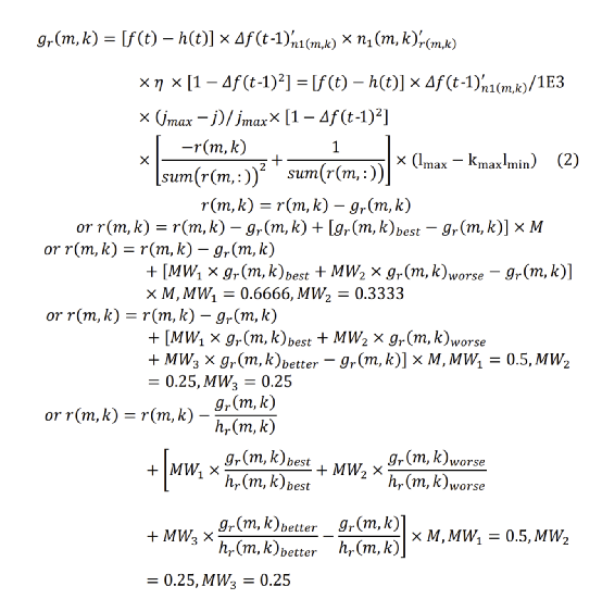
代表海森矩阵。此时修正突触有效范围的梯度法更改为牛顿法。式(2)可继续修正为考虑海森矩阵的情况。阿尔兹海默症可能首先是第一皮层的

方向取正,然后是第二皮层的

方向取正梯度,这些导数的方向改变导致突触的兴奋和抑制紊乱。见图9。同理记忆流动到第n层外部皮层是大脑塑性的第n阶导数。



负向或正向情绪和认知反映了通过量子力学得到的非经典的记忆,是短期的海马体记忆。波函数是高频率的,并且记忆大脑塑性波函数表现出动能因为高速的粒子,产生在海马体里。通过PNN,我们提出从海马体到不同皮层之间有壁障,将导致波函数指数衰减,并且高频波函数转换成低频。最终长期记忆的刺激信息存储在皮层的记忆印记细胞里,此时长期记忆表现出势能释放。壁垒和星形胶质细胞有一定关系。对工作记忆的方向导数将流向皮层并存储在记忆印记细胞,高流动性或最大的工作记忆的方向导数也就是工作记忆的梯度将变成长期记忆。记忆流动可以取临界角为0就是最大的方向导数,也可以取临界角为

,大于

记忆将会流动。
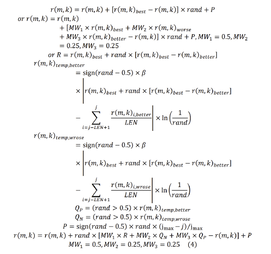
诺贝尔奖得主利根川进课题组确定了突触强度和树突棘密度的增加,特别是对于巩固的记忆印迹细胞中的作用。参考式(2)和(4),记忆巩固的式(5)表达如下,给出了工作记忆和长期记忆的关系,最大的方向导数就是梯度。从海马体到皮层,它在大脑实现了从非经典力学到经典力学。长期记忆是大脑塑性的梯度

这个过于理想,这有一个角度

,

会随着人类年龄增而增大,角

是临界值,大于它就是湍流,小于它就是层流。随着年龄增加湍流逐渐变成层流,

在图5显示[30]。

When brain is feeling positive or negative at some time points (it can be seen at the locations of salient points or concave points in Fig.4). The mapping function of exacted memory brain plasticity at these time points may be quantum. And these exacted positive or negative memories brains plasticity will exhibit exponential decay of wave function for a while because of barriers, and exponential decay may be related to human aging. The process of aging may be collection of discontinuous piecewise wave functions of exponential decay. Barriers may relate to astrocytes. Directional derivative of working memory will flow to the different cortices and stored in memory engram cells. Maximum of directional derivatives of working memory means gradient of short-term memory turns to long-term memory.
We hypothesize that the hippocampus stores memory brain architecture as r, this r may be affected by quantum entanglement from the heart frequency and the brain architecture [25]. If r is transmitted from the hippocampus to the first cortex of the brain, memory produces a rate of change

, and the second cortex conducts memory through the rate of change to take

, and the rate of change of this cortex continues to conduct to achieve the flow of memory, ignoring the difference between different cortices, then the nth cortex is the nth derivative

of brain plasticity. This is a bit like chain-derivation in Deep learning. Deep learning from input to output, that is, from the nth cortex on the outside to the hippocampus on the inside. The turbulent movement of the mnemonic logarithmic spiral spreading from one cortex to another is only a loss of energy, but the memory engrams are still approximate.
The brain plasticity in positive or negative memory through cognition may be quantum and produce short-term memory, and exhibits an exponential decay in the wave function over a period of time, produced in the hippocampus. And exponential decay occurs due to barriers, and barriers can refer to astrocytes. Brain plasticity in working memory flows through the brain, from the hippocampus to the cortex, through directional derivatives. The strong working memory brain plasticity turns to long-term memory means maximum of directional derivatives, and maximum of directional derivatives is gradient. Thus, long-term memory signifies the gradient of brain plasticity in working memory.
Turbulence occurs from the hippocampus to the first cortex, memory may be a first-order derivative of brain plasticity, means gradient or Jacobian matricx. Turbulence occurs from the first cortex to the second cortex, memory may be the first derivative of the brain plasticity Jacobian matricx, that is, second derivative of the brain plasticity, the Heisen matrix.

stands for the Heisen matrix. At this time, the gradient method that updates synaptic effective range is changed into Newton's method. Equation (2) can be further modified to take into account the case of the Heisen matrix. Alzheimer's disease may first be positive about in the

of the first cortex, followed by positive gradient in the

of the second cortex, and positive and negative changes in these derivatives lead to disturbances in synaptic excitation and inhibition. It is shown in Fig. 9. Similarly, memory flows to the nth external cortex may be the nth derivative of brain plasticity.
Negative or positive emotion and cognition reflect non-classical memories by quantum computing, are short-term hippocampal memories. The wave function is high-frequency. And wave function of exacted memories brains plasticity shows kinetic energy because of high-speed particles, produce at hippocampus. By PNN, we propose these appeared barriers from hippocampus to different cortexes, will lead to exponential decay of wave function, and wave function of high-frequency turns to low-frequency. At last, long-term stimulus information stored in memory engram cells of different cortexes. And long-term memory exhibits potential energy release. Barriers may relate to astrocytes. Directional derivative of working memory will flow to the different cortices and stored in memory engram cells. High flow working memory or maximum of directional derivatives of working memory means gradient of short-term memory will turn to long-term memory. Memory flow can take a critical angle of 0, which is the maximum directional derivatives, or a critical angle of

, greater than

memory will flow.
Nobel Prize winner Susumu Tonegawa’s group identified an increase of synaptic strength and dendritic spine density specifically in consolidated memory engram cells. Formula (2) and (4), the memory consolidation formula (5) can be shown as follows, it is the relationship of working memory and long-term memory, and maximum of directional derivatives is gradient. From hippocampus to cortices, it is achieved from non-classical to classical in brain. Long-term memory is gradient of brain plasticity

which is too idealistic, there is an angle

,

will increase because of human aging, the angle

is the critical value, greater than it is turbulence and less than it is laminar flow. And turbulence becomes laminar flow gradually throughout aging, the

was shown in Fig. 5 [30].

Fig.5 Memory Consolidation
前端丘脑选择短期记忆来长时间有选择性的巩固记忆[26]。带有梯度记忆的梯度法更新突触有效范围权重是长期记忆存储在皮层,量子计算更新突触有效范围权重是短期记忆发生在海马体。短期记忆穿越海马体和不同皮层的壁垒变成了长期记忆。参考式(2)、(4)和(5),工作记忆和短期记忆被巩固成为长期记忆,我们建议强和高流动的工作记忆或短期记忆就是提取的记忆大脑塑性最大方向导数等于相对好和差大脑塑性的梯度,也就是长期记忆。
正如最近在具有高空间分辨率的功能磁共振成像(FMRI)中所显示的那样,湍流显示出一种促进大脑动力学中跨时空尺度的能量和信息传递的基础方法 [27].记忆从海马体到不同的皮层是因为湍流而不是层流,长期记忆是大脑塑性的梯度

过于理想,这有一个角度

,

逐渐增大随着年龄的增加,湍流逐渐变成层流随着年龄的增大,而更小数值的切向量可能会伤害人类的智慧。
Anteromedial thalamus selects strong short-term memories and selectively stabilize memories at remote time [26]. The gradient method with memory gradient to update the synaptic effective range weights is long-term memory stored in cortices. The quantum computing to update the synaptic effective range weights is short-term memory happen in hippocampus. Short-term memory travels through the berries of hippocampus and different cortices and turns into long-term memory. Refer to formula (2), (4) and (5),, working memory or short-term memory is consolidated and turns long-term memory. And we suggest strong and high flow working memory or short-term memory means maximum of directional derivatives of exacted memory brain plasticity is relatively good or inferior gradient of memory brain plasticity, means long-term memory.
As recently shown in functional magnetic resonance imaging (FMRI) with high spatial resolution, turbulence shows to offer a based way to facilitate energy and information transfer across spatiotemporal scales in brain dynamics [27]. Memory from hippocampus to different cortices because of turbulence rather than laminar flow. Long-term memory is gradient of brain plasticity

that is too idealistic, there is an angle

,

will increase because of human aging, and turbulence becomes laminar flow gradually throughout aging, and smaller value tangent vector

might impair to human intelligence.

Fig.6 Memory Loss
如果

阿尔兹海默症将出现,海马体逐渐萎缩和变硬因为反向的湍流,结果被体现在图6,如同一个行星逐渐死亡形成黑洞。我们的猜想阿尔兹海默症的认知破坏是由搜索方向的反转导致,反向传播的负梯度被修正为正梯度,导致不能够收敛,转变方向的改变在图5-6体现 [30]。式(5)的

等于式(2)的

或

或

。同时两个不同方向湍流的作用

记忆损失和

的记忆巩固导致脑部的β 淀粉样蛋白。但对于阿尔兹海默症BP的正梯度是更重要的原因相比脑部的β 淀粉样蛋白。阿尔兹海默症可能首先是第一皮层的

方向取正梯度,然后是第二皮层的

方向取正,这些导数的方向改变导致突触的兴奋和抑制紊乱。我们猜想头发卷说明大脑能量强,能量能够大于皮层临界角从海马体传递到大脑表皮,所以头发卷的人不容易得阿尔兹海默症。
从海马体到不同皮层的反向传播,需要更高阶的优化处理简单的信号,说明大脑外部需要更高阶优化,也可以降低计算复杂度。从不同皮层到海马体的前向传播,复杂信号需要更恐惧记忆跳出局部最优解,就是大脑内部需要更多的恐惧记忆。
如果我们取部分大脑记忆架构是对数螺旋线

,就是记忆可能是二维的对数螺旋线在某皮层。只有角应变

,第2层记忆架构就是

,因为湍流扩散第n层记忆架构

,对数螺旋线n-1阶导数就是记忆印记形状近似,只是记忆印记的图像质量进行了压缩,取w<1就是记忆传输到上游脑区逐渐减弱,w就是突触连接和范围权重。下游第一皮层的记忆架构是

,那上游第n皮层的记忆架构可能近似是

的n-1阶导数。
给出了记忆印记的公式并进行了n阶求导。满足如下情况:
1.记忆印记从下游脑区向上游脑区湍流运动,记忆印记形状不变,因为沿途阻力和管径逐渐减小,记忆印记图像质量会被压缩因为对记忆印记求导。
2.记忆印记从上游脑区向下游脑区运动,记忆印记形状不变,但没有沿途阻力和管径逐渐增大,记忆印记图像质量不会被压缩。
3.如果下游脑区大中血管和大中导管被破坏,因为湍流反向1和2的分析会被逆转。情况1记忆印记没有损失图像质量,会更好获取记忆印记,但由于下游信息冗余可能会出现幻觉;情况2从上游到下游的跨皮层发生了湍流,记忆印记会损失图像质量。
4.我们的记忆印记可能是在大脑皮层的二维对数螺旋线,它跨脑区湍流运动只有一个角应变变量求导。
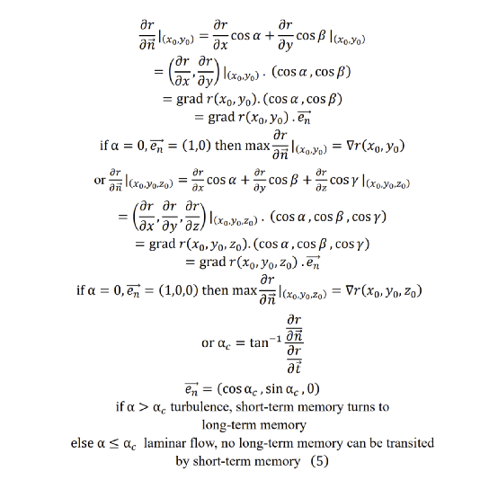
对数螺旋线切线和半径之间的角度

,

可以计算得到,

。湍流临界角

可以这么理解,仅考虑对数螺旋线的角运动,对数螺旋线沿螺旋线切应变

和对数螺旋线角运动的切应变

成为作用力和反作用力时,

,

可以计算得到,

。

至少要突破

的作用才能成为湍流,而对数螺旋线的非线性运动也就是大脑的应变,就是大脑从海马体到前额叶的应变和记忆的应变可能大小一致但方向相反,所以大脑纵剖面的几何形状类似螺旋线,如果不考虑不同脑区,仅假设大脑内部各向同性这个力学性质,那大脑的几何形状更加类似螺旋线,角度都和记忆的权重有关,见图7和10。
If

, symptoms of Alzheimer’s disease will appear, and atrophy and hardening of the hippocampus because of reverse turbulence, was shown in Fig. 6, just like a star dying to form black hole. Our conjecture is Alzheimer’s disease cognitive impairment is caused by search direction reversal, the negative gradient of Back propagation is modified by positive gradient, and unable to converge, change of direction of transition was shown in Fig. 5-6 [30]. The

in formula (5) is equivalent to

or

or

in formula (2). The simultaneous interaction of two different turbulence directions of

memory loss and

memory consolidation leads to β-amyloid plaques in brain. But the positive gradient of BP might be the more important reason for Alzheimer’s disease than β-amyloid plaques in brain. Alzheimer's disease may first be positive about in the

of the first cortex, followed by positive gradient in the

of the second cortex, and positive and negative changes in these derivatives lead to disturbances in synaptic excitation and inhibition. We suspect that curly hair indicates that the brain has strong energy, and energy can be transmitted from the hippocampus to the epidermis of the brain at a critical angle of the cortex, so people with curly hair are not prone to Alzheimer's disease.
Backpropagation from the hippocampus to different cortexes, it requires higher-order optimization to process simple signals, indicates that the external part of the brain needs higher-order optimization, it is also possible to reduce the complexity of the calculation. Forward propagation from different cortexes to the hippocampus, complex signals require more fear memories to jump out of the local optimal solution, that is, more fear memories are needed inside the brain.
If we take the logarithmic spiral of the partial mnemonic brain architecture

, that is, the memory may be two-dimensional logarithmic spiral in a certain cortex, only having the angular strain θ, and the second cortex mnemonic architecture is

, because turbulence diffuses the nth cortex mnemonic architecture

, and take w<1 means that the memory gradually weakens transmission to the upstream brain regions, the logarithmic spiral n-1th derivative is the memory engram shapes are approximate, but the image quality of the memory engram is compressed, w is synaptic connection or range weight. The mnemonic architecture of the downstream first cortex is

, and the mnemonic architecture of the upstream nth cortex may be approximately the n-1th derivative of

.
The formula for memory engram is given and the n-1th derivative of

. The following situations are met:
1. The memory engram flows by turbulence from the downstream brain regions to the upstream brain regions, and the shape of the memory engram remains unchanged, because the resistance along the way and the pipe diameter gradually decreases, and the image quality of the memory engram will be compressed because of the derivation of memory engram.
2. The memory engram moves from the upstream brain regions to the downstream brain regions, and the shape of the memory engram remains unchanged, but there is no the resistance along the way and the pipe diameter gradually increases, and the memory engram image quality will not be compressed.
3. If the large middle blood vessels and large middle aqueducts in the downstream brain regions are destroyed, the analysis of reverse turbulence makes reversal of the situation 1 and 2. Situation 1: Memory engram does not lose image quality, and it will be better to obtain memory engram, but hallucinations may occur due to downstream information redundancy; Situation 2: Turbulence occurs across the cortex and memory engram loses image quality from upstream to downstream.
4. Our memory engram may be a two-dimensional logarithmic spiral in the brain cortex, which is derived from only one angle strain variable for turbulent movement across brain regions.
The angle ψ between the logarithmic spiral tangent and the radius, which can be calculated that,

. The critical angle of turbulence α can be understood in this way, only considering the angular motion of the logarithmic spiral, tangential strain of logarithmic spiral along the spiral

and tangential strain of logarithmic spiral angular motion

. When the they become the force and counter-force,

, which can be calculated that,

.

should be at least greater than the action of

, which can be turn to turbulence, and the nonlinear movement of the logarithmic spiral means the strain of the brain, which from the hippocampus to the prefrontal lobe, that is, the strain of the brain and the strain of memory may be an equal and opposite reaction, so the geometry of the longitudinal section of the brain is like to a spiral. if you do not consider different brain regions, only suppose the mechanical property of the isotropy of the brain, then the brain longitudinal section is more like the spiral. And the angle is related to the weight of memory. See Fig. 7 and 10.
我们对阿尔兹海默症研究基于大脑信息传输的湍流和神经递质系统的功能障碍。神经递质的障碍导致了大脑内部皮层间湍流的异常-也就是湍流的反向。首先我们看正常大脑的动脉图7,大脑大动脉和中动脉位于大脑内部,然后向大脑外部的支动脉逐渐变小。大脑进行湍流运动超过一个最小临界值才能从内部大动脉和中动脉信息扩散到外部小的支脉,也就是正常的湍流是从脑内皮层的下游脑区到脑外皮层上游脑区实现深度学习的反向传播。同理连接各皮层间的大中导管也是大脑内部下游脑区较粗,而外部皮层上游脑区的导管较细。

Fig.7 Cerebral artery, from 《Gray's Atlas of Anatomy 3rd Edition》
比如熬夜对肾脏和肝脏的功能影响,也影响肠道内毒素排出体外,使得血液积聚过多的毒素和垃圾进而影响大脑的代谢,血液和毒素通过心脏收缩传输到大脑的大动脉和中动脉,使得大动脉中动脉出现粥样硬化斑块和脑梗死,为了疏通这些大动脉和中动脉的斑块,心脏必须采用更大的收缩压可能会导致收缩压的高血压。同理由于β 淀粉样蛋白和 tau蛋白影响脑脊液进而影响脑内皮层的大中导管。这样我们大脑外部的支动脉和皮层间的支导管由于没有垃圾和毒素相对变粗,而大脑内部的大中动脉和皮层内的大中导管相对变细。于是皮层间出现了湍流的反向扩散。
而心衰又是另一种情况,血流量减少使得下游脑区的大中动脉和大中导管相对变细。
动脉粥样硬化导致的收缩压增大的高血压和心衰导致血流量减少使得脑大中动脉变细,可能是诱发阿尔兹海默症的原因。
为什么阿尔兹海默症患者会出现昼夜节律紊乱,在患者躺下后,由于只要比原来小的心脏收缩压就能清除大脑内部大中导管的β 淀粉样蛋白和 tau蛋白和大中动脉的毒素和垃圾,躺下也使得血流量增加使得心衰变细的脑大中动脉和大中导管扩充,使得大脑内部的部分湍流方向恢复正常,使得思维变得清晰和记忆力恢复并不断思考,进而导致昼夜节律紊乱。
我们可以把我们的大脑想象成是地球,地心熔岩的产生如同在海马体的短期记忆的发生,过程是量子的。地表的地震因为势能释放,选出强的短期记忆成为长期记忆存储在不同皮层的记忆印记细胞能被释放。阿尔兹海默症可能是行星死亡过程,有可能形成黑洞。脑动力学类比河流动力学,当河道反向过水,因为之前河道水流坡降与当前水流坡降相反,可能会导致河道淤积。河道淤积类似脑部β 淀粉样蛋白。河道反向过水类似下游脑区的湍流反向。
黑色素浓缩激素会导致兴奋性突触强度和神经元放电率的净下降。该论文研究表明黑色素浓缩激素(MCH)系统在早期AD中是脆弱的[28]。以上研究能被AD可能机理解释,湍流反向和MCH的分析相关,突触应当减弱强度的反而变得刺激。
我们提出阿尔兹海默症的可能机理的猜想,大脑β 淀粉样蛋白和tau蛋白可能只是现象或不是主因。我们也猜想由于心衰影响了海马体。如同一个水泵抽水和放水的能力减弱使得脑内的大中动脉和大中导管半径变小有可能导致阿尔兹海默症。
我们看式(2),

是本皮层突触更新,

是来自上游脑区皮层记忆印记。
对于本皮层的记忆印记,因为湍流反向猜想使得更新突触有效范围和权重的梯度取正梯度来更新,造成突触的丢失、突触抑制兴奋反转、记忆前向反向损耗使得记忆印记抹平和神经炎症。
健康的大脑跨脑区通过逆行机制取得上游脑区的记忆印记,而获取这个记忆印记通过上游较细的管道到下游较粗管道不必符合湍流的临界条件。
而对于跨脑区获取其它皮层的记忆印记,由于湍流反向,所在皮层应当是通过逆行获取上游脑区皮层的记忆印记而没有获取使得神经元丢失或者在AD早期获取困难而都造成失忆,但却获取了下游脑区更多皮层的记忆印记造成记忆信息冗余导致患者出现幻觉,而下游脑区更具有情绪的记忆会使得人变得易怒抑郁。而且湍流反向使得情绪记忆向上游脑区逆行传送,会使得下游脑区的情绪减少,进而下游脑区和突触失去活性,所以海马体和下游周边脑区变硬进而加速大脑衰老。
考虑肠肝肾功能的心脑深度学习模型通过大脑湍流反向解释上游脑区记忆印记(神经元)无法获取;本皮层突触丢失、本皮层突触抑制兴奋反转、本皮层记忆印记抹平因为血液的扰动;提取下游脑区冗余的记忆印记出现幻觉、易怒、抑郁;缺少免疫细胞的神经炎症、大概率伴随动脉粥样硬化导致心脏收缩压高血压、大概率伴随脑梗死、大概率伴随心衰;海马体逐渐萎缩和变硬、大脑的衰老、昼夜节律紊乱、结果会出现认知障碍。
We studied Alzheimer's disease based on turbulence in brain information transmission and dysfunction of the neurotransmitter system. Disorders of neurotransmitters lead to abnormalities in turbulence between cortexes inside the brain – that is, the reverse turbulence. First we look at the arteries of the healthy brain Fig. 7, where the large and middle cerebral arteries are located inside the brain, and then the external branch arteries of the brain turn to small. The brain undergoes turbulent movements beyond a minimum critical value to spread information from the internal large and middle arteries to the small external branch arteries, that is, normal turbulence is from the downstream brain regions of the internal cortices to the upstream brain regions of the external cortices to achieve the Back propagation of Deep learning. Similarly, the large and middle aqueducts connecting the internal cortices are also larger in the downstream brain regions of the brain, while the aqueducts in the upstream brain regions of the external cortices are smaller.
For example, staying up late on the function of the kidneys and liver, and affects the excretion of intestinal toxins, so that the blood accumulates too many toxins and garbage and affects the metabolism of the brain. The blood and toxins are transmitted to the large and middle arteries of the brain through cardiac contraction, so that the large middle arteries appear cerebral atherosclerotic plaques and infarction, in order to unblock the plaques of these large and middle arteries, the heart must use a larger systolic blood pressure may lead to systolic hypertension. Similarly, because β amyloid and tau proteins affect the cerebrospinal fluid, which in turn affects the large and middle aqueducts of the internal cortices. In this way, the branch arteries external our brain and the branch aqueducts between the cortices are relatively large because there is no garbage and toxins, while the large middle arteries inside the brain and the large and middle aqueducts in the cortices are relatively small. As a result, there is a reverse diffusion of turbulence between the cortices.
Heart failure is another condition in which reduced blood flow makes the large middle artery and large middle duct in the downstream brain regions relatively small.
Increased systolic blood pressure due to atherosclerosis, systolic hypertension, and heart failure leading to decreased blood flow and the large middle arteries in the brain turn to small, which may be responsible for Alzheimer's disease.
Why do patients with Alzheimer's disease have circadian rhythm disorders, after the patient lies down, because only a smaller systolic blood pressure than the original can clear the large middle aqueducts inside the brain β-Amyloid and tau protein and toxins and garbage of the large middle arteries, lying down also increases blood flow and expands the large middle artery and large middle aqueduct of the heart failure, so that the direction of partial turbulence inside the brain returns to normal, Makes thinking clear and memory restored and constant thinking, which in turn leads to circadian rhythm disorders.
We can imagine our brain as the earth, and the production of geocentric lava occurs like short-term memory happen in the hippocampus, and the process is quantum. Earthquakes on the surface are released due to potential energy, just as strong short-term memory is selected and turns to long-term memory, and is stored in memory engram cells of different cortices, can be released. The Alzheimer’s disease may be the process of planet death, which has the potential to form black holes. Brain dynamics analogous to river dynamics, when the river that flows backwards, because the previous river flow slope is opposite to the current flow slope, it may lead to river siltation. The river siltation is similar to β-amyloid plaques in brain. The river that flows backwards is similar to turbulence reverses in downstream brain regions.
Melanin-concentrating hormone decreases synaptic strength and modulates firing rate homeostasis. The paper's findings identify the MCH system as vulnerable in early AD [28]. It can be explained by the possible mechanism of AD, reverse turbulence relates to analyses of MCH, that synapses that should be decreased strength become excitatory.
We hypothesize the possible mechanism of Alzheimer's disease, and that brain β-amyloid plaques and tau protein may only be a symptom or not the main cause. We also hypothesized that heart failure affected the hippocampus. Like a water pump, the ability to pump and release water are weakened, making the radius of the giant middle artery and the large middle aqueduct in the brain, turn to smaller, which may lead to Alzheimer's disease.
We see that formula (2),

are synaptic updates in the cortex, and

are from the upstream brain regions cortical memory engrams.
For memory engrams in the cortex, because reverse turbulence conjecture makes the gradient that updates the effective range and weight of synapses take a positive gradient to update, resulting in synaptic loss, synaptic inhibition excitation reversal, forward and backward memory loss makes the memory engrams smoothing, and neuroinflammation.
A healthy brain transcerebral regions retrieves memory engrams in the upstream brain regions through a retrograde mechanism, and the ensembles of these memory engrams through smaller upstream aqueducts to larger downstream aqueducts does not have to meet the critical conditions of turbulence.
For the memory engrams of other cortices obtained across brain regions, due to the reverse turbulence, the cortex should be retrograde to obtain the memory engrams of the upstream brain regions cortexes without obtaining neurons or difficulty in obtaining at early stage of AD and causing amnesia, but more cortexes that obtain memory engrams in downstream brain regions cause redundant memory information leading to hallucinations, while more emotional memories in downstream brain regions will make people irritable and depressed.
Moreover, reverse turbulence makes the emotional memory retrograde transmission to the upstream brain regions, which will reduce the emotion of the downstream brain regions, and then the downstream brain regions and synapse lose activity, so the hippocampus and downstream brain regions become hard and accelerate brain aging.
The Heart-Brain Deep learning model considering intestine, liver and kidney function through the reverse turbulence of brain explains that the memory engrams (neurons) of the upstream brain regions cannot be retrieved; Local cortex synapses loss; Inhibition and excitation of synapses reversal in the cortex, smoothing memory engrams because of blood disturbances; Extraction of redundant memory engrams in downstream brain regions caused hallucinations, irritability, depression; Neuroinflammation lacking immune cells, high probability accompanied by atherosclerosis leading to systolic hypertension, high probability accompanied by cerebral infarction, high probability accompanied by heart failure; Gradual atrophy and hardening of the hippocampus, brain aging, circadian rhythm disorders, and cognitive impairment occurs as a result.
免疫细胞通过脑区之间导管进行湍流流动,免疫细胞湍流反向会给小胶质细胞带来相反的刺激作用,小胶质细胞因为相反刺激作用影响记忆印记的走向,记忆印记的反向导致记忆损失和认知下降。根据我们的模型,清除免疫细胞使得小胶质细胞激活减弱,确实会对记忆损失和认知下降延缓有所帮助[29],认知搜索从正确的负梯度变成了错误的正梯度进行了改变,但认知搜索变成了根据早期记忆印记的随机搜索。对比清除免疫细胞,可能提高不同脑区之间免疫细胞穿越的湍流流动也是一个很不错的想法。
雷诺数可区分流体的流动是层流或湍流。雷诺数公式Re=ρvd/μ,其中v、ρ、μ分别为流体的流速、密度与黏性系数,d为一特征长度。例如流体流过圆形管道,则d为管道的当量直径。如适量运动促进动脉扩张增大d,增加血流量增大v,防止血液黏稠减小μ。适量有氧运动增大雷诺数使得下游脑区到上游脑区导管间实现层流变成湍流来预防阿尔兹海默症。
另外,按以上对肠肝肾心脑模型对阿尔兹海默症分析,我们要考虑调节失眠的药物和食物、恢复肝功能的药物和食物、恢复肾功能的药物和食物、改善肠道益生菌的食物和药物、预防动脉粥样硬化导致的收缩压高血压的药物和食物、预防脑梗死的药物和食物、预防心衰的药物和食物、治疗抑郁的药物和食物、治疗衰老的药物和食物、促进脑代谢的药物和食物及有氧运动,有助清除脑动脉和导管的垃圾和毒素,可能这对早期阿尔兹海默症有效。
我们可能可以基于此设计阿尔兹海默症的药物。
The flow turbulent of immune cells through the aqueducts between brain regions, reverse turbulence of immune cells can bring the opposite stimulating effect to microglia, which affect the direction of memory engrams because of the opposite stimulation, the reverse of memory engrams leads to memory loss and cognitive decline. According to our model, clearance of immune cells weakens microglial activation, It does help with memory loss and delayed cognitive decline [29], and cognitive search is changed from the correct negative gradient to the false positive gradient, but the cognitive search becomes a random search based on early memory engrams. Compared to clearing immune cells, it is also a good idea to possibly improve the turbulent flow of immune cells crossing between different brain regions.
The Reynolds number distinguishes whether the fluid flow is laminar or turbulent. The Reynolds number formula Re=ρvd/μ, where v, ρ and μ are the flow velocity, density and viscosity coefficient of the fluid, respectively, and d is a characteristic length. For example, if fluid flows through a circular pipe, d is the equivalent diameter of the pipe. If moderate exercise promotes arterial dilation and increase d, increases blood flow and increases v, prevents blood viscosity from decreasing μ. Moderate aerobic exercise increases the Raynaud number so that laminar flow between the aqueducts from downstream brain regions to upstream brain regions becomes turbulent, which can prevent Alzheimer's disease.
In addition, according to the above analysis of Intestine-Liver-Kidney-Heart-Brain model for Alzheimer's disease, we should consider drugs and foods that Sleep/Wake Regulation, drugs and foods that restore liver function, drugs and foods that restore kidney function, foods and drugs that improve intestinal probiotics, drugs and foods that prevent systolic hypertension caused by atherosclerosis, drugs and foods that prevent cerebral infarction, drugs and foods that prevent heart failure, drugs and foods that prevent depression, drugs and foods to treat aging, drugs and foods that promote brain metabolism and aerobic exercise, which help remove garbage and toxins from cerebral arteries and aqueducts, which may be effective for early Alzheimer's disease.
We may be able to design Alzheimer's disease drugs based on this.
因为是大脑下游的湍流反向,更新突触有效范围正梯度主要分布在大脑内部皮层的下游脑区附近。而连接权重的正梯度可能和免疫细胞湍流反向导致神经炎症有关。下游脑区第n到n+m层采用冗余下游脑区第n+j到n+m+j层的目标函数信息。
在进行深度学习的迭代时,迭代初期反向传播是负梯度,用来更新突触连接权重和范围权重。然后迭代后期反向传播逐渐变成一半负梯度和一半正梯度,抵消了突触的兴奋,一半下游脑区第n到n+m层采用冗余下游脑区的目标函数信息,一半下游脑区第n到n+m层采用正常的上游脑区的目标函数信息,这样会出现阿尔兹海默症的突触丢失和幻觉。
如果迭代初期反向传播是负梯度,迭代中期反向传播逐渐变成一半负梯度和一半正梯度,一半下游脑区第n到n+m层采用冗余下游脑区的目标函数信息,一半下游脑区第n到n+m层采用正常的上游脑区的目标函数信息,来反映早期阿尔兹海默症的突触丢失和幻觉,迭代后期反向传播是正梯度,第n到n+m层全部采用冗余下游脑区的目标函数信息,来反映阿尔兹海默症更严重的认知障碍。这样模型实现了阿尔兹海默症早期的突触丢失和幻觉到晚期更严重的认知障碍。
而湍流的反向又影响记忆印记,迭代中期湍流的反向对记忆印记有一定影响,到迭代后期湍流的反向对记忆印记影响更大。
Because it is the reverse turbulence downstream of the brain, the positive gradient of renewal synaptic effective range is mainly distributed near the downstream brain regions of the internal cortices of the brain. The positive gradient of the connecting weights may be related to the reverse turbulence of immune cells leading to neuroinflammation. The nth to n+mth layers of the downstream brain regions use redundant objective function information of the n+jth to n+m+jth layers of the downstream brain regions.
Then loops and iteration of Deep learning, an early iteration of the Back propagation is negative gradient which used to update synaptic connection weights and range weights. Then the later iteration of Back propagation gradually becomes half negative gradient and half positive gradient, canceling out the excitement of the synapses, half of the n+mth layers of the downstream brain regions use redundant objective function information of the downstream brain regions, and half of the n+mth layers of the downstream brain regions use the objective function information of the normal upstream brain regions, so that the synapse loss and hallucinations of Alzheimer's disease occurs.
If the Back propagation at the beginning of the iteration is negative gradient, the Back propagation in the middle of the iteration gradually becomes half negative gradient and half positive gradient, half of the n+mth layers of the downstream brain regions use redundant objective function information of the downstream brain regions, and half of the n+mth layers of the downstream brain regions use the objective function information of the normal upstream brain regions, to reflect the synapse loss and hallucinations in early Alzheimer's disease, and the Back propagation in the late iteration is positive gradient and the nth to n+mth layers all use the objective function information of redundant downstream brain regions, to reflect more severe Alzheimer's cognitive impairment. The model realized the early synapse loss and hallucinations in Alzheimer's disease to more severe cognitive impairment in the later stage.
The reverse turbulence affects memory engrams, the reverse turbulence has a certain effect on the memory engrams in the middle of iteration, and reverse turbulence t has a greater effect on the memory engrams in the late iteration.
PNN的仿真符合了6篇正刊、7篇子刊和2篇物理顶刊的脑科学实验和假设[14-28]。除了突触连接的共享权重,我们提出了新的神经网络包括突触有效范围权重也会进行前向和反向计算。而且很多仿真是RNN无法实现的[14-28]。突触强度再平衡,如鱼群的头鱼效应,前向神经元位置改变会影响后向突触的位置[14]。提取记忆印记细胞的记忆改变突触强度,使得突触强度增强或减弱[23].PNN心脑模型见图8。
我们的大脑可能是一台量子计算机[25],对于量子计算机的模拟涉及到情绪和认知,认知产生相对正向和负向情绪时,提取记忆大脑塑性的映射函数可能是非经典的量子力学。诺贝尔奖得主罗杰.彭罗斯曾提出过大胆猜想,认为量子计算的潜在特征可以解释意识的神秘方面。人工大脑模型实际是心脑模型,心脏作为媒介,心和脑之间可能是超越绝对时空的量子纠缠。心脏产生正向

和负向

脉冲频率,脉冲频率相互作用电位信号加强或减弱突触,进而改变相对好或差的大脑架构

和

。这种超越时空量子纠缠在心脏频率积累

和

反馈给大脑架构积累就是

和

,并因为大脑内的壁垒满足指数的衰减[25]。

Fig.8 Artificial multiple cortexes Heart-Brain model flowchart


Fig.9 Deep learning model for upstream and downstream brain regions

Fig.10 Angles of logarithmic Spiral and loss of memory engram
The simulations of PNN fit very well in brain science experiments and hypotheses of 6 papers CNS Journals, 7 papers of CNS family Journals and 2 papers top Physics Journal [14-28]. In addition to the shared weights of the synaptic connections, we proposed a new neural network that includes the synaptic effective range weights for both the Forward and Back propagation. And lots of simulations were used which RNN cannot be achieved [14-28]. The synaptic strength rebalance, these neurons, like a school of fish, presynaptic neurons like head fishes also affect the locations of postsynaptic neurons [14]. The memory retrieval process by memory engram cells that strengthened synaptic strength, increase or decrease synaptic strength [23]. The PNN Heart-Brain model is shown in Fig. 8.
Our brain may be a quantum computer [25], simulation of quantum computer will consider emotion and cognition, when cognition leads to positive or negative emotion, the mapping function of exacted memory brain plasticity may be a non-classical quantum mechanics.
Nobel Prize winner Roger Penrose has put forward a bold conjecture that the potential features of quantum computation could explain enigmatic aspects of consciousness. The Artificial Brain model is actually the Heart-Brain model, and the heart serves as a medium, and the quantum entanglement between the heart and brain may be beyond absolute space-time. The heart produces positive

or negative

pulse frequencies, and the pulse frequencies interaction potential signal strengthens or weakens synapses, which in turn changes the relatively good or inferior brain architecture

and

. This transcendental space-time quantum entanglement at heart frequencies accumulation

and

feedback to the brain architectures accumulation

and

, and satisfies exponential decay because of barriers within the brain [25].
PNN的仿真符合了6篇正刊、7篇子刊和2篇物理顶刊的脑科学实验和假设:
1.突触强度再平衡,如鱼群的头鱼效应,前向神经元位置改变会影响后向突触的位置[14];
2.突触成形导致神经元数目下降破坏大脑认知,进而促进大脑的老化[15];
3.提取记忆印记细胞记忆是个逆向过程,进行了公式推理[16];
4.随着年龄增长海马体神经发生会降低[17];
5.但可能有争议,海马体神经发生也许会随着年龄维持,猜想PNN可能之后迭代可能出现一个全新的更长的神经回路[18];
6.模拟关闭大脑关键期导致神经紊乱,包括同时不考虑星形胶质细胞的皮层记忆维持和星形胶质细胞吞噬突触 [19];
7.负性记忆能够增加大脑塑性的活性[20];
8.星形胶质细胞吞噬突触会使得大脑局部突触不会过于积聚和兴奋[21];
9.皮层厚度、大脑个体多样性和人类智商的关系[22];
10.提取记忆印记细胞的记忆改变突触强度,使得突触强度增强或减弱[23];
11.记忆结构和大脑信号穿透性关系,类似信号穿越凸凹透镜焦点附近[24];
12.我们的大脑可能是一台量子计算机[25],对于量子计算机的模拟涉及到情绪和认知,认知产生相对正向和负向情绪时,提取记忆大脑塑性的映射函数可能是非经典的量子力学;
13.前端丘脑选择短期记忆来长时间有选择性的巩固记忆[26]。带有梯度记忆的梯度法更新突触有效范围权重是长期记忆存储在皮层,量子计算更新突触有效范围权重是短期记忆发生在海马体。短期记忆穿越海马体和不同皮层的壁垒变成了长期记忆。参考式(2)、(4)和(5),工作记忆和短期记忆被巩固成为长期记忆,我们建议强和高流动的工作记忆或短期记忆就是提取的记忆大脑塑性最大方向导数等于相对好和差大脑塑性的梯度,也就是长期记忆;
14.正如最近在具有高空间分辨率的功能磁共振成像(FMRI)中所显示的那样,湍流显示出一种促进大脑动力学中跨时空尺度的能量和信息传递的基础方法 [27]。记忆从海马体到不同的皮层是因为湍流而不是层流,长期记忆是大脑塑性的梯度

过于理想,这有一个角度

,

逐渐增大随着年龄的增加,湍流逐渐变成层流随着年龄的增大,而更小数值的切向量可能会伤害人类的智慧;
15. 黑色素浓缩激素会导致兴奋性突触强度和神经元放电率的净下降。该论文研究表明黑色素浓缩激素(MCH)系统在早期AD中是脆弱的。MCH神经元在REM(快速眼动)睡眠期间非常活跃。他们发现,AppNL-G-F小鼠中活跃MCH神经元百分比的减少与REM睡眠时间的减少平行。稳态突触可塑性反应抵消了AppNL-G-F小鼠中对CA1锥体神经元的兴奋性传递增加。MCH肽足以逆转AppNL-G-F小鼠CA1区域兴奋性驱动的增加。论文的工作提出了CA1中MCH依赖性突触功能受损和睡眠-觉醒结构紊乱协同损害神经元稳态的模型,导致CA1锥体神经元异常活动[28]。以上研究能被AD可能机理解释,湍流反向和MCH的分析相关,突触应当减弱强度的反而变得刺激, 突触应当增强强度的反而变得抑制。
The simulations of PNN fit very well in brain science experiments and hypotheses of 6 papers CNS Journals, 7 papers of CNS family Journals and 2 papers top Physics Journal [14-28].
1. The synaptic strength rebalance, these neurons, like a school of fish, presynaptic neurons like head fishes also affect the locations of postsynaptic neurons [14];
2. The synapse formation causes decline in the number of neurons and impairs brain cognition, then leads to brain aging [15];
3. And the memory of memory engram cells ensembles by a retrograde mechanism, the formula is derived [16];
4. The hippocampal neurogenesis will decline throughout aging [17];
5. But controversy was claimed that human hippocampal neurogenesis persists throughout aging, PNN considered it may have a new and longer circuit in late iteration [18];
6. Closing the critical period which includes astrocytic cortex memory persistence or astrocytes phagocytose synapses at the same time will cause neurological disorder [19];
7. The negative memory will increase activity of brain plasticity [20];
8. Astrocytes phagocytose synapses also inhibits local synaptic accumulation and excitation [21];
9. Relationships of cortex thickness, brain individual diversity and human intelligence [22];
10. The memory retrieval process by memory engram cells that strengthened synaptic strength, increase or decrease synaptic strength [23];
11. Relationship of memory structure and penetrability of brain signals, it means signals go through easily neighboring areas of focus on convex or concave lens. [24];
12.Our brain may be a quantum computer [25], simulation of quantum computer will consider emotion and cognition, when cognition leads to positive or negative emotion, the mapping function of exacted memory brain plasticity may be a non-classical quantum mechanics;
13. Anteromedial thalamus selects strong short-term memories and selectively stabilize memories at remote time [26]. The gradient method with memory gradient to update the synaptic effective range weights is long-term memory stored in cortices. The quantum computing to update the synaptic effective range weights is short-term memory happen in hippocampus. Short-term memory travels through the berries of hippocampus and different cortices and turns into long-term memory. Refer to formula (2), (4) and (5), working memory or short-term memory is consolidated and turns long-term memory. And we suggest strong and high flow working memory or short-term memory means maximum of directional derivatives of exacted memory brain plasticity is relatively good or inferior gradient of memory brain plasticity, means long-term memory;
14.As recently shown in functional magnetic resonance imaging (FMRI) with high spatial resolution, turbulence shows to offer a based way to facilitate energy and information transfer across spatiotemporal scales in brain dynamics [27]. Memory from hippocampus to different cortices because of turbulence rather than laminar flow. Long-term memory is gradient of brain plasticity

that is too idealistic, there is an angle

,

will increase because of human aging, and turbulence becomes laminar flow gradually throughout aging, and smaller value tangent vector

might impair to human intelligence;
15. Melanin-concentrating hormone decreases synaptic strength and modulates firing rate homeostasis. The paper's findings identify the MCH system as vulnerable in early AD. MCH neurons are prominently active during REM (rapid eye movement) sleep. They find that a reduction in the percentage of active MCH neurons in AppNL-G-F mice is paralleled by a decrease in the time spent in REM sleep. Homeostatic plasticity response counteracts increased excitatory drive to CA1 pyramidal neurons in App NL-G-F mice. Melanin-concentrating hormone reverses increased excitatory drive in App NL-G-F CA1. Paper's work suggests a model in which impaired MCH-dependent synaptic function in CA1 and perturbed REM sleep synergistically compromise neuronal homeostasis, contributing to aberrant neuronal activity in CA1[28]. It can be explained by the possible mechanism of AD, reverse turbulence relates to analyses of MCH, that synapses that should be decreased strength become excitatory, and should be increased strength become inhibitory.
PNN在研究中对脑科学的4个发现:
1.星形胶质细胞维持皮层记忆会使得大脑局部突触不会过于积聚和兴奋,模型对实验有所启发;
2.负向和正向记忆的大脑塑性反映了心脏频率,还会对星形胶质细胞吞噬突触有所驱动,因为

或

的正值或负值;
3.皮层较厚和大脑具备更多样性的个体,也许人类智商会提高;但是皮层更厚即使大脑具备更多样性的个体,可能人类智商会降低;
4.对于PNN,长期记忆的作用比短期记忆更明显。
About PNN's 4 findings in brain science
1.Astrocytic cortex memory persistence factor also inhibits local synaptic accumulation and excitation, and the model inspires experiments;
2. It may be the process of astrocytes phagocytose synapses is driven by positive and negative memories of brain plasticity which reflect heart frequency, because of the positive or negative value of

or

;
3. The thicker cortex and the more diverse individuals in brain may have high IQ in simulation, but the thickest cortex and the most diverse individuals in brain may have low IQ in simulation;
4. For PNN, the role of long-term memory is more pronounced than short-term memory.
PNN对深度学习和进化计算的创新:
1.PNN把RNN架构改造有点类似CNN,而算法有些类似ResNet,池化过程或层数计算有些类似突触有效范围的更新,PNN也有共享连接权重;前向计算和反向计算除了考虑共享连接权重,新的神经网络也要考虑突触的有效范围;
2. PNN是把残差网络的层数计算进行改进,提出了权重的梯度不仅考虑当前梯度还考虑记忆的梯度并经过了公式推理;
3.进化计算比如遗传和粒子群算法,它们考虑的是全局最优或迄今最优解,而PNN还考虑了相对较优和相对较差解。
4.考虑了上下游脑区深度学习模型,见图9。
The innovations of PNN in Deep learning and Evolutionary computing:
1.PNN modifies the RNN architecture to be somewhat similar to CNN, and the algorithm is somewhat similar to ResNet, the pooling process or layer number calculation is somewhat similar to update of the synaptic effective range change, PNN also has shared weights of synaptic connections. In addition to the shared weights of synaptic connections, we proposed a new neural network that includes weights of synaptic ranges for Forward propagation and Back propagation;
2.And PNN modified ResNet to calculate the layers’ number, is proposed the gradient of the weight is considered not only the current gradient but also the memory gradient by formula derivation;
3.Such as GA and PSO, they consider global solution or best previous solution, but PNN also considers relatively good solution and relatively inferior solution.
4. The Deep learning model for upstream and downstream brain regions were considered, see Fig. 9.
4个假设如下:
1.通过量子力学,负向和正向的情感和认知反映了非经典提取的记忆的大脑塑性,是短期海马体记忆。波函数是高频的。而提取的记忆的大脑塑性的波函数表现出动能因为高速的粒子,在海马体中产生。通过PNN,我们提出在海马体到不同皮层存在壁垒,使得波函数表现指数衰减,波函数从高频变成低频。最终,长期的刺激信息被存储不同皮层的记忆印记细胞。而长期的记忆体现出势能;
2.壁垒可能和星形胶质细胞有关;
3.工作记忆的方向导数将流向不同皮层然后被存储在记忆印记细胞。高流动性或最大方向导数的工作记忆也就是短期记忆的梯度,将变成长期记忆;
4.在PNN仿真中,长期记忆的收集每一次迭代发生一次,它的发生几率高。但短期记忆的提取过程发生一次要经过多次迭代,它的发生几率低。
The 4 hypotheses were as follows:
1.Negative or positive emotion and cognition reflect non-classical exacted memories brains plasticity by quantum mechanics, are short-term hippocampal memories. The wave function is high-frequency. And wave function of exacted memories brains plasticity shows kinetic energy because of high-speed particles, produce at hippocampus. By PNN, we propose these appeared barriers from hippocampus to different cortexes, wave function will lead to exponential decay, and wave function of high-frequency turns to low-frequency. At last, long-term stimulus information stored in memory engram cells of different cortexes. And long-term memories exhibit potential energy;
2.Barriers may relate to astrocytes;
3.Directional derivative of working memory will flow to the different cortices and stored in memory engram cells. High flow working memory or maximum of directional derivatives of working memory means gradient of short-term memory, will turn to long-term memory;
4.In PNN simulations, ensembles of long-term memory produced once each iteration, so it occurs once at strong probability. but retrieval processes of short-term memory happened once by many iterations, and occurrences are poor probability.
In fact, except for inspirations the synapse formation [15], quantum computer of brain [25] and memory consolidation [26], the above works are all relevant researches contrast simulation I found later, including the formula reasoning of the ResNet is also completed independently.
研究最早把突触强度再平衡在深度学习实现。研究最早在深度学习考虑了相对较差负性记忆和相对较好记忆的参数,这些参数还丰富粒子群优化和遗传算法的研究。研究最早提出记忆在大脑各皮层流动必须大于临界值才能层流变成湍流扩散到上游脑区,湍流临界角和记忆的权重有关。研究基于湍流给出了记忆从下游脑区向上游脑区流动可能是架构变化率的传递,并且下游第一皮层的记忆架构是

,那上游第n皮层的记忆架构可能近似是

的n-1阶导数,我们的记忆可能是二维对数螺旋线,这样

的n-1阶导数和

相差不大,突触连接权重或范围权重存储在对数螺旋线,角度是对数螺旋线的唯一变量。研究最早给出了记忆架构的公式-对数螺旋线,在脑区间湍流运动只是能量损耗而记忆印记近似。研究最早给出了上游脑区相对下游脑区偏理性学习需要更高阶优化,下游脑区具备更多的负性记忆,并给出了对应上下游脑区的深度学习模型。研究考虑了下游脑区湍流反向和上下游脑区的深度学习模型来解释阿尔兹海默症的15种现象。研究参考非经典心脑互动实验,最早用指数衰减的波函数来更新突触有效范围的深度学习模型。解释了动力学塑造大脑的几何形状,和大脑的对数螺旋线的湍流运动有关。
The first research to synaptic strength rebalance was achieved in Deep learning. The parameters of relatively inferior negative and relatively good memory were considered in Deep learning for the first time, and the parameters also enriched the research of particle swarm optimization and genetic algorithm. Studies first proposed that memory flow in each cortex of the brain must be greater than the critical value in order for laminar flow to become turbulent and spread to the upstream brain regions, the critical angle of turbulence is related to the mnemonic weight. Based on turbulence, the study gives that the flow of memory from the downstream brain regions to the upstream brain regions may be the transmission of the brain architecture rate of change, and the mnemonic architecture of the downstream first cortex is

, then the mnemonic architecture of the upstream nth cortex may be approximately the n-1th derivative of

, our memory may be a two-dimensional logarithmic spiral, in this way, the n-1th derivative of

is not much different from

, synaptic connection weight or range weight is stored in a logarithmic spiral, a unique variable that angle as a logarithmic spiral. The study first showed that mnemonic architecture formula-logarithmic spiral, turbulent movement in brain regions is only energy loss and memory engrams are approximate. The study first showed that the upstream brain regions are more rational learning than the downstream brain regions and requires higher-order optimization, and the downstream brain regions have more negative memory, and the Deep learning model for upstream and downstream brain regions is given. The study considered the Deep learning model for upstream and downstream brain regions combined with reverse turbulence of downstream brain regions to explain 15 phenomena of Alzheimer's disease. The non-classical experiment with reference to the Heart-Brain interactions were studied, using wave function with exponentially decay to update the Deep learning model of the synaptic effective range firstly. This explains the dynamics cause of shaping in the geometry of the brain, related to the turbulent movement of the logarithmic spiral of the brain.
代码可联系作者获取。
You can contact the author to get the code.
Reference
[14] El-Boustani, Sami et al. “Locally coordinated synaptic plasticity of visual cortex neurons in vivo.” Science (New York, N.Y.) vol. 360,6395 (2018): 1349-1354. doi:10.1126/science.aao0862
[15] Yukari H. Takeo et al. GluD2- and Cbln1-mediated competitive interactions shape the dendritic arbors of cerebellar Purkinje cells. Neuron, 2021, doi:10.1016/j.neuron.2020.11.028.
[16] Lavi A, Sehgal M, de Sousa AF, Ter-Mkrtchyan D, Sisan F, Luchetti A, Okabe A, Bear C, Silva AJ. Local memory allocation recruits memory ensembles across brain regions. Neuron. 2022 Dec 15:S0896-6273(22)01072-8. doi: 10.1016/j.neuron.2022.11.018. Epub ahead of print. PMID: 36563678.
[17] Sorrells SF, Paredes MF, Cebrian-Silla A, Sandoval K, Qi D, Kelley KW, James D, Mayer S, Chang J, Auguste KI, Chang EF, Gutierrez AJ, Kriegstein AR, Mathern GW, Oldham MC, Huang EJ, Garcia-Verdugo JM, Yang Z, Alvarez-Buylla A. Human hippocampal neurogenesis drops sharply in children to undetectable levels in adults. Nature. 2018 Mar 15;555(7696):377-381. doi: 10.1038/nature25975. Epub 2018 Mar 7. PMID: 29513649; PMCID: PMC6179355.
[18] Boldrini M, Fulmore CA, Tartt AN, Simeon LR, Pavlova I, Poposka V, Rosoklija GB, Stankov A, Arango V, Dwork AJ, Hen R, Mann JJ. Human Hippocampal Neurogenesis Persists throughout Aging. Cell Stem Cell. 2018 Apr 5;22(4):589-599.e5. doi: 10.1016/j.stem.2018.03.015. PMID: 29625071; PMCID: PMC5957089.
[19] Ribot J, Breton R, Calvo CF, Moulard J, Ezan P, Zapata J, Samama K, Moreau M, Bemelmans AP, Sabatet V, Dingli F, Loew D, Milleret C, Billuart P, Dallérac G, Rouach N. Astrocytes close the mouse critical period for visual plasticity. Science. 2021 Jul 2;373(6550):77-81. doi: 10.1126/science.abf5273. PMID: 34210880.
[20] Zhang K, Förster R, He W, Liao X, Li J, Yang C, Qin H, Wang M, Ding R, Li R, Jian T, Wang Y, Zhang J, Yang Z, Jin W, Zhang Y, Qin S, Lu Y, Chen T, Stobart J, Weber B, Adelsberger H, Konnerth A, Chen X. Fear learning induces α7-nicotinic acetylcholine receptor-mediated astrocytic responsiveness that is required for memory persistence. Nat Neurosci. 2021 Dec;24(12):1686-1698. doi: 10.1038/s41593-021-00949-8. Epub 2021 Nov 15. PMID: 34782794.
[21] Lee JH, Kim JY, Noh S, Lee H, Lee SY, Mun JY, Park H, Chung WS. Astrocytes phagocytose adult hippocampal synapses for circuit homeostasis. Nature. 2021 Feb;590(7847):612-617. doi: 10.1038/s41586-020-03060-3. Epub 2020 Dec 23. PMID: 33361813.
[22] Galakhova AA, Hunt S, Wilbers R, Heyer DB, de Kock CPJ, Mansvelder HD, Goriounova NA. Evolution of cortical neurons supporting human cognition. Trends Cogn Sci. 2022 Nov;26(11):909-922. doi: 10.1016/j.tics.2022.08.012. Epub 2022 Sep 15. PMID: 36117080; PMCID: PMC9561064.
[23] Ryan TJ, Roy DS, Pignatelli M, Arons A, Tonegawa S. Memory. Engram cells retain memory under retrograde amnesia. Science. 2015 May 29;348(6238):1007-13. doi: 10.1126/science.aaa5542. Epub 2015 May 28. PMID: 26023136; PMCID: PMC5583719.
[24] Zhao C, Li D, Kong Y, Liu H, Hu Y, Niu H, Jensen O, Li X, Liu H, Song Y. Transcranial photobiomodulation enhances visual working memory capacity in humans. Sci Adv. 2022 Dec 2;8(48):eabq3211. doi: 10.1126/sciadv.abq3211. Epub 2022 Dec 2. PMID: 36459562.
[25] Christian Matthias Kerskens, David López Pérez. Experimental indications of non-classical brain functions. Journal of Physics Communications, 2022, 6(10): 105001. DOI: 10.1088/2399-6528/ac94be.
[26] Toader AC, Regalado JM, Li YR, Terceros A, Yadav N, Kumar S, Satow S, Hollunder F, Bonito-Oliva A, Rajasethupathy P. Anteromedial thalamus gates the selection and stabilization of long-term memories. Cell. 2023 Mar 30;186(7):1369-1381.e17. doi: 10.1016/j.cell.2023.02.024. PMID: 37001501.
[27] Deco, G., Liebana Garcia, S., Sanz Perl, Y. et al. The effect of turbulence in brain dynamics information transfer measured with magnetoencephalography. Commun Phys 6, 74 (2023). https://doi.org/10.1038/s42005-023-01192-2.
[28] Calafate, S., Özturan, G., Thrupp, N. et al. Early alterations in the MCH system link aberrant neuronal activity and sleep disturbances in a mouse model of Alzheimer’s disease. Nat Neurosci 26, 1021–1031 (2023). https://doi.org/10.1038/s41593-023-01325-4
[29] Chen, X., Firulyova, M., Manis, M. et al. Microglia-mediated T cell infiltration drives neurodegeneration in tauopathy. Nature (2023). https://doi.org/10.1038/s41586-023-05788-0
[30] Dou, H.-S., Origin of Turbulence-Energy Gradient Theory, 2022, Springer. https://link.springer.com/book/10.1007/978-981-19-0087-7.