机器学习算法中,经常需要 判断两个样本之间是否相似 ,比如KNN,K-means,推荐算法中的协同过滤等等,常用的套路是 将相似的判断转换成距离的计算 ,距离近的样本相似程度高,距离远的相似程度低。所以度量距离是很多算法中的关键步骤。
KNN算法中要求数据的所有特征都用数值表示。若在数据特征中存在非数值类型,必须采用手段将其进行量化为数值。
接下来介绍几种距离度量方法



国际象棋棋盘上二个位置间的切比雪夫距离是指王要从一个位置移至另一个位置需要走的步数。(王可以往斜前或斜后方向移动一格)

闵氏距离不是一种距离,而是一组距离的定义,是对多个距离度量公式的概括性的表述。

其中p是一个变参数:
根据 p 的不同,闵氏距离可以表示某一类/种的距离。

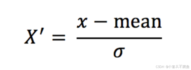
样本中有多个特征,每一个特征都有自己的定义域和取值范围,他们对距离计算也是不同的,如取值较大的影响力会盖过取值较小的参数。因此,为了公平,样本参数必须做一些归一化处理,将不同的特征都缩放到相同的区间或者分布内。
通过对原始数据进行变换,把数据映射到(默认为[0,1])之间。

scikit-learn 中实现归一化的 API:
from sklearn.preprocessing import MinMaxScaler
def test():
# 1. 准备数据
data = [[90, 2, 10, 40],
[60, 4, 15, 45],
[75, 3, 13, 46]]
# 2. 初始化归一化对象
transformer = MinMaxScaler()
# 3. 对原始特征进行变换
data = transformer.fit_transform(data)
# 4. 打印归一化后的结果
print(data)归一化受到最大值与最小值的影响,这种方法容易受到异常数据的影响, 鲁棒性较差,适合传统精确小数据场景

scikit-learn 中实现标准化的 API:
from sklearn.preprocessing import StandardScaler
def test():
# 1. 准备数据
data = [[90, 2, 10, 40],
[60, 4, 15, 45],
[75, 3, 13, 46]]
# 2. 初始化标准化对象
transformer = StandardScaler()
# 3. 对原始特征进行变换
data = transformer.fit_transform(data)
# 4. 打印归一化后的结果
print(data)对于标准化来说,如果出现异常点,由于具有一定数据量,少量的异常点对于平均值的影响并不大