在KNN算法中直接可以得出预测结果,但是如果想输出预测结果,还要输出预测结果的概率,这时候就需要使用逻辑回归解决问题。
比如,预测性别的时候,预测为男性,同时预测概率为90%,这样可以通过概率更加具有说服力。
🍭 应用场景
逻辑回归(Logistic Regression)是机器学习中的一种分类模型,逻辑回归是一种分类算法,虽然名字中带有回归。由于算法的简单和高效,在实际中应用非常广泛。
看到上面的例子,我们可以发现其中的特点,那就是都属于两个类别之间的判断。逻辑回归就是解决二分类问题的利器。
例子:我与一位猎人一起外出打猎,一只野兔从前方穿过,只听到一声枪响,野兔应声倒下。问是谁倒下的呢? 答:极有可能是猎人。
显然候选人就两个,我和猎人。若选择我,则事件发生的发生概率为0.01%,因为我不会打猎;若选择猎人,则事件发生的概率为99%,而事件已经发生,因此选择猎人更为合适。
🐼 极大似然估计的思想: 设总体中含有待估参数w,可以取很多值。已经知道了样本观测值(例子中的兔子被猎人打死了),从w的一切可能值中(引例中是我和猎人)选出一个使该观察值出现的概率为最大的值,作为w参数的估计值,这就是极大似然估计。(顾名思义:就是看上去那个是最大可能的意思)
🐻 求极大似然函数估计值的一般步骤: (1) 写出似然函数; (2) 对似然函数取对数,并整理; (3) 求导数 ; (4) 解似然方程
极大似然估计,只是一种概率论在统计学的应用,它是参数估计的方法之一。说的是已知某个随机样本满足某种概率分布,但是其中具体的参数不清楚,参数估计就是通过若干次试验,观察其结果,利用结果推出参数的大概值。极大似然估计是建立在这样的思想上:已知某个参数能使这个样本出现的概率最大,我们当然不会再去选择其他小概率的样本,所以干脆就把这个参数作为估计的真实值。
当然极大似然估计只是一种粗略的数学期望,要知道它的误差大小还要做区间估计。
🐼 Sigmod函数,也称之为逻辑斯特函数
假设一事件发生的概率为P,则不发生的概率为1-P,我们把发生概率/不发生概率称之为发生的概率比,数学公式表示为:

更进一步我们定义logit函数,它是概率比的对数函数(log-odds)

Logit函数耳朵输入值范围介于[0,1]之间,它能将输入转换到整个实数范围内。 对logit函数求反函数,我们将logit的反函数叫做logistic函数:

该函数的图像如下图: 对图像的理解:sidmod函数以实数值作为输入并将其反射到[0,1]区间,拐点在y=0.5地方。
🍭 需求:绘制[-7,7]的sigmod函数图像
import matplotlib.pyplot as plt
import numpy as np
def sigmod(z):
return 1.0/(1.0+np.exp(-z))
z=np.arange(-7,7,0.1)
phi_z=sigmod(z)
plt.plot(z,phi_z)
plt.axvline(0.0,color='k')
plt.axhspan(0.0,1.0,facecolor='1.0',alpha=1.0,ls='dotted')
plt.yticks([0.0,0.5,1.0])
plt.ylim(-0.1,1.1)
plt.xlabel('z')
plt.ylabel('$\phi (z)$')
plt.show()函数图像如图所示💯 :

输出结果解释(重要):假设有两个类别A,B,并且假设我们的概率值为属于A(1)这个类别的概率值。现在有一个样本的输入到逻辑回归输出结果0.55,那么这个概率值超过0.5,意味着我们训练或者预测的结果就是A(1)类别。那么反之,如果得出结果为0.3那么,训练或者预测结果就为B(0)类别。 关于逻辑回归的阈值是可以进行改变的,比如上面举例中,如果你把阈值设置为0.6,那么输出的结果0.55,就属于B类。
在学习逻辑回归之前,我们用均方误差来衡量线性回归的损失。
🐼 在逻辑回归中,当预测结果不对的时候,我们该怎么衡量其损失呢?
我们来看下图(下图中,设置阈值为0.6),

那么如何去衡量逻辑回归的预测结果与真实结果的差异?
首先我们进行逻辑斯特回归函数的表示学习。
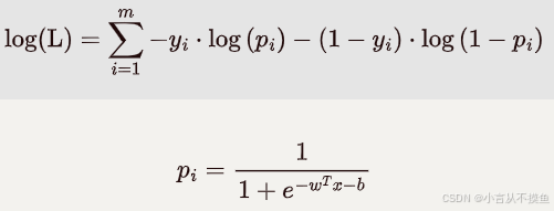
假设:有 0、1 两个类别,某个样本被分为 1 类的概率为: p, 则分为 0 类的概率为 1-p,则每一个样本分类正确的概率为:

上述公式可转换为:

假设,我们现在有样本:[(x1, y1), (x2, y2) … (xn, yn)],那么,全部预测正确的概率表示为:

通过极大化事件概率,从而估计出模型参数。
接下来,将上式其转换为对数加法的形式:

上述公式为最大化问题。
增加一个负号,将其变为最小化问题,公式再次转换如下:

此时,得到逻辑回归的对数似然损失函数.
如上述案例,我们就带入上面那个例子来计算一遍,就能理解意义了。

我们已经知道,-log(P), P值越大,结果越小,所以我们可以对着这个损失的式子去分析。