
还记得上一篇中我们遗留的问题吗?我们再简要回顾一下,现在有一颗空的二叉查找树,我们分别插入1,2,3,4,5,五个节点,那么得到的树是什么样子呢?这个不难想象,二叉树如下:

树的高度是4,并且数据结构上和链表没有区别,查找性能也和链表一致。如果我们将树的结构改变一下呢?比如改成下面的树结构,

那么树的高度变成了3,并且它也是一棵二叉查找树,树的高度越低,查找性能就越高,这是我们理想中的数据结构。如果想要树的高度尽可能的低,那么左右子树的高度差就不能相差太多。这就引出了我们今天的主题AVL平衡二叉树,AVL平衡二叉树的定义为任意节点的左右子树的高度差不能超过1。这样就可以保证我们的这棵树的高度保持在一个最低的状态,这样我们的查找性能也是最优的。那么我们如何在树的变化时(也就是增加节点或删除节点时),保证AVL平衡二叉树的性质呢?下面我们就针对每一种情况进行分析。
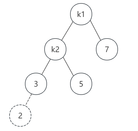
我们先看看下面的例子,以下每一个例子都是最复杂的情况,完全覆盖简单的情况,所以我们把最复杂情况用代码实现了,那么简单的情况也会涵盖在内。看下图

上图中,原本以k1为根节点的树是一个AVL平衡二叉树,这时,我们向树中插入节点2,根据二叉查找树的性质,最后节点2插入的位置如上图。插入节点后,我们每个节点分析一下,看看节点是否还符合AVL平衡二叉树的性质。我们先看看节点3,插入节点2后,节点3的左子树的高度是0,因为只有一个节点2。再看节点3的右子树,右子树为空,那么高度为-1,这里我们统一规定,如果节点为空,那么高度为-1。节点3的左右子树高度为1,符合AVL平衡二叉树的性质,同理我们再看节点k2,左子树高度为1,右子树高度为0,高度差为1,也符合AVL平衡二叉树。再看节点k1,左子树k2的高度为2,右子树的高度为0,相差为2,所以在节点k1处不满足AVL平衡二叉树的性质,我们要进行调整,使得以k1为根节点的树变为一个AVL平衡二叉树,我们要怎么做呢?
由于左子树的高度比较高,所以我们要将树旋转一下,用k2作根节点,k1作为k2的右子节点,旋转后如图所示:

旋转后,以k2为根节点的新树,是一棵AVL平衡二叉树。这里我们要特别注意一下节点5的位置,它的原始位置是k2的右子树,而k2又是k1的左子树,根据二叉查找树的性质,k2的右子树中的值是大于k2,小于k1的。旋转后,k2变成了根节点,k1变成k2的右子树,那么原k2的右子树(节点5),变为k1的左子树。那么这棵树根据二叉查找树的性质,还是大于k2,小于k1的,没有变动,这是符合我们的预期的。通过上述的旋转,我们得到的新树是一棵AVL平衡二叉树。
我们总结一下重要的点,为编码做准备:
完成上面的操作,我们得到一个新的AVL平衡二叉树。下面我们进入具体编码。
/**
* 二叉树节点
* @param <T>
*/
public class BinaryNode<T extends Comparable<T>> {
//节点数据
@Setter@Getter
private T element;
//左子节点
@Setter@Getter
private BinaryNode<T> left;
//右子节点
@Setter@Getter
private BinaryNode<T> right;
//节点高度
@Setter@Getter
private Integer height;
//构造函数
public BinaryNode(T element) {
if (element == null) {
throw new RuntimeException("二叉树节点元素不能为空");
}
this.element = element;
this.height = 0;
}
}我们现在改造BinaryNode类,并在类中增加高度属性,高度默认为0。
/**
* 二叉查找树
*/
public class BinarySearchTree<T extends Comparable<T>> {
……
/**
* 插入元素
*
* @param element
*/
public void insert(T element) {
root = insert(root, element);
}
private BinaryNode<T> insert(BinaryNode<T> tree, T element) {
if (tree == null) {
tree = new BinaryNode<>(element);
} else {
int compareResult = element.compareTo(tree.getElement());
if (compareResult > 0) {
tree.setRight(insert(tree.getRight(), element));
}
if (compareResult < 0) {
tree.setLeft(insert(tree.getLeft(), element));
}
}
return balance(tree);
}
/**
* 平衡节点
* @param tree
*/
private BinaryNode<T> balance(BinaryNode<T> tree) {
if (tree == null) {
return null;
}
Integer leftHeight = height(tree.getLeft());
Integer rightHeight = height(tree.getRight());
if (leftHeight - rightHeight > 1) {
//左-左情形,单旋转
if (height(tree.getLeft().getLeft()) >= height(tree.getLeft().getRight())) {
tree = rotateWithLeftChild(tree);
}
}
//当前节点的高度 = 最高的子节点 + 1
tree.setHeight(Math.max(leftHeight,rightHeight) + 1);
return tree;
}
/**
* 节点的高度
* @param node
* @return
*/
public Integer height(BinaryNode node) {
return node == null?-1:node.getHeight();
}
/**
* 左侧单旋转
* @param k1
*/
private BinaryNode<T> rotateWithLeftChild(BinaryNode<T> k1) {
BinaryNode<T> k2 = k1.getLeft();
k1.setLeft(k2.getRight());
k2.setRight(k1);
k1.setHeight(Math.max(height(k1.getLeft()),height(k1.getRight()))+1);
k2.setHeight(Math.max(height(k2.getLeft()),height(k2.getRight()))+1);
return k2;
}
……
}我们再在BinarySearchTree类中增加height方法,获取节点的高度,如果节点为空,返回-1。由于insert后,树可能会发生旋转,节点会发生变化,所以这里,insert方法改造为会有返回值。在第一个insert方法中,调用第二个insert方法,并用root去接第二个insert方法的返回值,说明整棵树的根节点可能会发生旋转变化。同样在第二个insert方法中,递归调用时,根据不同的条件,将返回值给到当前节点的左或右子节点。节点插入完成后,我们统一调用balance方法,如果节点不满足平衡条件,我们要进行相应的旋转,最后把相关的节点的高度进行更新,这个balance方法是我们今天重点的方法。
进入balance方法后,我们分别获取左右子树的高度,如果左子树的高度比右子树高度大于1,说明不满足平衡条件,需要进行旋转。然后再判断左子树的左子树与左子树的右子树的高度,如果大于,说明是左-左情形,需要左侧单旋转。这里比较绕,大家多看几篇,加深理解。我们把以当前节点为根节点的子树传入rotateWithLeftChild方法中,为了和上面的图对应起来,变量的名称叫做k1。那么对应的k2就是k1的左子树,然后进行旋转,k1的左子树设置为k2的右子树,k2的右子树设置为k1,然后再重新计算k1和k2的高度,最后将k2作为新子树的根节点返回。这样左-左情形的单旋转就实现了。我们可以多看几遍代码加深一下理解。
与左左相对称的是右-右情形,我们看下图:

我们插入节点6后,导致以k1为根节点的子树不平衡,需要进行旋转,旋转的动作与左左情形完全对称,总结操作如下:
旋转后,如下图:

我们按照上面的操作进行编码,
/**
* 平衡节点
* @param tree
*/
private BinaryNode<T> balance(BinaryNode<T> tree) {
if (tree == null) {
return null;
}
Integer leftHeight = height(tree.getLeft());
Integer rightHeight = height(tree.getRight());
if (leftHeight - rightHeight > 1) {
//左-左情形,单旋转
if (height(tree.getLeft().getLeft()) >= height(tree.getLeft().getRight())) {
tree = rotateWithLeftChild(tree);
}
} else if (rightHeight - leftHeight > 1){
//右-右情形,单旋转
if (height(tree.getRight().getRight()) >= height(tree.getRight().getLeft())) {
tree = rotateWithRightChild(tree);
}
}
//当前节点的高度 = 最高的子节点 + 1
tree.setHeight(Math.max(leftHeight,rightHeight) + 1);
return tree;
}
/**
* 右侧单旋转
* @param k1
* @return
*/
private BinaryNode<T> rotateWithRightChild(BinaryNode<T> k1) {
BinaryNode<T> k2 = k1.getRight();
k1.setRight(k2.getLeft());
k2.setLeft(k1);
k1.setHeight(Math.max(height(k1.getLeft()),height(k1.getRight()))+1);
k2.setHeight(Math.max(height(k2.getLeft()),height(k2.getRight()))+1);
return k2;
}在balance方法中,我们增加了右-右情形的判断,然后调用rotateWithRightChild方法,在这个方法中,为了和上图对应,变量的名字我们依然叫做k1和k2。k1的右节点设置为k2的左节点,k2的左节点设置为k1,然后更新高度,最后把新的根节点k2返回。
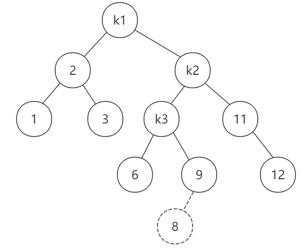
下面我们再看双旋转的情形,如下图所示:

我们新插入节点3后,导致以k1为根节点的子树不满足平衡条件,我们先用之前的左侧单旋转,看看能不能满足,如下图所示:

旋转后,以k2为根节点的新树,右子树比左子树的高度大于1,也不满足平衡条件,所以这种方案是不行的。那我们要怎么做呢?我们只有将k3作为新的根节点才能满足平衡条件,将k3移动到根节点我们需要旋转两次,第一次先在k2节点进行右旋转,将k3旋转到k1的左子节点的位置,如图:

然后再在k1位置进行左旋转,将k3移动到根节点,如图:

这样就满足了平衡条件,细心的小伙伴可能注意到了,原k3的做节点挂到了k2的右节点上,原k3的右节点刮到了k1的左节点上。这些细节并不需要我们特殊的处理,因为在左旋转右旋转的方法中已经处理过了,我们再总结一下具体的细节:
左-右情形,需要双旋转。我们编码实现
/**
* 平衡节点
* @param tree
*/
private BinaryNode<T> balance(BinaryNode<T> tree) {
if (tree == null) {
return null;
}
Integer leftHeight = height(tree.getLeft());
Integer rightHeight = height(tree.getRight());
if (leftHeight - rightHeight > 1) {
//左-左情形,单旋转
if (height(tree.getLeft().getLeft()) >= height(tree.getLeft().getRight())) {
tree = rotateWithLeftChild(tree);
} else {// 左-右情形,双旋转
tree = doubleWithLeftChild(tree);
}
} else if (rightHeight - leftHeight > 1){
//右-右情形,单旋转
if (height(tree.getRight().getRight()) >= height(tree.getRight().getLeft())) {
tree = rotateWithRightChild(tree);
}
}
//当前节点的高度 = 最高的子节点 + 1
tree.setHeight(Math.max(leftHeight,rightHeight) + 1);
return tree;
}
/**
* 左侧双旋转
* @param k1
* @return
*/
private BinaryNode<T> doubleWithLeftChild(BinaryNode<T> k1) {
k1.setLeft(rotateWithRightChild(k1.getLeft()));
return rotateWithLeftChild(k1);
}我们在balance方法中,增加左-右情形的判断,然后调用doubleWithLeftChild方法,在这个方法中,我们按照之前总结的步骤,先将k1的左节点进行一次右旋转,然后再将k1进行左旋转,最后将新的根节点返回,旋转后达到了平衡的条件。
最后我们再来看与左右情形对称的右-左情形,树的初始结构如下图:

插入节点8后,导致k1节点的右子树高度比左子树高度大于1,同时k2的左子树比右子树高,这就是右-左情形。这时,我们需要先在k2节点做一次左旋转,旋转后如图:

然后再在k1节点做一次右旋转,旋转后如图:

我们参照上面的左右情形,总结一下右左情形的操作:
右-左情形,需要双旋转。然后我们编码实现:
/**
* 平衡节点
* @param tree
*/
private BinaryNode<T> balance(BinaryNode<T> tree) {
if (tree == null) {
return null;
}
Integer leftHeight = height(tree.getLeft());
Integer rightHeight = height(tree.getRight());
if (leftHeight - rightHeight > 1) {
//左-左情形,单旋转
if (height(tree.getLeft().getLeft()) >= height(tree.getLeft().getRight())) {
tree = rotateWithLeftChild(tree);
} else {// 左-右情形,双旋转
tree = doubleWithLeftChild(tree);
}
} else if (rightHeight - leftHeight > 1){
//右-右情形,单旋转
if (height(tree.getRight().getRight()) >= height(tree.getRight().getLeft())) {
tree = rotateWithRightChild(tree);
} else {//右-左情形,双旋转
tree = doubleWithRightChild(tree);
}
}
//当前节点的高度 = 最高的子节点 + 1
tree.setHeight(Math.max(leftHeight,rightHeight) + 1);
return tree;
}
/**
* 右侧双旋转
* @param k1
* @return
*/
private BinaryNode<T> doubleWithRightChild(BinaryNode<T> k1) {
k1.setRight(rotateWithLeftChild(k1.getRight()));
return rotateWithLeftChild(k1);
}由于左右单旋转的方法在之前已经实现过了,所以双旋转的实现,我们直接调用就可以了,先将k1的右节点进行一次左旋转,再将k1进行右旋转,最后返回新的根节点。因为节点的高度正在左右单旋转的方法里已经处理了,所以这里不需要特殊的处理。
与插入节点一样,删除节点也会引起树的不平衡,同样,在删除节点后,我们调用balance方法使树再平衡。remove改造方法如下:
/**
* 删除元素
* @param element
*/
public void remove(T element) {
root = remove(root, element);
}
private BinaryNode<T> remove(BinaryNode<T> tree, T element) {
if (tree == null) {
return null;
}
int compareResult = element.compareTo(tree.getElement());
if (compareResult > 0) {
tree.setRight(remove(tree.getRight(), element));
} else if (compareResult < 0) {
tree.setLeft(remove(tree.getLeft(), element));
}
if (tree.getLeft() != null && tree.getRight() != null) {
tree.setElement(findMin(tree.getRight()));
tree.setRight(remove(tree.getRight(), tree.getElement()));
} else {
tree = tree.getLeft() != null ? tree.getLeft() : tree.getRight();
}
return balance(tree);
}同样,remove方法会引起子树根节点的变化,所以,第二个remove方法要增加返回值,在调用第二个remove方法时,要用返回值覆盖当前的节点。
好了,AVL平衡二叉树的操作就完全实现了,它解决了树的不平衡问题,使得查询效率大幅提升。小伙伴们有问题,欢迎评论区留言~~
原创声明:本文系作者授权腾讯云开发者社区发表,未经许可,不得转载。
如有侵权,请联系 cloudcommunity@tencent.com 删除。
原创声明:本文系作者授权腾讯云开发者社区发表,未经许可,不得转载。
如有侵权,请联系 cloudcommunity@tencent.com 删除。