AVL树是最先发明的⾃平衡⼆叉查找树,AVL是⼀颗空树,或者具备下列性质的二叉搜索树:它的
左右⼦树都是AV树,且左右⼦树的⾼度差的绝对值不超过1。AVL树是⼀颗⾼度平衡搜索二叉树,
通过控制⾼度差去控制平衡。
AVL树得名于它的发明者G. M. Adelson-Velsky和E. M. Landis是两个前苏联的科学家,他们在1962
年的论⽂《An algorithm for the organization of information》中发表了它。
AVL树实现这⾥我们引⼊⼀个平衡因⼦(balance factor)的概念,每个结点都有⼀个平衡因⼦,任何
结点的平衡因⼦等于右⼦树的⾼度减去左⼦树的⾼度,也就是说任何结点的平衡因⼦等于0/1/-1,
AVL树并不是必须要平衡因⼦,但是有了平衡因⼦可以更⽅便我们去进⾏观察和控制树是否平衡,
就像⼀个⻛向标⼀样。
思考⼀下为什么AVL树是⾼度平衡搜索⼆叉树,要求⾼度差不超过1,⽽不是⾼度差是0呢?0不是更好的平衡吗?画画图分析我们发现,不是不想这样设计,⽽是有些情况是做不到⾼度差是0的。⽐如⼀棵树是2个结点,4个结点等情况下,⾼度差最好就是1,⽆法作为⾼度差是0
AVL树整体结点数量和分布和完全⼆叉树类似,⾼度可以控制在 ,那么增删查改的效率也可
以控制在 ,相⽐⼆叉搜索树有了本质的提升


template < class K , class V > struct AVLTreeNode { // 需要 parent 指针,后续更新平衡因⼦可以看到 pair<K, V> _kv; AVLTreeNode<K, V>* _left; AVLTreeNode<K, V>* _right; AVLTreeNode<K, V>* _parent; int _bf; // balance factor AVLTreeNode ( const pair<K, V>& kv) :_kv(kv) , _left( nullptr ) , _right( nullptr ) , _parent( nullptr ) ,_bf( 0 ) {} }; template < class K , class V > class AVLTree { typedef AVLTreeNode<K, V> Node; public : //... private : Node* _root = nullptr ; };
1. 插⼊⼀个值按⼆叉搜索树规则进⾏插⼊。
2. 新增结点以后,只会影响祖先结点的⾼度,也就是可能会影响部分祖先结点的平衡因⼦,所以更新从新增结点->根结点路径上的平衡因⼦,实际中最坏情况下要更新到根,有些情况更新到中间就可以停⽌了,具体情况我们下⾯再详细分析。
3. 更新平衡因⼦过程中没有出现问题,则插⼊结束
4. 更新平衡因⼦过程中出现不平衡,对不平衡⼦树旋转,旋转后本质调平衡的同时,本质降低了⼦树的⾼度,不会再影响上⼀层,所以插⼊结束。
更新原则:
• 平衡因⼦ = 右⼦树⾼度-左⼦树⾼度
• 只有⼦树⾼度变化才会影响当前结点平衡因⼦。
• 插⼊结点,会增加⾼度,所以新增结点在parent的右⼦树,parent的平衡因⼦++,新增结点在
parent的左⼦树,parent平衡因⼦--
• parent所在⼦树的⾼度是否变化决定了是否会继续往上更新
更新停⽌条件:
• 更新后parent的平衡因⼦等于0,更新中parent的平衡因⼦变化为-1->0 或者 1->0,说明更新前
parent⼦树⼀边⾼⼀边低,新增的结点插⼊在低的那边,插⼊后parent所在的⼦树⾼度不变,不会
影响parent的⽗亲结点的平衡因⼦,更新结束。
• 更新后parent的平衡因⼦等于1 或 -1,更新前更新中parent的平衡因⼦变化为0->1 或者 0->-1,说 明更新前parent⼦树两边⼀样⾼,新增的插⼊结点后,parent所在的⼦树⼀边⾼⼀边低,parent所在的⼦树符合平衡要求,但是⾼度增加了1,会影响arent的⽗亲结点的平衡因⼦,所以要继续向上更新。
• 更新后parent的平衡因⼦等于2 或 -2,更新前更新中parent的平衡因⼦变化为1->2 或者 -1->-2,说明更新前parent⼦树⼀边⾼⼀边低,新增的插⼊结点在⾼的那边,parent所在的⼦树⾼的那边更⾼了,破坏了平衡,parent所在的⼦树不符合平衡要求,需要旋转处理,旋转的⽬标有两个:1、把parent⼦树旋转平衡。2、降低parent⼦树的⾼度,恢复到插⼊结点以前的⾼度。所以旋转后也不需要继续往上更新,插⼊结束。
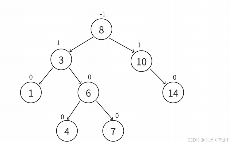
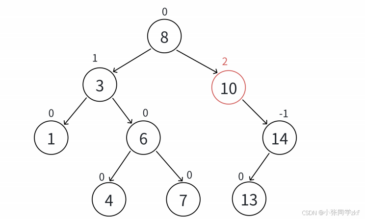
更新到10结点,平衡因⼦为2,10所在的⼦树已经不平衡,需要旋转处理

更新到中间结点,3为根的⼦树⾼度不变,不会影响上⼀层,更新结束

最坏更新到根停⽌

1 bool Insert ( const pair<K, V>& kv) 2 { 3 if (_root == nullptr ) 4 { 5 _root = new Node (kv); 6 return true ; 7 } 8 9 Node* parent = nullptr ; 10 Node* cur = _root; 11 while (cur) 12 { 13 if (cur->_kv.first < kv.first) 14 { 15 parent = cur; 16 cur = cur->_right; 17 } 18 else if (cur->_kv.first > kv.first) 19 { 20 parent = cur; 21 cur = cur->_left; 22 } 23 else 24 { 25 return false ; 26 } 27 } 28 29 cur = new Node (kv); 30 if (parent->_kv.first < kv.first) 31 { 32 parent->_right = cur; 33 } 34 else 35 { 36 parent->_left = cur; 37 } 38 cur->_parent = parent; 39 40 // 更新平衡因⼦ 41 while (parent) 42 { 43 // 更新平衡因⼦ 44 if (cur == parent->_left) 45 parent->_bf--; 46 else 47 parent->_bf++; 48 49 if (parent->_bf == 0 ) 50 { 51 // 更新结束 52 break ; 53 } 54 else if (parent->_bf == 1 || parent->_bf == -1 ) 55 { 56 // 继续往上更新 57 cur = parent; 58 parent = parent->_parent; 59 } 60 else if (parent->_bf == 2 || parent->_bf == -2 ) 61 { 62 // 不平衡了,旋转处理 63 break ; 64 } 65 else 66 { 67 assert ( false ); 68 } 69 } 70 71 return true ; 72 }
1. 保持搜索树的规则
2. 让旋转的树从不满⾜变平衡,其次降低旋转树的⾼度
旋转总共分为四种,左单旋/右单旋/左右双旋/右左双旋。
说明:下⾯的图中,有些结点我们给的是具体值,如10和5等结点,这⾥是为了⽅便讲解,实际中是什么值都可以,只要⼤⼩关系符合搜索树的规则即可。
• 本图1展⽰的是10为根的树,有a/b/c抽象为三棵⾼度为h的⼦树(h>=0),a/b/c均符合AVL树的要
求。10可能是整棵树的根,也可能是⼀个整棵树中局部的⼦树的根。这⾥a/b/c是⾼度为h的⼦树,
是⼀种概括抽象表⽰,他代表了所有右单旋的场景,实际右单旋形态有很多种,具体图2/图3/图4/
图5进⾏了详细描述。
• 在a⼦树中插⼊⼀个新结点,导致a⼦树的⾼度从h变成h+1,不断向上更新平衡因⼦,导致10的平
衡因⼦从-1变成-2,10为根的树左右⾼度差超过1,违反平衡规则。10为根的树左边太⾼了,需要
往右边旋转,控制两棵树的平衡。
• 旋转核⼼步骤,因为5 < b⼦树的值 < 10,将b变成10的左⼦树,10变成5的右⼦树,5变成这棵树新的根,符合搜索树的规则,控制了平衡,同时这棵的⾼度恢复到了插⼊之前的h+2,符合旋转原
则。如果插⼊之前10整棵树的⼀个局部⼦树,旋转后不会再影响上⼀层,插⼊结束了。





void RotateR (Node* parent) { Node* subL = parent->_left; Node* subLR = subL->_right; // 需要注意除了要修改孩⼦指针指向,还是修改⽗亲 parent->_left = subLR; if (subLR) subLR->_parent = parent; Node* parentParent = parent->_parent; subL->_right = parent; parent->_parent = subL; // parent 有可能是整棵树的根,也可能是局部的⼦树 // 如果是整棵树的根,要修改 _root // 如果是局部的指针要跟上⼀层链接 if (parentParent == nullptr ) { _root = subL; subL->_parent = nullptr ; } else { if (parent == parentParent->_left) { parentParent->_left = subL; } else { parentParent->_right = subL; } subL->_parent = parentParent; } parent->_bf = subL->_bf = 0 ; }
• 本图6展⽰的是10为根的树,有a/b/c抽象为三棵⾼度为h的⼦树(h>=0),a/b/c均符合AVL树的要
求。10可能是整棵树的根,也可能是⼀个整棵树中局部的⼦树的根。这⾥a/b/c是⾼度为h的⼦树,
是⼀种概括抽象表⽰,他代表了所有右单旋的场景,实际右单旋形态有很多种,具体跟上⾯左旋类
似。
• 在a⼦树中插⼊⼀个新结点,导致a⼦树的⾼度从h变成h+1,不断向上更新平衡因⼦,导致10的平
衡因⼦从1变成2,10为根的树左右⾼度差超过1,违反平衡规则。10为根的树右边太⾼了,需要往
左边旋转,控制两棵树的平衡。
• 旋转核⼼步骤,因为10 < b⼦树的值 < 15,将b变成10的右⼦树,10变成15的左⼦树,15变成这棵 树新的根,符合搜索树的规则,控制了平衡,同时这棵的⾼度恢复到了插⼊之前的h+2,符合旋转原则。如果插⼊之前10整棵树的⼀个局部⼦树,旋转后不会再影响上⼀层,插⼊结束了。

1 void RotateL (Node* parent) 2 { 3 Node* subR = parent->_right; 4 Node* subRL = subR->_left; 5 6 parent->_right = subRL; 7 if (subRL) 8 subRL->_parent = parent; 9 10 Node* parentParent = parent->_parent; 11 12 subR->_left = parent; 13 parent->_parent = subR; 14 15 if (parentParent == nullptr ) 16 { 17 _root = subR; 18 subR->_parent = nullptr ; 19 } 20 else 21 { 22 if (parent == parentParent->_left) 23 { 24 parentParent->_left = subR; 25 } 26 else 27 { 28 parentParent->_right = subR; 29 } 30 31 subR->_parent = parentParent; 32 } 33 34 parent->_bf = subR->_bf = 0 ; 35 }
通过图7和图8可以看到,左边⾼时,如果插⼊位置不是在a⼦树,⽽是插⼊在b⼦树,b⼦树⾼度从h变成h+1,引发旋转,右单旋⽆法解决问题,右单旋后,我们的树依旧不平衡。右单旋解决的纯粹的左边⾼,但是插⼊在b⼦树中,10为跟的⼦树不再是单纯的左边⾼,对于10是左边⾼,但是对于5是右边⾼,需要⽤两次旋转才能解决,以5为旋转点进⾏⼀个左单旋,以10为旋转点进⾏⼀个右单旋,这棵树这棵树就平衡了。


图7和图8分别为左右双旋中h==0和h==1具体场景分析,下⾯我们将a/b/c⼦树抽象为⾼度h的AVL
⼦树进⾏分析,另外我们需要把b⼦树的细节进⼀步展开为8和左⼦树⾼度为h-1的e和f⼦树,因为
我们要对b的⽗亲5为旋转点进⾏左单旋,左单旋需要动b树中的左⼦树。b⼦树中新增结点的位置
不同,平衡因⼦更新的细节也不同,通过观察8的平衡因⼦不同,这⾥我们要分三个场景讨论。
• 场景1:h >= 1时,新增结点插⼊在e⼦树,e⼦树⾼度从h-1并为h并不断更新8->5->10平衡因⼦,引发旋转,其中8的平衡因⼦为-1,旋转后8和5平衡因⼦为0,10平衡因⼦为1。
• 场景2:h >= 1时,新增结点插⼊在f⼦树,f⼦树⾼度从h-1变为h并不断更新8->5->10平衡因⼦,引发旋转,其中8的平衡因⼦为1,旋转后8和10平衡因⼦为0,5平衡因⼦为-1。
• 场景3:h == 0时,a/b/c都是空树,b⾃⼰就是⼀个新增结点,不断更新5->10平衡因⼦,引发旋
转,其中8的平衡因⼦为0,旋转后8和10和5平衡因⼦均为0。

void RotateLR (Node* parent) { Node* subL = parent->_left; Node* subLR = subL->_right; int bf = subLR->_bf; RotateL (parent->_left); RotateR (parent); if (bf == 0 ) { subL->_bf = 0 ; subLR->_bf = 0 ; parent->_bf = 0 ; } else if (bf == -1 ) { subL->_bf = 0 ; subLR->_bf = 0 ; parent->_bf = 1 ; } else if (bf == 1 ) { subL->_bf = -1 ; subLR->_bf = 0 ; parent->_bf = 0 ; } else { assert ( false ); } }
跟左右双旋类似,下⾯我们将a/b/c⼦树抽象为⾼度h的AVL⼦树进⾏分析,另外我们需要把b⼦树的
细节进⼀步展开为12和左⼦树⾼度为h-1的e和f⼦树,因为我们要对b的⽗亲15为旋转点进⾏右单
旋,右单旋需要动b树中的右⼦树。b⼦树中新增结点的位置不同,平衡因⼦更新的细节也不同,通
过观察12的平衡因⼦不同,这⾥我们要分三个场景讨论。
• 场景1:h >= 1时,新增结点插⼊在e⼦树,e⼦树⾼度从h-1变为h并不断更新12->15->10平衡因
⼦,引发旋转,其中12的平衡因⼦为-1,旋转后10和12平衡因⼦为0,15平衡因⼦为1。
• 场景2:h >= 1时,新增结点插⼊在f⼦树,f⼦树⾼度从h-1变为h并不断更新12->15->10平衡因⼦,引发旋转,其中12的平衡因⼦为1,旋转后15和12平衡因⼦为0,10平衡因⼦为-1。
• 场景3:h == 0时,a/b/c都是空树,b⾃⼰就是⼀个新增结点,不断更新15->10平衡因⼦,引发旋
转,其中12的平衡因⼦为0,旋转后10和12和15平衡因⼦均为0。

1 void RotateRL (Node* parent) 2 { 3 Node* subR = parent->_right; 4 Node* subRL = subR->_left; 5 int bf = subRL->_bf; 6 7 RotateR (parent->_right); 8 RotateL (parent); 9 10 if (bf == 0 ) 11 { 12 subR->_bf = 0 ; 13 subRL->_bf = 0 ; 14 parent->_bf = 0 ; 15 } 16 else if (bf == 1 ) 17 { 18 subR->_bf = 0 ; 19 subRL->_bf = 0 ; 20 parent->_bf = -1 ; 21 } 22 else if (bf == -1 ) 23 { 24 subR->_bf = 1 ; 25 subRL->_bf = 0 ; 26 parent->_bf = 0 ; 27 } 28 else 29 { 30 assert ( false ); 31 } 32 }
那⼆叉搜索树逻辑实现即可,搜索效率为 O(logN)
1 Node* Find ( const K& key) 2 { 3 Node* cur = _root; 4 while (cur) 5 { 6 if (cur->_kv.first < key) 7 { 8 cur = cur->_right; 9 } 10 else if (cur->_kv.first > key) 11 { 12 cur = cur->_left; 13 } 14 else 15 { 16 return cur; 17 } 18 } 19 20 return nullptr ; 21 }
我们实现的AVL树是否合格,我们通过检查左右⼦树⾼度差的的程序进⾏反向验证,同时检查⼀下结点的平衡因⼦更新是否出现了问题。
1 int _Height(Node* root) 2 { 3 if (root == nullptr ) 4 return 0 ; 5 6 int leftHeight = _Height(root->_left); 7 int rightHeight = _Height(root->_right); 8 9 return leftHeight > rightHeight ? leftHeight + 1 : rightHeight + 1 ; 10 } 11 12 bool _IsBalanceTree(Node* root) 13 { 14 // 空树也是 AVL 树 15 if ( nullptr == root) 16 return true ; 17 18 // 计算 pRoot 结点的平衡因⼦:即 pRoot 左右⼦树的⾼度差 19 int leftHeight = _Height(root->_left); 20 int rightHeight = _Height(root->_right); 21 int diff = rightHeight - leftHeight; 22 23 // 如果计算出的平衡因⼦与 pRoot 的平衡因⼦不相等,或者 24 // pRoot 平衡因⼦的绝对值超过 1 ,则⼀定不是 AVL 树 25 if ( abs (diff) >= 2 ) 26 { 27 cout << root->_kv.first << " ⾼度差异常 " << endl; 28 return false ; 29 } 30 31 if (root->_bf != diff) 32 { 33 cout << root->_kv.first << " 平衡因⼦异常 " << endl; 34 return false ; 35 } 36 37 // pRoot 的左和右如果都是 AVL 树,则该树⼀定是 AVL 树 38 return _IsBalanceTree(root->_left) && _IsBalanceTree(root->_right); 39 } 40 41 // 测试代码 42 void TestAVLTree1 () 43 { 44 AVLTree< int , int > t; 45 // 常规的测试⽤例 46 //int a[] = { 16, 3, 7, 11, 9, 26, 18, 14, 15 }; 47 // 特殊的带有双旋场景的测试⽤例 48 int a[] = { 4 , 2 , 6 , 1 , 3 , 5 , 15 , 7 , 16 , 14 }; 49 for ( auto e : a) 50 { 51 t. Insert ({ e, e }); 52 } 53 54 t. InOrder (); 55 cout << t. IsBalanceTree () << endl; 56 } 57 58 // 插⼊⼀堆随机值,测试平衡,顺便测试⼀下⾼度和性能等 59 void TestAVLTree2 () 60 { 61 const int N = 100000 ; 62 vector< int > v; 63 v. reserve (N); 64 srand ( time ( 0 )); 65 66 for ( size_t i = 0 ; i < N; i++) 67 { 68 v. push_back ( rand ()+i); 69 } 70 71 size_t begin2 = clock (); 72 AVLTree< int , int > t; 73 for ( auto e : v) 74 { 75 t. Insert ( make_pair (e, e)); 76 } 77 size_t end2 = clock (); 78 79 cout << "Insert:" << end2 - begin2 << endl; 80 cout << t. IsBalanceTree () << endl; 81 82 cout << "Height:" << t. Height () << endl; 83 cout << "Size:" << t. Size () << endl; 84 85 size_t begin1 = clock (); 86 // 确定在的值 87 /*for (auto e : v) 88 { 89 t.Find(e); 90 }*/ 91 92 // 随机值 93 for ( size_t i = 0 ; i < N; i++) 94 { 95 t. Find (( rand () + i)); 96 } 97 98 size_t end1 = clock (); 99 100 cout << "Find:" << end1 - begin1 << endl; 101 }
结束语 AVL树的有关知识总结完毕,有了这种树的铺垫,学红黑树会更加简单易懂 OK,感谢观看!!!