情绪是人类行动的一个固有部分,因此,开发能够理解和识别人类情绪的人工智能系统势在必行。在涉及不同人的对话中,一个人的情绪会受到其他说话者的言语和他们自己在言语中的情绪状态的影响。在本文中,我们提出了基于 COntex- tualized Graph Neural Network的多模态情感识别COGMEN)系统,该系统利用了本地信息(即说话人之间的内/外依赖性)和全局信息(上下文)。建议的模型使用基于图谱神经网络 (GNN) 的架构来模拟对话中的复杂关系(本地和全局信息)。我们的模型在IEMOCAP和MOSEI数据集上给出了最先进的 (SOTA)结果,详细的消融实验显示了在两个层面上对信息进行建模的重要性

图2显示了详细的体系结构。输入的话语作为语境提取器模块的输入,该模块负责捕获全局语境。语境提取器为每个话语(utterance)提取的特征形成了一个基于说话人之间交互的图(Graph Formation)。该图作为Relational - GCN的输入,然后是graph transformer,graph transformer使用形成的图来捕捉话语之间的内部和内部关系。最后,作为情感分类器的两个线性层使用所有话语获得的特征来预测相应的情感。
特征融合的方式: 简单的concat,论文运用了最简单的融合方式,有在尝试别的融合方式

transfomer层是提取一段对话中,不同语句之间的信息

经过一层transformer之后,融合了信息,就开始建图,进行图学习

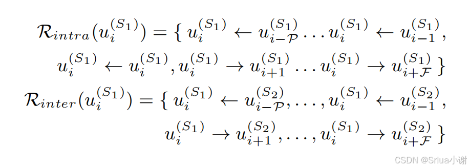
图学习分别进行了图卷积以及,图transformer,图学习的意义在于,更好的捕捉对话中这种一来一回的关系,来融合来自不同短语的情感信息。
最后链接一个分类器就结束了


##transformer层:
def forward(self, text_len_tensor, text_tensor):
if self.use_transformer:
rnn_out = self.transformer_encoder(text_tensor)
rnn_out = self.transformer_out(rnn_out)
else:
packed = pack_padded_sequence(
text_tensor, text_len_tensor, batch_first=True, enforce_sorted=False
)
rnn_out, (_, _) = self.rnn(packed, None)
rnn_out, _ = pad_packed_sequence(rnn_out, batch_first=True)
return rnn_out
##图学习层
class GNN(nn.Module):
def __init__(self, g_dim, h1_dim, h2_dim, args):
super(GNN, self).__init__()
self.num_relations = 2 * args.n_speakers ** 2
self.conv1 = RGCNConv(g_dim, h1_dim, self.num_relations)
self.conv2 = TransformerConv(h1_dim, h2_dim, heads=args.gnn_nheads, concat=True)
self.bn = nn.BatchNorm1d(h2_dim * args.gnn_nheads)
def forward(self, node_features, edge_index, edge_type):
x = self.conv1(node_features, edge_index, edge_type)
x = nn.functional.leaky_relu(self.bn(self.conv2(x, edge_index)))
return x
##分类器:
def forward(self, h, text_len_tensor):
if self.args.dataset == "mosei" and self.args.emotion == "multilabel":
if self.args.use_highway:
h = self.highway(h)
hidden = self.drop(F.relu(self.lin1(h)))
scores = self.lin2(hidden)
# y_hat = torch.sigmoid(scores) > 0.5
y_hat = scores > 0
return y_hat
log_prob = self.get_prob(h, text_len_tensor)
y_hat = torch.argmax(log_prob, dim=-1)
return y_hat处理数据 python preprocess.py --dataset=“iemocap_4”
训练模型 python train.py --dataset=“iemocap_4” --modalities=“atv” --from_begin --epochs=55
测试模型 python eval.py --dataset=“iemocap_4” --modalities=“atv”
下载我训练好模型,以及数据集,附件里有data,modelcheckpoint文件夹,分别替换代码中的文件夹即可,我对每个单独的模态都有训练。

建议在pytorch官方来下载配置pytorch
建议用conda配置环境
如果新手cuda配置不成功,可以在代码: parser.add_argument(“–device”, type=str, default=“cuda”, help=“Computing device.”) 处,把"cuda"改成"cpu"的方式
如果.pt文件无法打开,可以选择重新训练,自己生成模型文件
模型文件有硬件要求,提供的.pt文件都是用cpu训练,如果需要改成cuda版本,需要另外进行训练
