
在房地产市场中,准确地预测房屋价格是至关重要的。过去几十年来,随着数据科学和机器学习的快速发展,各种预测模型被广泛应用于房屋价格预测中。而R语言作为一种强大的数据分析和统计建模工具,被越来越多的研究者和从业者选择用于房屋价格预测(点击文末“阅读原文”获取完整代码数据)。
本文将介绍帮助客户使用R语言软件进行房屋价格预测的几种常见方法,包括回归、LASSO、决策树、随机森林、GBM、神经网络和支持向量机(SVM)。通过这些方法的比较和分析,我们将探讨它们在房屋价格(查看文末了解数据免费获取方式)预测中的优势和不足,并通过可视化的方式展示它们的预测结果。
首先读取数据。
data=read.csv("Amsing.csv")
查看原始数据(直接从Ames评估办公室获得)用于税务评估目的,但本身直接预测房屋售价。
首先查看部分数据,以观看数据中有哪些变量。
head(data)

获取数据的基本统计量。
summary(data)


对房屋面积进行可视化,可以让我们对房屋的面积有一个直观的影响,从而也可以排除掉一部分异常点的影响。


从可视化结果来看,可以发现数据中存在较多的异常数据。可能会影响后续的预测过程,因此将它们去除。
通过查看数据结构,我们可以了解到,哪些数据是数值变量比如房屋面积,总体质量建立年份,哪些数据是因此变量比如街道,土地坡度,房屋状况,哪些数据的因子有哪些。
str(data)


通过绘制相关散点图,我们可以查看数值变量之间存在哪些关系?


线性回归和时间序列分析北京房价影响因素可视化案例

02

03

04

看变量之间的相关系数,我们可以找到相关性高的变量:

从相关系数和散点图来看,我们可以看到,房屋价格 和房屋的总体质量,建立年份,房屋面积,房屋层高 等变量存在相关关系。
然后我们查看数据中是否存在共线性问题
kappa(corr, exact = T)

查看变量之间的boxplot图



正如我们从不同变量之间的箱线图和上面的房屋销售价格中看到的,高销售价格的房屋有更多的卧室、浴室和车库。
正如我们从房屋售价和质量之间的箱线图上看到的,高售价房屋的质量更高。
indices = sample(nrow(data), nrow(data)*0.7)

从回归模型的结果来看,我们可以看到部分变量是显著的,说明他们对房屋的价格,有很大的影响。显著的变量有车库面积,走廊,浴池,总体质量,房屋层高等等。从R方的结果来看,R方等于93%,因此,模型解释了房屋价格大部分的方差,可以说模型的拟合效果非常良好
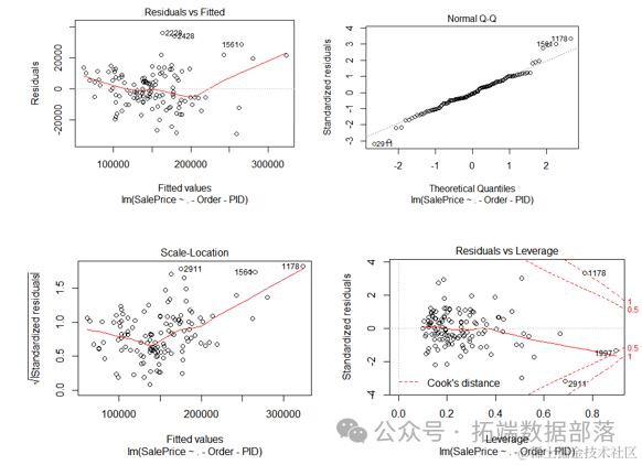
残差表现来看模型的拟合好坏

左上方的图是一个散点图,用于表示拟合值和残差的关系。从图中可以看到,除了第二个异常值外,其余所有点都在纵坐标值-1和+1之间随机分布。
接下来的图是一个散点图,表示拟合值的标准化偏差和残差的关系,其意义与上述相似。右上方的图显示随机误差项服从正态分布,这是因为正态QQ图可以近似视为一条直线。
右下方的图进一步证实了第二个观察值是一个异常值,它对回归方程的影响相对较大。
在建立lasso模型之后,我们绘制误差变化图

绘制系数变化图

LASSO回归复杂度调整的程度由参数λ来控制,λ越大对变量较多的线性模型的惩罚力度就越大,从而最终获得一个变量较少的模型。因此误差最小的点对应选取log(lamda)=9为最优模型。
拟合模型

绘制决策树

从结果来看,房屋的价格主要受到总体质量,走廊,房屋层高,车库等因素影响
一般来说,车库面积越大,总体质量越高,层高越高,那么价格就越高
然后通过得到的决策树模型进行预测得到误差
模型结果

从随机森林模型的结果来看, 一共生成了五百个随机树,房屋价格的方差被解释了76.75%
得到变量,重要性结果

从结果来看,可以得到和决策树类似的结论,可以看到,房屋建立的年份,以及车库面积房屋层高等因素对房屋的价格都有重要的影响。

在得到模型之后,对测试集进行预测,并且得到误差


从模型结果来看,可以得到和决策树随机森林类似的结果。上面是相对重要性变量的图,可以看到建立年份,车库面积,房屋层高对房屋的价格有重要的影响
建立神经网络模型


从结果来看,得到一个三层的神经网络以及641个神经元,得到的结果已经完全converged。因此模型拟合较好,所以对测试集进行预测,并且得到误差结果
用svm建立分类模型
使用回归核函数数据进行支持,向量机建模

从结果来看,可以得到它的最优参数以及支持向量的个数124个。在得到模型结果后,对测试集进行预测,并且得到误差结果。
在对数据进行六个模型建模后,分别得到了每个模型的误差结果,然后我们将所有的误差结果进行汇总,并且比较每个模型的优劣。
测试误差:随机森林最小,回归次之,其他模型较大。准确度:随机森林最优,但训练复杂。效率:回归模型较高。解释度:决策树模型可解释,神经网络不可解释。其他模型需提高准确度。综上,推荐随机森林预测房屋价格。