首页
学习
活动
专区
圈层
工具
发布
首页
学习
活动
专区
圈层
工具
MCP广场
社区首页 >专栏 >【优选算法】二分法(总结套路模板)

【优选算法】二分法(总结套路模板)

作者头像
是预备程序员a
发布2025-03-13 09:00:34
发布2025-03-13 09:00:34
1360
举报
文章被收录于专栏:C++C++

1. 题目一 :二分查找

题目链接-》力扣链接

https://leetcode.cn/problems/binary-search/description/

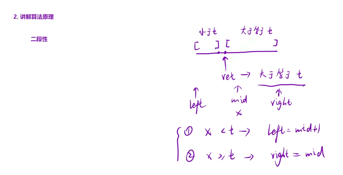
解题思路:

模板总结(简单版,不适用所有情况)

代码实现:

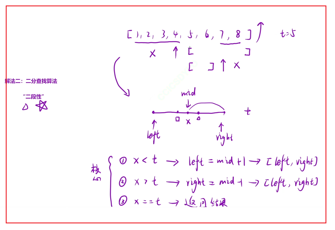
2. 题目二

链接-》

在排序数组中查找元素的第一个和最后一个位置

解题思路:

正确推荐解法:

模板总结(几乎万能)

代码实现:

3. 题目三:x的平方根

链接-》

69. x 的平方根 - 力扣(LeetCode)

https://leetcode.cn/problems/sqrtx/description/

解题思路:

代码实现:

4. 题目四

链接-》

35. 搜索插入位置 - 力扣(LeetCode)

解题思路:

代码实现:

本文参与 腾讯云自媒体同步曝光计划,分享自作者个人站点/博客。
原始发表:2025-03-12,如有侵权请联系 cloudcommunity@tencent.com 删除

本文分享自 作者个人站点/博客 前往查看

如有侵权,请联系 cloudcommunity@tencent.com 删除。

本文参与 腾讯云自媒体同步曝光计划  ,欢迎热爱写作的你一起参与!

评论
登录后参与评论
0 条评论
热度
最新
推荐阅读
目录
  • 1. 题目一 :二分查找
    • 解题思路:
    • 模板总结(简单版,不适用所有情况)
    • 代码实现:
  • 2. 题目二
    • 解题思路:
    • 模板总结(几乎万能)
    • 代码实现:
  • 3. 题目三:x的平方根
    • 解题思路:
    • 代码实现:
  • 4. 题目四
    • 解题思路:
    • 代码实现:
领券
问题归档专栏文章快讯文章归档关键词归档开发者手册归档开发者手册 Section 归档