
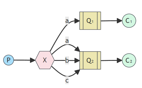
队列和交换机的绑定,不能是任意的绑定了,而是要指定一个 BindingKey (RoutingKey 的一种) 消息的发送方在向 Exchange 发送消息时,也需要指定消息的 RoutingKey
Exchange 也不再把消息交给每一个绑定的 key,而是根据消息的 RoutingKey 进行判断,只有队列绑定时的 BindingKey 和发送消息的 RoutingKey 完全一致,才会接收到消息

BindingKey,是 RoutingKey 的一种routingKey,只是在最新的文档中被改成 BindingKey 了我们通常:
RoutingkeyBindingKey在 Constants 中添加:
// 路由模式
public static final String DIRECT_EXCHANGE = "direct.exchange";
public static final String DIRECT_QUEUE1 = "direct.queue1";
public static final String DIRECT_QUEUE2 = "direct.queue2";和发布订阅模式的区别是:交换机类型不同,绑定队列的 BindingKey 不同
创建交换机,定义交换机类型为 BuiltinExchangeType.DIRECT
channel.exchangeDeclare(Constants.DIRECT_EXCHANGE, BuiltinExchangeType.DIRECT, true);BuiltinExchangeType 一共有四种 DIRECT("direct")FANOUT("fanout")TOPIC("topic")HEADERS("headers")channel.queueDeclare(Constants.DIRECT_QUEUE1, true, false, false, null);
channel.queueDeclare(Constants.DIRECT_QUEUE2, true, false, false, null);// 队列1绑定 a
channel.queueBind(Constants.DIRECT_QUEUE1, Constants.DIRECT_EXCHANGE, "a");
// 队列2 绑定 a, b, c
channel.queueBind(Constants.DIRECT_QUEUE2, Constants.DIRECT_EXCHANGE, "a");
channel.queueBind(Constants.DIRECT_QUEUE2, Constants.DIRECT_EXCHANGE, "b");
channel.queueBind(Constants.DIRECT_QUEUE2, Constants.DIRECT_EXCHANGE, "c");String msg_a = "hello direct, my routingKey is a...";
channel.basicPublish(Constants.DIRECT_EXCHANGE, "a", null, msg_a.getBytes());
String msg_b = "hello direct, my routingKey is b...";
channel.basicPublish(Constants.DIRECT_EXCHANGE, "b", null, msg_b.getBytes());
String msg_c = "hello direct, my routingKey is c...";
channel.basicPublish(Constants.DIRECT_EXCHANGE, "c", null, msg_c.getBytes());RoutingKeypackage rabbitmq.routing;
import com.rabbitmq.client.BuiltinExchangeType;
import com.rabbitmq.client.Channel;
import com.rabbitmq.client.Connection;
import com.rabbitmq.client.ConnectionFactory;
import rabbitmq.constant.Constants;
import java.io.IOException;
import java.util.concurrent.TimeoutException;
import java.util.function.BinaryOperator;
public class Producer {
public static void main(String[] args) throws IOException, TimeoutException {
// 1. 建立连接
ConnectionFactory connectionFactory = new ConnectionFactory();
connectionFactory.setHost(Constants.HOST);
connectionFactory.setPort(Constants.PORT);
connectionFactory.setUsername(Constants.USER_NAME);
connectionFactory.setPassword(Constants.PASSWORD);
connectionFactory.setVirtualHost(Constants.VIRTUAL_HOST);
Connection connection = connectionFactory.newConnection();
// 2. 开启信道
Channel channel = connection.createChannel();
// 3. 声明交换机
channel.exchangeDeclare(Constants.DIRECT_EXCHANGE, BuiltinExchangeType.DIRECT, true);
// 4. 声明队列
channel.queueDeclare(Constants.DIRECT_QUEUE1, true, false, false, null);
channel.queueDeclare(Constants.DIRECT_QUEUE2, true, false, false, null);
// 5. 绑定交换机和队列
channel.queueBind(Constants.DIRECT_QUEUE1, Constants.DIRECT_EXCHANGE, "a");
channel.queueBind(Constants.DIRECT_QUEUE2, Constants.DIRECT_EXCHANGE, "a");
channel.queueBind(Constants.DIRECT_QUEUE2, Constants.DIRECT_EXCHANGE, "b");
channel.queueBind(Constants.DIRECT_QUEUE2, Constants.DIRECT_EXCHANGE, "c");
// 6. 发送消息
String msg_a = "hello direct, my routingKey is a...";
channel.basicPublish(Constants.DIRECT_EXCHANGE, "a", null, msg_a.getBytes());
String msg_b = "hello direct, my routingKey is b...";
channel.basicPublish(Constants.DIRECT_EXCHANGE, "b", null, msg_b.getBytes());
String msg_c = "hello direct, my routingKey is c...";
channel.basicPublish(Constants.DIRECT_EXCHANGE, "c", null, msg_c.getBytes());
System.out.println("消息发送成功!");
// 7. 释放资源
channel.close();
connection.close();
}
}Routing 模式的消费者代码和 Publish/Subscribe 代码一样,同样复制出来两份
Consumer1Consumer2package rabbitmq.routing;
import com.rabbitmq.client.*;
import rabbitmq.constant.Constants;
import java.io.IOException;
import java.util.concurrent.TimeoutException;
public class Consumer1 {
public static void main(String[] args) throws IOException, TimeoutException {
//1. 建立连接
ConnectionFactory connectionFactory = new ConnectionFactory();
connectionFactory.setHost(Constants.HOST);
connectionFactory.setPort(Constants.PORT);
connectionFactory.setUsername(Constants.USER_NAME);
connectionFactory.setPassword(Constants.PASSWORD);
connectionFactory.setVirtualHost(Constants.VIRTUAL_HOST);
Connection connection = connectionFactory.newConnection();
//2. 建立信道
Channel channel = connection.createChannel();
//3. 声明队列
channel.queueDeclare(Constants.DIRECT_QUEUE1, true, false, false, null);
//4. 消费信息
DefaultConsumer consumer = new DefaultConsumer(channel){
@Override
public void handleDelivery(String consumerTag, Envelope envelope, AMQP.BasicProperties properties, byte[] body) throws IOException {
System.out.println("接收到消息:" + new String(body));
}
};
channel.basicConsume(Constants.DIRECT_QUEUE1, true, consumer);
}
}
direct.queue1 队列中,路由了一条消息direct.queue2 队列中,路由了两条消息
Consumer1:
接收到消息:hello direct, my routingKey is a...Consumer2:
接收到消息:hello direct, my routingKey is a...
接收到消息:hello direct, my routingKey is b...
接收到消息:hello direct, my routingKey is c...Topics 和 Routing 模式的区别是:
Topics 模式使用的交换机类型是 topic(Routing 模式用的交换机类型为 direct)topic 类型的交换机在匹配规则上进行了扩展,Binding Key 支持通配符匹配(direct 类型的交换机路由规则是 BindingKey 和 RoutingKey 完全匹配)
在 Topic 类型的交换机在匹配规则上,有一些要求:
RoutingKey 是由一系列由点(.) 分隔的单词,比如“stock.sd.nyse”, “nyse.vmw”, “quick.orange.rabbit”BindingKey 和 RoutingKey 一样,也是点(.) 分割的字符串BindingKey 中可以存在两种特殊的字符串,用于模糊匹配 * 表示一个单词# 表示多个单词(0-N个)比如:
Binding Key 为“d.a.b”会同时路由到 Q1 和 Q2Binding Key 为“d.a.f”会路由到 Q1Binding Key 为“c.e.f”会路由到 Q2Binding Key 为“d.b.f”会被丢弃,或者返回给生产者(需要设置 mandatory)public static final String TOPIC_EXCHANGE = "topic.exchange";
public static final String TOPIC_QUEUE1 = "topic.queue1";
public static final String TOPIC_QUEUE2 = "topic.queue2";和路由模式,发布订阅模式的区别是:交换机类型不同,绑定队列的 RoutingKey 不同
定义交换机类型为 BuiltinExchangeType.TOPIC
channel.exchangeDeclare(Constants.TOPIC_EXCHANGE, BuiltinExchangeType.TOPIC, true);channel.queueDeclare(Constants.TOPIC_QUEUE1, true, false, false, null);
channel.queueDeclare(Constants.TOPIC_QUEUE2, true, false, false, null);channel.queueBind(Constants.TOPIC_QUEUE1, Constants.TOPIC_EXCHANGE, "*.a.*");
channel.queueBind(Constants.TOPIC_QUEUE2, Constants.TOPIC_EXCHANGE, "*.*.b");
channel.queueBind(Constants.TOPIC_QUEUE2, Constants.TOPIC_EXCHANGE, "c.#");String msg_a = "hello topic, my routingkey is ae.a.f...";
channel.basicPublish(Constants.TOPIC_EXCHANGE, "ae.a.f", null, msg_a.getBytes()); // 转发到 Q1
String msg_b = "hello topic, my routingkey is ef.a.b...";
channel.basicPublish(Constants.TOPIC_EXCHANGE, "ef.a.b", null, msg_b.getBytes()); // 转发到 Q1 和 Q2
String msg_c = "hello topic, my routingkey is c.ef.d...";
channel.basicPublish(Constants.TOPIC_EXCHANGE, "c.ef.d", null, msg_c.getBytes()); // 转发到 Q2package rabbitmq.topic;
import com.rabbitmq.client.BuiltinExchangeType;
import com.rabbitmq.client.Channel;
import com.rabbitmq.client.Connection;
import com.rabbitmq.client.ConnectionFactory;
import rabbitmq.constant.Constants;
import java.io.IOException;
import java.util.concurrent.TimeoutException;
public class Producer {
public static void main(String[] args) throws IOException, TimeoutException {
//1. 建立连接
ConnectionFactory connectionFactory = new ConnectionFactory();
connectionFactory.setHost(Constants.HOST);
connectionFactory.setPort(Constants.PORT);
connectionFactory.setUsername(Constants.USER_NAME);
connectionFactory.setPassword(Constants.PASSWORD);
connectionFactory.setVirtualHost(Constants.VIRTUAL_HOST);
Connection connection = connectionFactory.newConnection();
//2. 开启信道
Channel channel = connection.createChannel();
//3.声明交换机
channel.exchangeDeclare(Constants.TOPIC_EXCHANGE, BuiltinExchangeType.TOPIC, true);
//4. 声明队列
channel.queueDeclare(Constants.TOPIC_QUEUE1, true, false, false, null);
channel.queueDeclare(Constants.TOPIC_QUEUE2, true, false, false, null);
//5. 绑定交换机和队列
channel.queueBind(Constants.TOPIC_QUEUE1, Constants.TOPIC_EXCHANGE, "*.a.*");
channel.queueBind(Constants.TOPIC_QUEUE2, Constants.TOPIC_EXCHANGE, "*.*.b");
channel.queueBind(Constants.TOPIC_QUEUE2, Constants.TOPIC_EXCHANGE, "c.#");
//6. 发送消息
String msg_a = "hello topic, my routingkey is ae.a.f...";
channel.basicPublish(Constants.TOPIC_EXCHANGE, "ae.a.f", null, msg_a.getBytes()); // 转发到 Q1
String msg_b = "hello topic, my routingkey is ef.a.b...";
channel.basicPublish(Constants.TOPIC_EXCHANGE, "ef.a.b", null, msg_b.getBytes()); // 转发到 Q1 和 Q2
String msg_c = "hello topic, my routingkey is c.ef.d...";
channel.basicPublish(Constants.TOPIC_EXCHANGE, "c.ef.d", null, msg_c.getBytes()); // 转发到 Q2
System.out.println("消息发送成功");
//7. 释放资源
channel.close();
connection.close();
}
}消费者代码和 Routing 模式的一样,只要修改消费队列的名称即可
package rabbitmq.topic;
import com.rabbitmq.client.*;
import rabbitmq.constant.Constants;
import java.io.IOException;
import java.util.concurrent.TimeoutException;
public class Consumer2 {
public static void main(String[] args) throws IOException, TimeoutException {
//1. 建立连接
ConnectionFactory connectionFactory = new ConnectionFactory();
connectionFactory.setHost(Constants.HOST);
connectionFactory.setPort(Constants.PORT);
connectionFactory.setUsername(Constants.USER_NAME);
connectionFactory.setPassword(Constants.PASSWORD);
connectionFactory.setVirtualHost(Constants.VIRTUAL_HOST);
Connection connection = connectionFactory.newConnection();
//2. 开启信道
Channel channel = connection.createChannel();
//3. 声明队列
channel.queueDeclare(Constants.TOPIC_QUEUE2, true, false, false, null);
//4. 消费消息
DefaultConsumer consumer = new DefaultConsumer(channel) {
@Override
public void handleDelivery(String consumerTag, Envelope envelope, AMQP.BasicProperties properties, byte[] body) throws IOException {
System.out.println("接收到消息:" + new String(body));
}
};
channel.basicConsume(Constants.TOPIC_QUEUE2, true, consumer);
}
}
Consumer1接收到消息:hello topic, my routingkey is ae.a.f...
接收到消息:hello topic, my routingkey is ef.a.b...Consumer2接收到消息:hello topic, my routingkey is ef.a.b...
接收到消息:hello topic, my routingkey is c.ef.d...