首页
学习
活动
专区
圈层
工具
发布
首页
学习
活动
专区
圈层
工具
MCP广场
社区首页 >专栏 >全球首个精细梯田地块数据集GTPBD发布:为梯田遥感研究填补空白(附数据地址)

全球首个精细梯田地块数据集GTPBD发布:为梯田遥感研究填补空白(附数据地址)

原创
作者头像
CoovallyAIHub
发布2025-09-29 09:37:46
发布2025-09-29 09:37:46
10300
代码可运行
举报
运行总次数:0
代码可运行

首次覆盖全球主要梯田区域,包含20多万个复杂梯田地块的人工标注数据。梯田,被誉为"大地的脊梁",不仅是壮丽的自然景观,更是支撑全球数亿山区人口生计的重要农业生产系统。然而,由于梯田地形复杂、边界不规则,现有的农业地块数据集大多只适用于平坦农田,难以满足梯田精准分析的需求。

近日,来自中山大学、清华大学、香港大学等机构的研究团队推出了全球首个精细梯田地块与边界数据集GTPBD,为这一领域带来了突破性进展。


现有数据集的三大局限

目前主流的农业地块数据集主要存在以下问题:

  • 地形单一:多数数据集集中于规则平坦的农田,缺乏对复杂梯田地形的覆盖
  • 标注粗糙:仅提供二分类掩码标签,无法区分相邻梯田的共享边界与非共享边界
  • 任务简单:大多只支持简单的语义分割任务,未考虑模型的跨域迁移能力

GTPBD数据集的核心优势

screenshot_2025-09-28_16-16-09.png
screenshot_2025-09-28_16-16-09.png
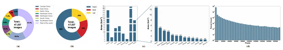
  • 全球覆盖:数据集包含47,537张高分辨率遥感图像,覆盖中国七大地理区域和全球跨气候带地区,总面积达885平方公里,其中山地梯田占比超过80%
screenshot_2025-09-28_16-18-01.png
screenshot_2025-09-28_16-18-01.png
screenshot_2025-09-28_16-18-10.png
screenshot_2025-09-28_16-18-10.png
  • 精细标注:首次提供三层标注体系——像素级边界标签、掩码标签和地块标签,满足不同粒度研究需求
screenshot_2025-09-28_16-17-49.png
screenshot_2025-09-28_16-17-49.png
  • 多任务支持:适用于语义分割、边缘检测、梯田地块提取和无监督域自适应四大任务
  • 高质量数据:所有图像均来自2021-2025年间无云梯田区域,分辨率高达0.1-1米,确保数据清晰度和时效性

全面基准测试结果

研究团队在GTPBD上系统评估了20种主流算法:

  • 语义分割:Mask2Former在召回率和IoU上表现最佳,达到94.25%和69.91%
  • 边缘检测:REAUNet-Sober在各项指标上全面领先,ODS F1分数达65.06%
  • 地块提取:REAUNet在对象级几何指标上表现最优,GUC误差最低
  • 域自适应:PiPa方法在结合边界信息后,在像素级和对象级指标上均取得最佳性能
screenshot_2025-09-28_16-19-43.png
screenshot_2025-09-28_16-19-43.png
screenshot_2025-09-28_16-20-40.png
screenshot_2025-09-28_16-20-40.png

重要意义与应用前景

GTPBD的发布填补了梯田遥感研究领域的数据空白,为以下应用提供了关键基础设施:

  • 精准农业:支持梯田作物监测和产量预估
  • 生态保护:助力土壤侵蚀监测和生态评估
  • 土地管理:为土地所有权登记提供技术支撑
  • 算法研究:推动复杂地形下的计算机视觉算法发展

研究团队已公开数据集和代码,希望推动全球梯田研究的进一步发展。这一数据集不仅服务于科学研究,更将为山区农业可持续发展和粮食安全提供重要技术支撑。


论文及数据集地址

代码语言:javascript
代码运行次数:0
运行
复制
论文链接:https://arxiv.org/abs/2507.14697
数据集链接:https://github.com/Z-ZM-WXQ/GTPBG/

原创声明:本文系作者授权腾讯云开发者社区发表,未经许可,不得转载。

如有侵权,请联系 cloudcommunity@tencent.com 删除。

原创声明:本文系作者授权腾讯云开发者社区发表,未经许可,不得转载。

如有侵权,请联系 cloudcommunity@tencent.com 删除。

评论
登录后参与评论
0 条评论
热度
最新
推荐阅读
目录
  • 现有数据集的三大局限
  • GTPBD数据集的核心优势
  • 全面基准测试结果
  • 重要意义与应用前景
  • 论文及数据集地址
领券
问题归档专栏文章快讯文章归档关键词归档开发者手册归档开发者手册 Section 归档