首页
学习
活动
专区
圈层
工具
发布
首页
学习
活动
专区
圈层
工具
MCP广场
社区首页 >专栏 >(JAVA)有向图与拓扑排序的实现原理与基本实现

(JAVA)有向图与拓扑排序的实现原理与基本实现

作者头像
用户11865655
发布2025-10-13 16:23:35
发布2025-10-13 16:23:35
5200
代码可运行
举报
文章被收录于专栏:CSDN专栏CSDN专栏
运行总次数:0
代码可运行

1. 有向图

生活中,很多应用相关的图都是由方向性的,最直观的就是网络,可以从A页面通过连接跳转到B页面,那么a和b连接的方向是 a>b,但不能说b<a,此时我们就需要使用有向图来解决这一类问题。

1.1 有向图的定义及相关术语

1.1.1 定义

有向图是一副具有方向性的图,是由一组顶点和一组有方向的边组成的,每条方向的边都连着一对有序的灌顶啊

1.1.2 相关术语

出度:

  • 由某个顶点指出的边的个数称为该顶点的出度

入度:

  • 指向某个顶点的边的个数称为该顶点的入度

有向路径:

  • 由一系列顶点组成,对于其中的某个顶点都存在一条有向边,从它指向序列中的下一个顶点

有向环:

  • 一条至少含有一条边,且起点和终点相通的有向路径

一副有向图中两个顶点v和w可能存在以下四种关系:

  1. 没有边相连;
  2. 存在从v到w的边
  3. 存在从w到v的边
  4. 既存在w到v的边,也存在v到w的边,即双向链接

理解有向图是比较简单的,但如果要通过眼睛看出复杂有向图中的路径就不是那么容易了

1.2 有向图的API设计

类名

Digraph

构造方法

Digraph(int V):创建一个包含V个顶点但不包含边的有向图

成员方法

1. public int V():获取图中顶点的数量2. public int E():获取图中边的数量3. public void addEdge(int v,int w):向有向图中添加一条边4. public Queue<Integer> adj(int v):获取由v指出的边所连接的所有顶点5. private Digraph reverse():该图的反向图

成员变量

1. private final int V:记录顶点数量2. private int E:记录边数量3. private Queue<Integer>[] adj:邻接表

在api中涉及了一个反向图,其因为有向图的实现中,用adj方法获取出来的是由当前顶点v指向的其他顶点,如果能得到其反向图,就可以很容易得到指向v的其他顶点

2. 拓扑排序

对图中的定的顶点进行排序,让它转换为一个线性序列,就可以解决问题,而这种将图中顶点转换的算法称为:拓扑算法

2.1 检测有向图中的环

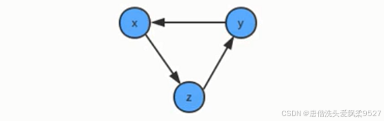
如果学习x课程前必须先学习y课程,学习y课程必须先学习z课程,学习z课程前必须先学习x课程,那么一定是有问题了,我们就没办法学习了,因为这三个条件没有办法同时满足。这样三门课程的学习过程就组成了一个环:

因此,如果我们要使用拓扑排序解决优先级问题,首先得保证图中没有环的存在

2.1.1 检测有向环的API设计

类名

DirectedCycle

构造方法

DirectedCycle(Digraph G):创建一个检测环对象,检测图G中是否有环

成员方法

1. private void dfs(Digraph G,int V):基于深度优先搜索,检测图G中是否有环2. public boolean hasCycle():判断图中是否有环

成员变量

1. private boolean[] marked:索引代表顶点,值表示当前顶点是否已经被搜索2. private boolean hasCycle:记录图中是否有环3. private boolean[] onStack:索引代表顶点,使用栈的思想,记录当前顶点有没有已经处于正在搜索的有向路径上

2.1.2 检测有向环的实现

在API中添加了onStack[] 布尔数组,索引为图的顶点,当我们深度搜索时:

  1. 在如果当前顶点正在搜索,则把对于的onStack数组中的值改为true,标识压栈;
  2. 如果当前顶点搜索完毕,则把对于的onStack数组中的值改为false,标识弹栈;
  3. 如果即将要搜索某个顶点,但该顶点已经在栈中,则图中有环;

2.2 基于深度优先搜索的顶点排序

如果要把图中的顶点生成线性序列其实是一件非常简单的事。

深度优先搜索有一个特点,那就是在一个连通子图上,每个顶点只会被搜索一次,如果我们能在深度优先搜索的基础上,添加一行代码只需要将搜索的顶点放入到线性序列的数据结构中,我们就能完成这件事

2.2.1 顶点排序API设计

类名

DepthFirstOrder

构造方法

DepthFirstOrder(Digraph G):创建一个顶点排序对象,生成顶点线性序列

成员方法

1. private void dfs(Digraph G,int V):基于深度优先搜索,生成顶点线性序列2. public Stack<Integer> reversePost():获取顶点线性序列

成员变量

1. private boolean[] marked:索引代表顶点,值标识当前顶点是否已经被搜索2. private Stack<Integer> reversePost:使用栈,存储顶点序列

2.2.2 顶点排序实现

在API的设计中,我们添加了一个栈erverrsePost用来存储顶点,当我们深度搜索图时,每搜索完一个顶点,把该顶点放入到reversePost中,这样就可以实现顶点排序

2.3 拓扑排序的实现

实现了环的检测以及顶点排序,那么拓扑排序就很简单了,基于一幅图,先检测有没有环,如果没有环,则调用顶点排序即可

2.3.1 API设计

类名

TopoLogical

构造方法

TopoLogical(Digraph G):构造拓扑排序对象

成员方法

1. public boolean isCycle():判断图G是否有环2. public Stack<Integer> order():获取拓扑排序的所有顶点

成员变量

1. private Stack<Integer> order:顶点的拓扑排序

2.3.2 实现代码
代码语言:javascript
代码运行次数:0
运行
复制
package com.renecdemo.graph;

import java.util.Stack;

// 拓扑排序
public class TopoLogical {
    private Stack<Integer> order;

    public TopoLogical(Digraph G) {
        // 创建一个检测有向环的对象
        DirectedCycle cycle = new DirectedCycle(G);

        if (!cycle.hasCycle()){
            // 使用有向图的顶点排序进行排序,得到排序后的栈
            DepthFirstOrder depthFirstOrder = new DepthFirstOrder(G);
            order = depthFirstOrder.reversePost();
        }
    }

    public boolean isCycle(){
        return order == null;
    }
    public Stack<Integer> order(){
        return order;
    }
}

顶点排序

代码语言:javascript
代码运行次数:0
运行
复制
public class DepthFirstOrder {
   // 索引代表顶点,值标识当前顶点是否已经被搜索
   private boolean[] marked;
   // 使用栈,存储顶点序列
   private Stack<Integer> reversePost;

   // 初始化
   public DepthFirstOrder(Digraph G) {
       this.marked = new boolean[G.V()];
       this.reversePost = new Stack<>();

       // 遍历图中的每个顶点,让每个顶点作为入口,完成一次深度优先搜索
       for (int v = 0; v < G.V(); v++) {
           // 判断顶点是否被搜索,没有则深度优先搜索
           if (!marked[v]){
               dfs(G,v);
           }
       }
   }

   /**
    * 深度优先搜索
    * @param G 搜索所在的图
    * @param v 搜索的顶点
    */
   private void dfs(Digraph G,int v){
       // 标记v顶点已搜索
       marked[v] = true;

       // 循环深度搜索顶点v
       for (Integer w : G.adj(v)) {
           if (!marked[w])
           {
               dfs(G,w);
           }
       }
       // 每次搜索,搜索完成的顶点都压入栈中
       reversePost.push(v);
   }

   /**
    * 返回栈
    */
   public Stack<Integer> reversePost(){
       return reversePost;
   }


}

3. 前置文章

  1. 浅入数据结构 “堆” - 实现和理论
  2. 开始熟悉 “二叉树” 的数据结构
  3. 队列 和 符号表 两种数据结构的实现
  4. 队列的进阶结构-优先队列
  5. 2-3树思想与红黑树的实现与基本原理
  6. B树和B+树的实现原理阐述
  7. 图的基本原理和API实现

4. ES8 如何使用?

快来看看这篇好文章吧~~!! 😊👉(全篇详细讲解)ElasticSearch8.7 搭配 SpringDataElasticSearch5.1 的使用

本文参与 腾讯云自媒体同步曝光计划,分享自作者个人站点/博客。
原始发表:2024-10-19,如有侵权请联系 cloudcommunity@tencent.com 删除

本文分享自 作者个人站点/博客 前往查看

如有侵权,请联系 cloudcommunity@tencent.com 删除。

本文参与 腾讯云自媒体同步曝光计划  ,欢迎热爱写作的你一起参与!

评论
登录后参与评论
0 条评论
热度
最新
推荐阅读
目录
  • 1. 有向图
    • 1.1 有向图的定义及相关术语
      • 1.1.1 定义
      • 1.1.2 相关术语
    • 1.2 有向图的API设计
  • 2. 拓扑排序
    • 2.1 检测有向图中的环
      • 2.1.1 检测有向环的API设计
      • 2.1.2 检测有向环的实现
    • 2.2 基于深度优先搜索的顶点排序
      • 2.2.1 顶点排序API设计
      • 2.2.2 顶点排序实现
    • 2.3 拓扑排序的实现
      • 2.3.1 API设计
      • 2.3.2 实现代码
  • 3. 前置文章
  • 4. ES8 如何使用?
领券
问题归档专栏文章快讯文章归档关键词归档开发者手册归档开发者手册 Section 归档