🔥个人主页:@草莓熊Lotso 🎬作者简介:C++研发方向学习者 📖个人专栏: 《C语言》 《数据结构与算法》《C语言刷题集》《Leetcode刷题指南》 ⭐️人生格言:生活是默默的坚持,毅力是永久的享受。
前言:在前面几篇博客中,我们实现了单链表,但是我们的链表其实并不止有单链表这一种形式,严格来说,单链表应该是叫不带头单向不循环链表。那么这篇文章,主要是给大家分享一下链表的分类以及双向链表实现的部分内容,实现形式依旧和之前一样。
--链表的结构非常多样,总共能组合出来8种

我们来一起了解一下这些特性吧

双向链表分为前驱节点和后继节点,不仅能找到当前节点的下一个节点还可以找到上一个节点,使用起来也是很方便的。

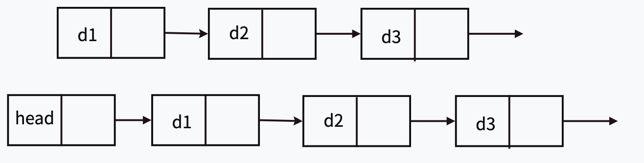
带头链中的头节点,不存储任何有效数据,只用来站岗放哨,我们也称之为"哨兵位"
在之前的单链表学习中,我们有时候也会把第一个节点表述为头节点,其实这个称呼是不严谨的只是为了方便理解。

循环链表的尾节点不会指向空,而是指向了第一个节点
虽然有这么多的链表结构,但我们实际中最常用的其实还是两种:单链表(不带头单向不循环链表)和双向链表(带头双向循环链表) ,那我们一起来继续学习双向链表吧

双向链表中由一个一个的节点组成,这里的节点有三个组成部分,定义我们放在.h文件中
typedef int LTDataType;
typedef struct ListNode
{
LTDataType data;
//前驱指针,指向前一个指针
struct ListNode* prev;
//后继指针,指向后一个指针
struct ListNode* next;
}ListNode;--我们在双向链表中哨兵位的头节点是需要初始化一下的,数据随便给个不用的,然后前驱指针和后继指针都指向自己就可以了,具体操作如下所示:
//头节点初始化
void LTInit(ListNode** pphead)
{
ListNode* ph = (ListNode*)malloc(sizeof(ListNode));
if (ph==NULL)
{
perror("malloc fail!");
exit(1);
}
*pphead = ph;
(*pphead)->data = -1;//随便给个不用的就行
(*pphead)->prev = *pphead;
(*pphead)->next = *pphead;
}--这里需要用二级指针是因为我们修改了形参且需要改变实参,把原来的空变成哨兵位。
--利用调试发现初始化没有问题

#pragma once
#include<stdio.h>
#include<stdlib.h>
#include<assert.h>
typedef int LTDataType;
typedef struct ListNode
{
LTDataType data;
//前驱指针,指向前一个指针
struct ListNode* prev;
//后继指针,指向后一个指针
struct ListNode* next;
}ListNode;
//初始化头节点
void LTInit(ListNode** pphead);#include"List.h"
//头节点初始化
void LTInit(ListNode** pphead)
{
ListNode* ph = (ListNode*)malloc(sizeof(ListNode));
if (ph==NULL)
{
perror("malloc fail!");
exit(1);
}
*pphead = ph;
(*pphead)->data = -1;//随便给个不用的就行
(*pphead)->prev = *pphead;
(*pphead)->next = *pphead;
}#include"List.h"
void test1()
{
ListNode* plist = NULL;
LTInit(&plist);
}
int main()
{
test1();
return 0;
}往期回顾:
结语:这篇博客中为大家简单介绍了下双向链表,实现了一下哨兵位头节点的初始化,再次提醒一下,大家一定要注意啥时候用一级指针,啥时候用二级指针。在下篇博客中,博主会继续和大家一起实现双向链表中的一些其它接口,如果文章对你有帮助的话,欢迎评论,点赞,收藏加关注,感谢大家的支持。