二叉树遍历是按照某种特定的规则,依次对二叉树中的结点进行相应的操作,并且每个结点只操作一次。
前序遍历(Preorder Traversal也叫先序遍历)——根、左子树、右子树。属于DFS(深度优先遍历)。空用N表示。

// 前序遍历空用N表示
void PrevOrder(BTNode* root)
{
if (root == NULL)
{
printf("N ");
return;
}
printf("%d ", root->_data);
PrevOrder(root->_left);
PrevOrder(root->_right);
}
// 前序遍历不打印空
void PrevOrder(BTNode* root)
{
if (root)
{
printf("%d ", root->_data);
PrevOrder(root->_left);
PrevOrder(root->_right);
}
}

中序遍历(Inorder Traversal)——左子树、根、右子树。空用N表示。

// 中序遍历空用N表示
void InOrder(BTNode* root)
{
if (root == NULL)
{
printf("N ");
return;
}
InOrder(root->_left);
printf("%d ", root->_data);
InOrder(root->_right);
}后序遍历(Postorder Traversal)——左子树、右子树、根。空用N表示。

// 后序遍历空用N表示
void PostOrder(BTNode* root)
{
if (root == NULL)
{
printf("N ");
return;
}
PostOrder(root->_left);
PostOrder(root->_right);
printf("%d ", root->_data);
}设二叉树的根结点所在层数为1,层序遍历就是从所在二叉树的根结点出发,首先访问第一层的树根结点,然后从左到右访问第2层上的结点,接着是第三层的结点,以此类推,自上而下,自左至右逐层访问树的结点的过程就是层序遍历。层序遍历是非递归遍历。属于BFS(广度优先遍历)。

需要用到队列的代码,可以将之前写的代码拷贝过来(源代码->添加->现有项)。
// 层序遍历
#include"Queue.h"
void TreeLevelOrder(BTNode* root)
{
Queue q;
QueueInit(&q);
if (root)
QueuePush(&q, root);
while (!QueueEmpty(&q))
{
BTNode* front = QueueFront(&q);
QueuePop(&q);
printf("%d ", front->_data);
if (front->_left)
QueuePush(&q, front->_left);
if (front->_right)
QueuePush(&q, front->_right);
}
QueueDestroy(&q);
}其中Queue.h文件中要修改:
typedef struct BinaryTreeNode* QDataType;//要使用原生类型// 二叉树结点个数(错误示范)
int TreeSize(BTNode* root)
{
static int size = 0;//静态
if (root == NULL)
return 0;
else
++size;
TreeSize(root->_left);
TreeSize(root->_right);
return size;//打印结果会累加
}正确写法:递归遍历思路
// 二叉树结点个数,方法一
int size = 0;
int TreeSize(BTNode* root)
{
if (root == NULL)
return 0;
else
++size;
TreeSize(root->_left);
TreeSize(root->_right);
return size;
}
int main()
{
BTNode* root = CreatBinaryTree();
size = 0;
printf("二叉树结点个数:%d\n", TreeSize(root));
size = 0;
printf("二叉树结点个数:%d\n", TreeSize(root));
return 0;
}
// 二叉树结点个数,方法二
int TreeSize(BTNode* root, int* psize)
{
if (root == NULL)
return 0;
else
++(*psize);
TreeSize(root->_left, psize);
TreeSize(root->_right, psize);
return *psize;//可以不要返回值
}
int main()
{
BTNode* root = CreatBinaryTree();
int size = 0;
printf("二叉树结点个数:%d\n", TreeSize(root, &size));
size = 0;
printf("二叉树结点个数:%d\n", TreeSize(root, &size));
return 0;
}分治(分而治之)递归思路:

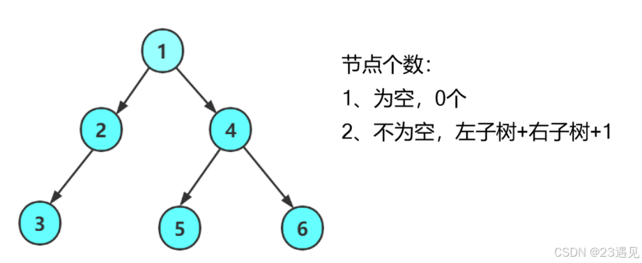
// 二叉树结点个数,方法三
int TreeSize(BTNode* root)
{
return root == NULL ? 0 : TreeSize(root->_left) + TreeSize(root->_right) + 1;
}
int main()
{
BTNode* root = CreatBinaryTree();
printf("TreeSize:%d\n", TreeSize(root));
return 0;
}int TreeLeafSize(BTNode* root)
{
if (root == NULL)
return 0;
if (root->_left == NULL && root->_right == NULL)//只有一个叶子
return 1;
return TreeLeafSize(root->_left) + TreeLeafSize(root->_right);
}为空是0,不为空就是左子树高度和右子树高度中大的加1。
//方法一:
int fmax(int x, int y)
{
return x > y ? x : y;
}
int TreeHeight(BTNode* root)
{
if (root == NULL)
return 0;
return fmax(TreeHeight(root->left), TreeHeight(root->right)) + 1;
}//方法二:
int TreeHeight(BTNode* root)
{
if (root == NULL)
return 0;
int leftHeight = TreeHeight(root->_left);
int rightHeight = TreeHeight(root->_right);
return leftHeight > rightHeight ? leftHeight + 1 : rightHeight + 1;
}LCR 175. 计算二叉树的深度 - 力扣(LeetCode)下面代码OJ过不了,效率问题
//OJ不能通过
int TreeHeight(BTNode* root)
{
if (root == NULL)
return 0;
return leftHeight > rightHeight ? leftHeight + 1 : rightHeight + 1;
}
int TreeLevelKSize(BTNode* root, int k)
{
if (root == NULL)
return 0;
if (k == 1)
return 1;
// 子问题
return TreeLevelKSize(root->_left, k - 1) + TreeLevelKSize(root->_right, k - 1);
}若有多个值为x的节点,返回第一次找到的节点,因为找到值为x的节点就不会再往下找了(若左子树找到值为x的节点,就不会再找右子树的节点)。
BTNode* TreeFind(BTNode* root, BTDataType x)
{
if (root == NULL)
return NULL;
if (root->_data == x)
return root;
BTNode* ret1 = TreeFind(root->_left, x);
if (ret1)
return ret1;
BTNode* ret2 = TreeFind(root->_right, x);
if (ret2)
return ret2;
return NULL;
}如果是空树,不需要销毁。
使用后序遍历,先销毁左子树,在销毁右子树,最后释放根结点。
void TreeDestory(BTNode* root)
{
if (root == NULL)
return;
TreeDestory(root->_left);
TreeDestory(root->_right);
free(root);
}①层序遍历走,空也进队列;
②遇到第一个空节点时,开始判断,后面全空就是完全二叉树,后面有非空就不是完全二叉树。

bool TreeComplete(BTNode* root)
{
Queue q;
QueueInit(&q);
if (root)
QueuePush(&q, root);
while (!QueueEmpty(&q))
{
BTNode* front = QueueFront(&q);
QueuePop(&q);
// 遇到第一个空,就可以开始判断,如果队列中还有非空,就不是完全二叉树
if (front == NULL)
{
break;
}
QueuePush(&q, front->_left);
QueuePush(&q, front->_right);
}
while (!QueueEmpty(&q))
{
BTNode* front = QueueFront(&q);
QueuePop(&q);
// 如果有非空,就不是完全二叉树
if (front)
{
QueueDestroy(&q);
return false;
}
}
QueueDestroy(&q);
return true;
}#include<stdio.h>
#include<stdlib.h>
#include<stdbool.h>
typedef int BTDataType;
typedef struct BinaryTreeNode
{
BTDataType _data;
struct BinaryTreeNode* _left;
struct BinaryTreeNode* _right;
}BTNode;
BTNode* BuyNode(int x)
{
BTNode* node = (BTNode*)malloc(sizeof(BTNode));
if (node == NULL)
{
perror("malloc fail");
return NULL;
}
node->_data = x;
node->_left = NULL;
node->_right = NULL;
return node;
}
BTNode* CreatBinaryTree()
{
BTNode* node1 = BuyNode(1);
BTNode* node2 = BuyNode(2);
BTNode* node3 = BuyNode(3);
BTNode* node4 = BuyNode(4);
BTNode* node5 = BuyNode(5);
BTNode* node6 = BuyNode(6);
node1->_left = node2;
node1->_right = node4;
node2->_left = node3;
node4->_left = node5;
node4->_right = node6;
return node1;
}
// 前序遍历空用N表示
void PrevOrder(BTNode* root)
{
if (root == NULL)
{
printf("N ");
return;
}
printf("%d ", root->_data);
PrevOrder(root->_left);
PrevOrder(root->_right);
}
// 中序遍历空用N表示
void InOrder(BTNode* root)
{
if (root == NULL)
{
printf("N ");
return;
}
InOrder(root->_left);
printf("%d ", root->_data);
InOrder(root->_right);
}
// 后序遍历空用N表示
void PostOrder(BTNode* root)
{
if (root == NULL)
{
printf("N ");
return;
}
PostOrder(root->_left);
PostOrder(root->_right);
printf("%d ", root->_data);
}
// 二叉树结点个数
int TreeSize(BTNode* root)
{
return root == NULL ? 0 : TreeSize(root->_left) + TreeSize(root->_right) + 1;
}
// 二叉树叶子结点个数
int TreeLeafSize(BTNode* root)
{
if (root == NULL)
return 0;
if (root->_left == NULL && root->_right == NULL)//只有一个叶子
return 1;
return TreeLeafSize(root->_left) + TreeLeafSize(root->_right);
}
// 二叉树的高度:为空是0,不为空就是左子树高度和右子树高度大的加1
int TreeHeight(BTNode* root)
{
if (root == NULL)
return 0;
int leftHeight = TreeHeight(root->_left);
int rightHeight = TreeHeight(root->_right);
return leftHeight > rightHeight ? leftHeight + 1 : rightHeight + 1;
}
// 二叉树第k层节点个数
int TreeLevelKSize(BTNode* root, int k)
{
if (root == NULL)
return 0;
if (k == 1)
return 1;
return TreeLevelKSize(root->_left, k - 1) + TreeLevelKSize(root->_right, k - 1);
}
// 二叉树查找值为x的节点
BTNode* TreeFind(BTNode* root, BTDataType x)
{
if (root == NULL)
return NULL;
if (root->_data == x)
return root;
BTNode* ret1 = TreeFind(root->_left, x);
if (ret1)
return ret1;
//return TreeFind(root->_right, x);
BTNode* ret2 = TreeFind(root->_right, x);
if (ret2)
return ret2;
return NULL;
}
// 二叉树销毁
void TreeDestory(BTNode* root)
{
if (root == NULL)
return;
TreeDestory(root->_left);
TreeDestory(root->_right);
free(root);
}
// 层序遍历
#include"Queue.h"
void TreeLevelOrder(BTNode* root)
{
Queue q;
QueueInit(&q);
if (root)
QueuePush(&q, root);
while (!QueueEmpty(&q))
{
BTNode* front = QueueFront(&q);
QueuePop(&q);
printf("%d ", front->_data);
if (front->_left)
QueuePush(&q, front->_left);
if (front->_right)
QueuePush(&q, front->_right);
}
QueueDestroy(&q);
}
// 判断二叉树是否是完全二叉树
bool TreeComplete(BTNode* root)
{
Queue q;
QueueInit(&q);
if (root)
QueuePush(&q, root);
while (!QueueEmpty(&q))
{
BTNode* front = QueueFront(&q);
QueuePop(&q);
// 遇到第一个空,就可以开始判断,如果队列中还有非空,就不是完全二叉树
if (front == NULL)
{
break;
}
QueuePush(&q, front->_left);
QueuePush(&q, front->_right);
}
while (!QueueEmpty(&q))
{
BTNode* front = QueueFront(&q);
QueuePop(&q);
// 如果有非空,就不是完全二叉树
if (front)
{
QueueDestroy(&q);
return false;
}
}
QueueDestroy(&q);
return true;
}
int main()
{
BTNode* root = CreatBinaryTree();
PrevOrder(root);
printf("\n");
InOrder(root);
printf("\n");
PostOrder(root);
printf("\n");
printf("TreeSize:%d\n", TreeSize(root));
printf("TreeLeafSize:%d\n", TreeLeafSize(root));
printf("TreeHeight:%d\n", TreeHeight(root));
printf("TreeLevelKSize:%d\n", TreeLevelKSize(root, 3));
TreeLevelOrder(root);
printf("\n");
TreeComplete(root);
TreeDestory(root);
root = NULL;
return 0;
}