前缀和与差分这两个算是算法入门学的第一个东西了,也是算法竞赛中经常用到的技巧,挺重要的
前者是用于快速求区间和,后者用于高效进行区间修改。我们在这先去了解前缀和
前缀和可以简单理解为「数列的前 𝑛
项的和」,是一种重要的预处理方式。
这里我们记录前缀和数组为prefix ,原数组是arr
这里说一下prefix与arr之间的关系
prefix[0] = arr[0] prefix[1] = arr[0] + arr[1] prefix[2] = arr[0] + arr[1] + arr[2] ... prefix[i] = arr[0] + arr[1] + ... + arr[i]
换成数也就是 arr=[1 1 1 1 1 1]
prefix[0]=1;
prefix[1]=1+1
prefix[2]=1+1+1
...
我们可以得出
prefix[i] = prefix[i-1] + arr[i] (当 i ≥ 1 时) prefix[0] = arr[0] (当 i = 0 时)
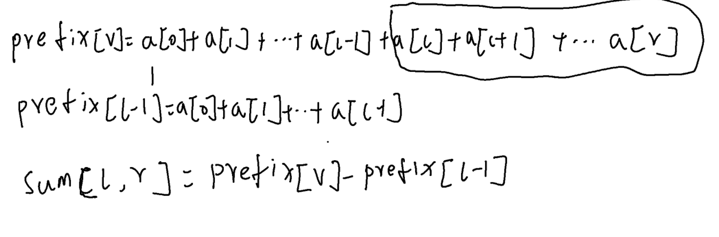
上面说了前缀和就是数组从初到n的前n项和,那如果我想得到一个区间内的数组的和呢
所以通过前缀和我们能快速得到一个区间内的和
sum(l, r) = prefix[r] - prefix[l-1] sum(0, r) = prefix[r]

就这样,通过 𝑂(𝑛)
时间预处理,能够将单次查询区间和的复杂度降低到 𝑂(1)
。
下面这个代码可以看一下
#include<bits/stdc++.h>
using namespace std;
int prefix[10000];//定义在全局变量,就能保证prefix[0]=0,所以这样就不用担心边界
int arr[1000];
int n;
//得到区间和
int get_sum(int l,int r){
return prefix[r]-prefix[l-1];
}
//得到前缀和数组
void get_prefix(){
for(int i=1;i<=n;i++){
prefix[i]=prefix[i-1]+arr[i];
}
}
int main(){
cin>>n;
for(int i=1;i<=n;i++){
cin>>arr[i];
}
int t=10;
while(t--){
int a,b;
cin>>a>>b;
get_prefix();
cout<<get_sum(a,b);
}
}差不多就这些了,后面拿点题练习一下
P3131 [USACO16JAN] Subsequences Summing to Sevens S - 洛谷
题目描述
Farmer John 的 N 头奶牛站成一排,这是它们时不时会做的事情。每头奶牛都有一个独特的整数 ID 编号,以便 Farmer John 能够区分它们。Farmer John 希望为一组连续的奶牛拍照,但由于童年时与数字 1…6 相关的创伤事件,他只希望拍摄一组奶牛,如果它们的 ID 加起来是 7 的倍数。
请帮助 Farmer John 确定他可以拍摄的最大奶牛组的大小。
输入格式
输入的第一行包含 N(1≤N≤50,000)。接下来的 N 行每行包含一头奶牛的整数 ID(所有 ID 都在 0…1,000,000 范围内)。
输出格式
请输出 ID 之和为 7 的倍数的最大连续奶牛组中的奶牛数量。如果不存在这样的组,则输出 0。
显示翻译
题意翻译
输入输出样例
输入 #1复制
7
3
5
1
6
2
14
10输出 #1复制
5说明/提示
在这个例子中,5+1+6+2+14=28。
暴力直接写肯定是过不了的,数据范围有点大,我们可以用减法同余原理也就是(a%mod-b%mod)= (a-b)%mod ,用到我们这题就是下面这个图

那我们可以用一个大小为7的数组就可以去存一下每一段模7之后的值,然后看之后好不好出现重复,出现了那我们就可以得到像上图一样的长度
先给一下暴力写(我水一下字数)
#include<bits/stdc++.h>
using namespace std;
long long prefix[50020];
int arr[50020];
int n;
int main(){
ios::sync_with_stdio(false);
cin.tie(nullptr);
cin>>n;
for(int i=1;i<=n;i++){
cin>>arr[i];
prefix[i]=prefix[i-1]+arr[i];
}
int ans=0;
for(int i=1;i<=n;i++){
for(int j=1;j<=i;j++){
int sum=prefix[i]-prefix[j-1];
if(sum%7==0){
ans=max(ans,i-j+1);
}
}
}
cout<<ans;
}下面是正确的做法
#include<bits/stdc++.h>
using namespace std;
int arr[50020];
int n,mod7[7];
long long prefix;
int main(){
ios::sync_with_stdio(false);
cin.tie(nullptr);
cin>>n;
int max_len=0;
memset(mod7,-1,sizeof(mod7));
mod7[0]=0;//我们从1开始算,位置为0的前缀和mod7也就是0了,因为没数
for(int i=1;i<=n;i++){
cin>>arr[i];
(prefix+=arr[i])%=7;//这也算是用来加法同余原理
if(mod7[prefix]==-1){//如果没出现过就等于这里的位置
mod7[prefix]=i;
}
else{
max_len=max(i-mod7[prefix],max_len);
}
}
cout<<max_len;
}P4440 [COCI 2017/2018 #3] Programiranje - 洛谷
题目描述
Little Leticija 正在准备编程考试。虽然她已经解决了很多任务,但还有一个任务尚未解决,于是她向你寻求帮助。
有一个单词 S 和 Q 次询问。在每次询问中,给出正整数 A、B、C 和 D。假设单词 X 由单词 S 中位置 A 和 B 及其之间的字母组成,而单词 Y 由位置 C 和 D 及其之间的字母组成。您需要回答是否能以某种方式重新排列单词 Y 中的字母得到单词 X。
输入格式
第一行输入包含单词 S(1≤∣S∣≤50000)。∣S∣ 表示单词 S 中的字符数。S 完全由英文小写字母组成。
第二行输入包含正整数 Q(1≤Q≤50000)。 以下 Q 行中的每一行包含四个整数 A、B、C 和 D(1≤A≤B≤∣S∣ 且 1≤C≤D≤∣S∣)。
输出格式
对于每次询问,如果可能,输出DA(即克罗地亚语的“是”),如果不可能,则输出NE(克语的“否”)。
显示翻译
题意翻译
输入输出样例
输入 #1复制
kileanimal
2
2 2 7 7
1 4 6 7输出 #1复制
DA
NE输入 #2复制
abababba
2
3 5 1 3
1 2 7 8输出 #2复制
DA
DA输入 #3复制
vodevovode
2
5 8 3 6
2 5 3 6输出 #3复制
NE
DA说明/提示
对于 50% 的测试点,有 1≤∣S∣≤1000 且 1≤Q≤1000。
对于 100% 的测试点,有 1≤∣S∣≤50000,1≤Q≤50000,1≤A≤B≤∣S∣ 且 1≤C≤D≤∣S∣。
样例 #3 的解释:在第一次询问中,X=vovo,Y=devo。在第二次询问中,X=odev,Y=
思路
看这个题,这个我们要求的前缀和当然和上题的不一样了,这个我们的和是字母数量的和,我们定义一个数组prefix[i][j],j就是0到25分别代表每个字母,i就是这个字母的长度,这个数组的意思就是到达长度i时候j字母的数量大小,那我们预处理一下每个数据的前缀和,然后后面判断就行了
这个可能比上面那个麻烦点但思路都大差不差
#include<bits/stdc++.h>
using namespace std;
string s;
int prefix[50020][50];
int main(){
ios::sync_with_stdio(false);
cin.tie(nullptr);
cin>>s;
//这里循环还是从1开始比较好,要不然后面还要特判
for(int i=1;i<=(int)s.size();i++){
for(int j=0;j<26;j++){
prefix[i][j]=prefix[i-1][j];
}
prefix[i][s[i-1]-'a']++;
}
int q;
cin>>q;
while(q--){
int a,b,c,d;
int flag=1;
cin>>a>>b>>c>>d;
// a--,b--,c--,d--;
for(int i=0;i<26;i++){
//数量有一个不一样就说明字母数量不同直接break就行了
if(prefix[b][i]-prefix[a-1][i]!=prefix[d][i]-prefix[c-1][i]){
flag=0;
break;
}
}
if(flag==1){
cout<<"DA"<<endl;
}
else{
cout<<"NE"<<endl;
}
}
}P6180 [USACO15DEC] Breed Counting S - 洛谷
题目描述
Farmer John 的 N 头奶牛,从左到右编号为 1…N,排成一队。
所有牛都可以分为三个品种,每头牛都有一个品种编号(只能为 1,2,3 中的一个)。FJ 有 Q 个询问,每个询问希望求出某个区间内每个品种奶牛的数量。
输入格式
第一行两个整数 N,Q(1≤N,Q≤105)。
接下来 N 行,每行一个整数,第 i 个整数代表第 i 头奶牛的品种编号。
接下来 Q 行,每行两个整数 a,b,表示第 i 次查询的范围是 [a,b]。
输出格式
对于每个查询,输出三个整数,分别是指定区间内品种 1 的奶牛数量,品种 2 的奶牛数量,品种 3 的奶牛数量。
输入输出样例
输入 #1复制
6 3
2
1
1
3
2
1
1 6
3 3
2 4输出 #1复制
3 2 1
1 0 0
2 0 1思路:
也没啥思路,就和上题一样解法,没直接看代码
#include<bits/stdc++.h>
using namespace std;
int n,q;
int prefix[500020][4];
int main(){
ios::sync_with_stdio(false);
cin.tie(nullptr);
cin>>n>>q;
for(int i=1;i<=n;i++){
int id;
cin>>id;
for(int j=1;j<=3;j++){
prefix[i][j]=prefix[i-1][j];
}
prefix[i][id]++;
}
while(q--){
int a,b;
cin>>a>>b;
for(int i=1;i<=3;i++){
cout<<prefix[b][i]-prefix[a-1][i]<<' ';
}
cout<<endl;
}
}P6625 [省选联考 2020 B 卷] 卡牌游戏 - 洛谷
题目描述
轩轩某天想到了一个卡牌游戏,游戏规则如下:
现在给出序列中各个卡牌的分值,请你来帮助轩轩计算他能够获得的最高总分是多少?
输入格式
第一行一个正整数 n,代表卡牌的数目。
接下来一行 n 个以空格分隔的整数,第 i 个数字 ai 代表自左向右第 i 张卡牌的分值。
输出格式
仅一行一个整数表示答案。
输入输出样例
输入 #1复制
3
2 -1 2输出 #1复制
4输入 #2复制
7
-4 3 0 7 -3 -5 -3输出 #2复制
9说明/提示
样例解释 1
最优策略为,首先选择最左侧的两张卡牌,总分增加 2+(−1)=1。此时轩轩选择的两张卡牌被替换为一张分值为 1 的卡牌,且被放入序列最左侧,此时自左向右卡牌的分值为 1 和 2。
接下来选择当前序列中所有卡牌,总分增加 1+2=3,总分为 4。此时轩轩选择的两张卡牌被替换为一张分值为 3 的卡牌,且被放入序列最左侧,此时序列中只有一张分值为 3 的卡牌,游戏结束。
样例解释 2
最优策略为,首先选择最左侧的四张卡牌,总分增加 (−4)+3+0+7=6。此时轩轩选择的四张卡牌被替换为一张分值为 6 的卡牌,且被放入序列最左侧,此时自左向右卡牌的分值为 6,−3,−5,−3。
再选择最左侧的两张卡牌,总分增加 6+(−3)=3,总分为 9。此时轩轩选择的两张卡牌被替换为一张分值为 3 的卡牌,且被放入序列最左侧,此时自左向右卡牌的分值为 3,−5,−3。
此时无论如何操作均无法使总分继续增大,轩轩选择结束游戏。
数据范围与约定
测试点 1∼6 满足:1≤n≤16,∣ai∣≤100。
测试点 7∼12 满足:1≤n≤103,∣ai∣≤100。
测试点 13∼20 满足:1≤n≤105,∣ai∣≤105。
思路:
这题就是让你让你把前缀和给加起来就行,我们只加前缀和大于0的如果后面一直小于0,咱不加就行,题上也说了可以提前停止。这个也不难直接看代码
#include<bits/stdc++.h>
using namespace std;
int n,arr[100020];
long long ans,sum;
int main(){
ios::sync_with_stdio(false);
cin.tie(nullptr);
cin>>n;
for(int i=0;i<n;i++){
int sc;
cin>>sc;
sum+=sc;
if(i>0){
ans+=sum>0?sum:0;
}
}
cout<<ans;
}