本文以 “Key 结构→KeyValue 结构” 为演进主线,完整实现了两种结构的非递归与递归操作(插入、查找、删除),并针对默认成员函数(拷贝构造、赋值运算符重载、析构)的深拷贝需求,设计了基于前序遍历的拷贝逻辑、“拷贝 - 交换” 的赋值技法及后序遍历的销毁逻辑,同时结合 “小区车库车牌验证”“单词拼写检查”“中英互译字典” 等实际场景,清晰区分两种结构的适用范围,为 BST 的工程化应用提供了可直接复用的代码模板与逻辑指导。

new从堆区分配的,这就会导致拷贝后的对象和原对象指向同一块堆内存——等两个对象析构时,同一块内存会被释放两次,最终引发程序崩溃,所以必须显式手写拷贝构造函数。比如我们有棵二叉搜索树t1,它的根节点是用new在堆里创建的(存着值8),t1的_root指针就指向这块堆内存。当我们用默认拷贝构造函数创建t2(BSTree t2(t1))时,浅拷贝只会让t2的_root也指向t1._root那同一块堆内存,而不会新new一块空间存8。等程序结束,t1析构时会把这块堆内存释放掉,可t2析构时还会去释放同一个地址,这就造成了内存二次释放,程序直接崩溃。
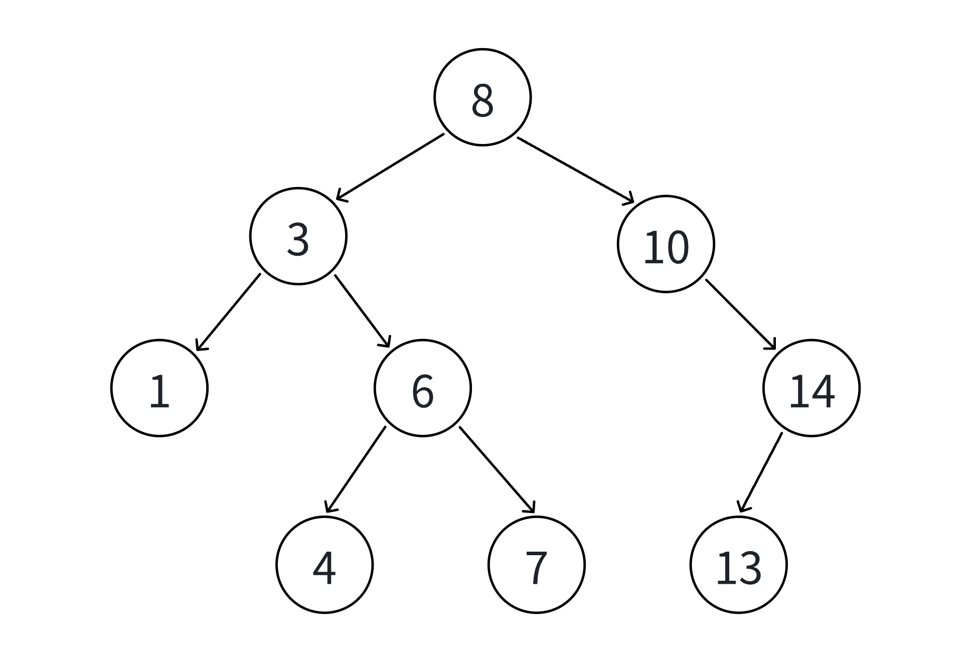
_key并重新分配堆空间。有人可能会想到用之前的中序遍历拿_key,但中序遍历二叉搜索树得到的是升序序列(比如原树中序是1 3 4 6 7 8 10 13 14),按这个序列new节点链接的话,拷贝树的根节点会变成1(而非原树的8),整个树的结构会完全错乱,所以中序遍历不可行。8 3 1 6 4 7 10 14 13),按这个序列new节点,拷贝树的根节点和结构都能和原树一致。但拷贝构造函数本身没法递归(没有返回值,不能传递子树指针),所以需要设计一个私有成员函数Copy来辅助——设为私有是为了不让外部调用,只允许类内部使用。Copy函数的逻辑很清晰:它接收原树待拷贝节点的指针(比如copy),返回值是BSTNode*类型(拷贝后子树的根指针)。当copy是nullptr时,直接返回nullptr(不用拷贝);当copy不为空时,先new一个新节点,把copy的_key赋给新节点,再递归调用Copy(copy->_left)拷贝左子树,把返回的指针赋给新节点的_left,接着递归Copy(copy->_right)拷贝右子树,赋值给新节点的_right,最后返回这个新节点。比如原二叉搜索树里有个节点copyNode,存着值8,它的左孩子是存3的节点,右孩子是存10的节点。调用Copy(copyNode)时,先new一个新节点存8;接着递归调用Copy(copyNode->_left)去拷贝左孩子,得到存3的新节点指针,把它赋给新节点的_left;再递归Copy(copyNode->_right)拷贝右孩子,得到存10的新节点指针,赋给新节点的_right;最后返回这个存8的新节点——这样就完整拷贝出以8为根的子树,和原树结构、值都一样。要是copyNode是nullptr(比如原节点没有左孩子),就直接返回nullptr,不用创建新节点。
Copy(原树的_root),再把返回的指针赋值给当前对象的_root,就能完成深拷贝——这样拷贝后的树和原树完全独立,不会有内存访问冲突。public:
// 拷贝构造函数:用已存在的二叉搜索树t(被拷贝的原树),初始化新创建的二叉搜索树对象(当前对象)
// 参数说明:
// const BinarySearchTree<K>& t:被拷贝的原树,加const是为了防止函数内意外修改原树数据
// 加&(引用)是为了避免传值时调用自身拷贝构造函数,导致递归死循环
// 功能:通过调用Copy函数拷贝原树的所有节点,最终让当前对象的_root指向拷贝后的新树根节点
BinarySearchTree(const BinarySearchTree<K>& t)
{
// 调用Copy函数,传入原树的根节点t._root,返回的新根节点赋值给当前对象的_root
_root = Copy(t._root);
}
private:
// 递归拷贝子函数:负责深度拷贝原树的单个节点及其左右子树,返回拷贝后的新节点指针
// 参数说明:
// const BSTNode* copy:原树中当前要拷贝的节点,加const防止修改原树节点的_key和子树指针
// 返回值:拷贝完成的新节点指针,用于给父节点的_left/_right赋值,构建新树的结构
BSTNode* Copy(const BSTNode* copy)
{
// 递归终止条件:如果原树当前要拷贝的节点copy是空(比如原树的叶子节点的子节点)
// 说明没有节点可拷贝,直接返回空指针,避免后续无效操作
if (copy == nullptr)
{
return nullptr;
}
// 步骤1:拷贝当前节点——为新树创建一个新节点,值与原树copy节点的_key完全相同
// 此时新节点的_left和_right默认是nullptr,后续通过递归赋值
BSTNode* newNode = new BSTNode(copy->_key);
// 步骤2:递归拷贝左子树——用原树copy节点的左子节点(copy->_left),构建新节点的左子树
// 原理:Copy(copy->_left)会返回拷贝后的左子树根节点,将其赋值给newNode->_left,完成左子树链接
newNode->_left = Copy(copy->_left);
// 步骤3:递归拷贝右子树——用原树copy节点的右子节点(copy->_right),构建新节点的右子树
// 原理:与左子树拷贝一致,Copy(copy->_right)返回拷贝后的右子树根节点,赋值给newNode->_right
newNode->_right = Copy(copy->_right);
// 步骤4:返回当前拷贝好的新节点(newNode)
// 这个返回值会被父节点的_left或_right接收,最终层层递归构建出完整的新树
return newNode;
}如果我们不写赋值运算符重载,编译器同样的默认生成为浅拷贝,我们需要我们自己写一个深拷贝的赋值运算符重载函数。
BinarySearchTree<K>& operator=(BinarySearchTree<K> t) // 注意参数是值传递
{
swap(_root, t._root); // 交换当前对象与临时对象的根节点
return *this; // 返回当前对象
}t1 = t2),参数 t 是通过值传递接收的。 这会自动调用我们之前实现的拷贝构造函数,将 t2 深拷贝一份到临时对象 t 中(t 拥有独立的堆内存节点,与 t2 完全分离)。swap(_root, t._root) 这行代码会交换两个指针: 当前对象(t1)的 _root 指向临时对象 t 的深拷贝数据(新节点)。 临时对象 t 的 _root 指向当前对象原来有的数据(旧节点)。
t 会被销毁(超出作用域)。t 所持有的的“旧数据”(原来属于 t1 的节点),无需手动释放,完美避免内存泄漏。假设 t2 是一棵有节点 8→3→10 的树,执行 t1 = t2 时:
t(t 是 t2 的深拷贝,节点地址全新)。t1._root 指向 t 的新节点(8→3→10),t._root 指向 t1 原来的旧节点。t 被销毁,顺带释放 t1 的旧节点,t1 最终持有 t2 的深拷贝数据。new 动态分配在堆上的,因此必须显式定义析构函数来逐个释放节点内存。析构过程需要采用后序遍历(左→右→根),确保在删除父节点前,其所有子节点已被释放。Destroy,这里我们需要使用节点指针的引用作为参数:因为要修改二叉树中的指针(如 _root、left、right)所以采用指针的引用,可以直接影响原始树结构。1. 若节点为空 → 直接返回
2. 递归销毁左子树
3. 递归销毁右子树
4. 删除当前节点
5. 置空当前节点指针假设有如下二叉搜索树:
5
/ \
3 7
/ / \
1 6 9销毁顺序(后序遍历):
3->left = nullptr5->left = nullptr7->left = nullptr7->right = nullptr5->right = nullptr_root = nullptrpuclic:
~BinarySearchTree()
{
Destory(_root);
}
private:
void Destory(BSTNode*& root)
{
if (root == nullptr){return;}
Destory(root->_left);
Destory(root->_right);
delete root;
root = nullptr;
}key和对应的值value(value可设为任意类型)时,增、删、查操作仍以key为核心遵循二叉搜索树规则,通过key的大小比较快速定位节点,进而获取对应的value。这类树支持修改操作,但仅能修改value——修改key会打破“左子树key小于根、右子树key大于根”的结构特性,导致后续搜索逻辑失效。key(英文单词)和value(对应的中文释义)。当需要翻译时,输入英文单词作为key在树中搜索,找到匹配节点后,即可直接获取对应的value(中文释义),实现快速互译。key,将入场时间作为value存入树中;车辆离场时,再次扫描车牌定位到对应的节点,读取value(入场时间),用当前时间减去入场时间计算停车时长,进而算出停车费用,用户缴费后系统抬杆放行,整个过程通过key快速关联关键信息,提升通行效率。key在树中查找,若key不存在,说明单词首次出现,以“单词为key、1为value”创建新节点存入树中;若key已存在,则直接找到对应节点,将value(出现次数)加1,最终遍历树即可得到所有单词的出现频次,实现高效统计。对比维度 | Key 版本 | Key-Value 版本 |
|---|---|---|
应用场景 | 集合(Set):去重、查找存在性 | 字典(Map):键值映射、缓存 |
节点数据 | 仅存储键 _key | 存储键值对 _key + _value |
模板参数 | template<class K> | template<class K, class V> |
插入操作 | 键重复则拒绝 | 键重复时可选择更新值 |
查找返回 | bool(存在性) | BSTNode*(访问值) |
使用复杂度 | 简单,只需传键 | 略复杂,需同时传键和值 |
#include<iostream>
using namespace std;
namespace dh
{
// 模板声明,K为键类型,V为值类型
template<class K, class V>
// 定义节点结构体
struct BinarySearchTreeNode
{
typedef BinarySearchTreeNode<K, V> BSTNode;
BSTNode* _left; // 左子节点指针
BSTNode* _right; // 右子节点指针
K _key; // 键
V _value; // 值
// 构造函数:初始化键值对
BinarySearchTreeNode(const K& key, const V& value)
: _left(nullptr)
, _right(nullptr)
, _key(key)
, _value(value)
{
}
};
template<class K, class V>
class BinarySearchTree
{
public:
typedef BinarySearchTreeNode<K, V> BSTNode;
// 构造函数
BinarySearchTree()
: _root(nullptr)
{
}
// ==================== 非递归实现 ====================
// 非递归插入
bool Insert(const K& key, const V& value)
{
if (_root == nullptr)
{
_root = new BSTNode(key, value);
return true;
}
BSTNode* parent = nullptr;
BSTNode* cur = _root;
while (cur != nullptr)
{
if (key > cur->_key)
{
parent = cur;
cur = cur->_right;
}
else if (key < cur->_key)
{
parent = cur;
cur = cur->_left;
}
else
{
// 键已存在,更新值
cur->_value = value;
return false;
}
}
// 插入新节点
if (key > parent->_key)
parent->_right = new BSTNode(key, value);
else
parent->_left = new BSTNode(key, value);
return true;
}
// 非递归查找 - 返回指针,方便获取value
BSTNode* Find(const K& key)
{
BSTNode* cur = _root;
while (cur != nullptr)
{
if (key > cur->_key)
cur = cur->_right;
else if (key < cur->_key)
cur = cur->_left;
else
return cur; // 找到返回节点指针
}
return nullptr; // 未找到
}
// 非递归删除
bool Erase(const K& key)
{
BSTNode* parent = nullptr;
BSTNode* cur = _root;
// 查找目标节点
while (cur != nullptr)
{
if (key > cur->_key)
{
parent = cur;
cur = cur->_right;
}
else if (key < cur->_key)
{
parent = cur;
cur = cur->_left;
}
else // 找到目标节点
{
// 情况1: 右子树为空
if (cur->_right == nullptr)
{
if (parent == nullptr) // 删除根节点
_root = cur->_left;
else
{
if (key > parent->_key)
parent->_right = cur->_left;
else
parent->_left = cur->_left;
}
}
// 情况2: 左子树为空
else if (cur->_left == nullptr)
{
if (parent == nullptr) // 删除根节点
_root = cur->_right;
else
{
if (key > parent->_key)
parent->_right = cur->_right;
else
parent->_left = cur->_right;
}
}
// 情况3: 左右子树都存在(替换法)
else
{
// 找左子树最大节点
BSTNode* subMaxParent = cur;
BSTNode* subMax = cur->_left;
while (subMax->_right != nullptr)
{
subMaxParent = subMax;
subMax = subMax->_right;
}
// 替换键值对
cur->_key = subMax->_key;
cur->_value = subMax->_value;
// 删除替换节点
if (subMaxParent == cur)
subMaxParent->_left = subMax->_left;
else
subMaxParent->_right = subMax->_left;
cur = subMax; // 转移删除目标
}
delete cur;
return true;
}
}
return false; // 未找到
}
// ==================== 递归实现 ====================
// 递归插入
bool InsertR(const K& key, const V& value)
{
return _InsertR(_root, key, value);
}
// 递归查找
BSTNode* FindR(const K& key)
{
return _FindR(_root, key);
}
// 递归删除
bool EraseR(const K& key)
{
return _EraseR(_root, key);
}
// ==================== 遍历 ====================
// 中序遍历
void InOrder()
{
_InOrder(_root);
cout << endl;
}
// ==================== 拷贝控制 ====================
// 拷贝构造
BinarySearchTree(const BinarySearchTree<K, V>& t)
{
_root = Copy(t._root);
}
// 赋值运算符重载
BinarySearchTree<K, V>& operator=(BinarySearchTree<K, V> t)
{
swap(_root, t._root);
return *this;
}
// 析构函数
~BinarySearchTree()
{
Destroy(_root);
}
private:
BSTNode* _root;
// ==================== 私有递归辅助函数 ====================
// 递归插入辅助
bool _InsertR(BSTNode*& root, const K& key, const V& value)
{
if (root == nullptr)
{
root = new BSTNode(key, value);
return true;
}
if (key > root->_key)
return _InsertR(root->_right, key, value);
else if (key < root->_key)
return _InsertR(root->_left, key, value);
else
{
// 键已存在,更新值
root->_value = value;
return false;
}
}
// 递归查找辅助
BSTNode* _FindR(BSTNode* root, const K& key)
{
if (root == nullptr)
return nullptr;
if (key > root->_key)
return _FindR(root->_right, key);
else if (key < root->_key)
return _FindR(root->_left, key);
else
return root;
}
// 递归删除辅助
bool _EraseR(BSTNode*& root, const K& key)
{
if (root == nullptr)
return false;
if (key > root->_key)
return _EraseR(root->_right, key);
else if (key < root->_key)
return _EraseR(root->_left, key);
else // 找到目标节点
{
BSTNode* delNode = root;
// 右子树为空
if (root->_right == nullptr)
{
root = root->_left;
delete delNode;
return true;
}
// 左子树为空
else if (root->_left == nullptr)
{
root = root->_right;
delete delNode;
return true;
}
// 左右都存在
else
{
// 找左子树最大节点
BSTNode* subMax = root->_left;
while (subMax->_right)
subMax = subMax->_right;
// 替换键值对
root->_key = subMax->_key;
root->_value = subMax->_value;
// 递归删除替换节点
return _EraseR(root->_left, subMax->_key);
}
}
}
// 中序遍历辅助
void _InOrder(BSTNode* cur)
{
if (cur == nullptr)
return;
_InOrder(cur->_left);
cout << cur->_key << ":" << cur->_value << " ";
_InOrder(cur->_right);
}
// 拷贝辅助
BSTNode* Copy(const BSTNode* copy)
{
if (copy == nullptr)
return nullptr;
BSTNode* newNode = new BSTNode(copy->_key, copy->_value);
newNode->_left = Copy(copy->_left);
newNode->_right = Copy(copy->_right);
return newNode;
}
// 销毁辅助
void Destroy(BSTNode*& root)
{
if (root == nullptr)
return;
Destroy(root->_left);
Destroy(root->_right);
delete root;
root = nullptr;
}
};
}通过对二叉搜索树key结构和key/value结构的深入剖析,我们不仅掌握了拷贝控制成员函数的正确实现方式,理解了深拷贝的必要性和实现技巧,还明确了两种结构在实际应用中的定位差异——key结构专注于集合操作和存在性判断,而key/value结构则更适用于字典映射和关联数据存储。这些核心知识点为后续学习更复杂的树形结构(如AVL树、红黑树)奠定了坚实的理论基础和实践指导。