REF:家庭助老服务机器人的设计与运动规划研究
国家体育总局所发布的《有效走路,不必日行万步》中提及,鉴于老年人的步行速度会随着身体机能的下降而逐渐减缓,其平均步速大约是0.8m/s ,为了可让机器人在老年人所处的环境里有更好的适应性,便将其最大移动速度设定成了1.0m / s ;机器人主要是在室内家居环境中开展工作,这一环境的地面一般较为平整,不过也有可能会存在一定的坡度或者障碍,像是地毯、出现破损或者凹陷的地砖等情况,在设计方面要求机器人可适应最大为 8°的爬坡角度,家庭助老服务机器人需求:

家庭助老服务机器人参数及计算如下:








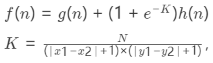
全局路径规划A-star的问题:
基于上面问题,分别进行改善:

其中N表示当前点跟目标点构成矩形区域内的障碍物栅格数量 当障碍物数量较少时,K 值较小,h(n)的系数较大,算法就会缩小搜索范围,提高寻路效率,反之亦然。
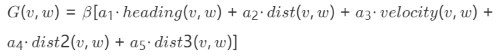
局部路径规划算法DWA : 存在一些问题,比如避障表现得过于保守,路径绕行情况较为严重,会陷入局部最优状态,默认评价函数为:

其中
使用下面评价函数,增加障碍物的检测,提升机器人在复杂环境里的感知以及避障能力

采用梯度下降法更新损失函数,从而动态调整权重参数。与传统人工神经网络相比,CNN 使用特有的卷积核进行权值共享,通过池化层减少网络的参数数量,使 CNN 能以较小的计算量提取图像中的特征信息,同时 CNN 不需要像人工神经网络那样压缩图像的维度。
