
在链表的算法世界里,「环形」结构是一个经典且有趣的谜题。当链表的尾指针并非指向空,而是指向链表中某个先前的节点时,一个环便悄然形成。 本期,我们将聚焦于环形链表的两大核心问题:如何判断链表中是否存在环?以及,如果存在环,如何准确地找到环的起点?
题目链接:141.环形链表(LeetCode)
给你一个链表的头节点 head ,判断链表中是否有环。
如果链表中有某个节点,可以通过连续跟踪 next 指针再次到达,则链表中存在环。
(为了表示给定链表中的环,评测系统内部使用整数 pos 来表示链表尾连接到链表中的位置(索引从 0 开始)。注意:pos 不作为参数进行传递 。仅仅是为了标识链表的实际情况。)



NULL)。那么该如何操作呢?
经过作图,此方法将链表转换为数组后再判断确实可以。但是别忘了一个重要的前提,题目要给出链表的最大长度!!(上一篇博客中提到:回文链表) 可惜,看完题目要求,没有给出相关条件,那么不能用这个方法!

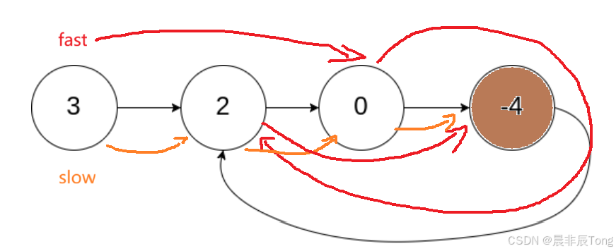
经过作图,最终快慢指针在节点数值为4的地方相遇,表示链表为环形链表。
/**
* Definition for singly-linked list.
* struct ListNode {
* int val;
* struct ListNode *next;
* };
*/
typedef struct ListNode ListNode;
bool hasCycle(struct ListNode *head)
{
//定义快慢指针
ListNode* fast = head;
ListNode* slow = head;
//循环,开始追赶
while(fast && fast->next)
{
//慢走1步,快走2步
slow = slow->next;
fast = fast->next->next;
if(fast == slow)
{
return true;
}
}
//循环外,没有相遇
return false;
}
先说答案:一定会相遇!

要明确:快指针比慢指针先进入环形部分。假设两个指针之间的距离差值为N,那么移动后就是N+1-2 = N-1,反复进行,也就是说每次距离差值缩小1位。这就好说了,不管N有多大,只要-1-1-1……最终都会归0,也就是相遇。
那可就不一定相遇了!!


经过上面的一系列证明,得出:在以后的算法使用快慢指针时,还是慢指针走1步、快指针走2步比较稳妥!
题目链接:142.环形链表Ⅱ(LeetCode)
给定一个链表的头节点 head ,返回链表开始入环的第一个节点。 如果链表无环,则返回 null。
如果链表中有某个节点,可以通过连续跟踪 next 指针再次到达,则链表中存在环。
(为了表示给定链表中的环,评测系统内部使用整数 pos 来表示链表尾连接到链表中的位置(索引从 0 开始)。如果 pos 是 -1,则在该链表中没有环。注意:pos 不作为参数进行传递,仅仅是为了标识链表的实际情况。不能改变链表结构!)



-105 <= Node,val <= 105;pos 的值为 -1 或者链表中的一个有效索引;
借用上一题的思路,找到相遇节点(-4)后,再新定义新节点pcur指向头节点,依据距离关系的推理(后面有验证),让pcur,short同步移动直到二者相遇,此为入环节点(2)。
/**
* Definition for singly-linked list.
* struct ListNode {
* int val;
* struct ListNode *next;
* };
*/
typedef struct ListNode ListNode;
struct ListNode* detectCycle(struct ListNode* head)
{
//创建快慢指针
ListNode* slow = head;
ListNode* fast = head;
while (fast && fast->next)
{
slow = slow->next;
fast = fast->next->next;
if (slow == fast)
{
//相遇节点--找入环节点
ListNode* pcur = head;
while (pcur != slow)
{
pcur = pcur->next;
slow = slow->next;
}
return pcur;
}
}
return NULL;
}
🍓 我是晨非辰Tong!若这篇技术干货帮你打通了学习中的卡点:
👀 【关注】跟我一起深耕技术领域,从基础到进阶,见证每一次成长
❤️ 【点赞】让优质内容被更多人看见,让知识传递更有力量
⭐ 【收藏】把核心知识点、实战技巧存好,需要时直接查、随时用
💬 【评论】分享你的经验或疑问(比如曾踩过的技术坑?),一起交流避坑
🗳️ 【投票】用你的选择助力社区内容方向,告诉大家哪个技术点最该重点拆解
技术之路难免有困惑,但同行的人会让前进更有方向~愿我们都能在自己专注的领域里,一步步靠近心中的技术目标!结语: