前言:上期我们从顺序表开始讲到了单链表的概念,分类,和实现,而这期我们来将相较于单链表没那么常用的双向链表
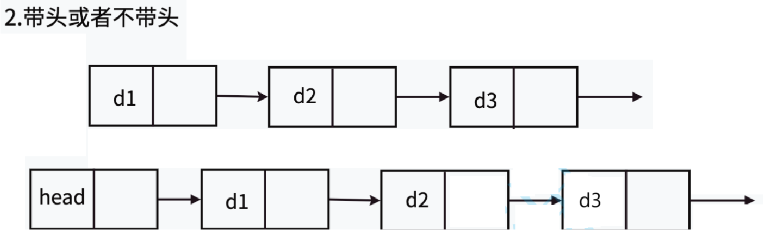
前面我们讲过单链表,我们知道他是单向不带头,不循环链表结构,而双向链表就不一样了,双向链表是:带头的双向循环链表。
前面我们将链表的分类,但没有具体展现每一种链表到底是什么样的;是因为怕大家混淆,当时为了方便理解就把单链表的第一个节点当作是头节点;但实际上单链表是每一头节点的。



既然双链表是双向带头的循环链表,那么将上面这几种结构结合起来自然就得到了双链表的结构:

注意:这里的“带头”跟前面我们说的“头结点”是两个概念,实际前⾯的在单链表阶段称呼不严谨,但是为了同学们更好的理解就直接称为单链表的头结点。
带头链表里的头结点,实际为“哨兵位”,哨兵位结点不存储任何有效元素,只是站在这⾥“放哨 的”
首先要实现双链表我们就要创建一个双链表与单链表的实现一样。 在.h文件中
//需要包含的头文件
#include<stdio.h>
#include<assert.h>
#include<stdlib.h>
#include<stdbool.h>
typedef int LTData;
//双向链表的构建
typedef struct ListNode
{
LTData data;
struct ListNode* next;
struct ListNode* prev;
}LTNode;构建好双链表后,我们可以发现双链表比单链表多了一个prev指针,指向它的前一个节点。这一点与单链表很不一样,仅仅多了一个prev指针就使得了链表变得循环起来。而且在单链表中是不能往前遍历的,但在双链表中就可以。

紧接着我们初始化节点:
//初始化新节点
LTNode* LTNodeInit();//封装一个开辟一个结点的函数
LTNode* LTBuyNode(LTData x)
{
LTNode* newnode = (LTNode*)malloc(sizeof(LTNode));
if (newnode == NULL)
{
//到这说明开辟失败
perror("malloc fail!");
exit(1);
}
//到这说明开辟成功 调节新结点的prev和head指针 指向自己 因为时双向链表
newnode->prev = newnode;
newnode->next = newnode;
newnode->data = x;
//调整完后返回新结点的地址
return newnode;
}
//初始化
LTNode* LTNodeInit()
{
LTNode* phead = LTBuyNode(-1);//向内存申请一块空间 代表一个头结点
return phead;//返回头结点的地址
}
创建好双链表,初始化节点后我们就可以来实现双链表的增,删,查,改了。

//头插
void LTPushFront(LTNode* phead, LTData x);//头插
void LTPushFront(LTNode* phead, LTData x)
{
assert(phead);
//既然要插入结点 就要先创建一个结点
LTNode* newnode = LTBuyNode(x);
//head newnode head->next(d1) 处理他们三个的指向关系
newnode->next = phead->next;
newnode->prev = phead;
phead->next->prev = newnode;
phead->next = newnode;
}
//头结点不发生改变传一级指针
//头结点要发生改变传二级指针
//尾插
void LTPushBack(LTNode* phead,LTData x);//尾插
void LTPushBack(LTNode* phead, LTData x)
{
assert(phead);
//既然要尾插那么就要有新的结点 新的结点使用LTBuyNode方法开辟 然后返回新结点的地址
LTNode* newnode = LTBuyNode(x);
//phead phead->prev(尾结点) newnode
//先修改newnode
newnode->prev = phead->prev;//phead->prev即d3结点 newnode指向d3
newnode->next = phead;//尾与头相连
//再修改链表内部的结点
phead->prev->next = newnode;//相当于d3->newnode d3指向newnode
phead->prev = newnode;//头与尾相连
}
//在指定位置之后插入结点
void LTInsert(LTNode* pos, LTData x);//在指定位置之后插入结点
void LTInsert(LTNode* pos, LTData x)
{
assert(pos);
LTNode* newnode = LTBuyNode(x);
//pos newnode pos->next
newnode->next = pos->next;
newnode->prev = pos;
pos->next->prev = newnode;
pos->next = newnode;
}
//头删
void LTPopFront(LTNode* phead);//头删
void LTPopFront(LTNode* phead)
{
assert(phead);
LTNode* del = phead->next;//phead->next 为头结点
//处理 head del del->nex
phead->next = del->next;
del->next->prev = phead;
//释放头结点
free(del);
del = NULL;
}
//尾删
void LTPopBack(LTNode* phead); //尾删
void LTPopBack(LTNode* phead)
{
//先判断是否是空链表
assert(!LTEmpty(phead));//如果链表为空 返回1 !1(非1) 就为0 就会断言报错
LTNode* del = phead->prev;//定义del来保存尾结点
//处理head head-next->prev(del->prev) head->next(del)
// 尾结点的上一个结点 尾结点
del->prev->next = phead;
phead->prev = del->prev;
//释放
free(del);
del = NULL;
}
//删除pos位置的结点
void LTErase(LTNode* pos);//删除pos位置的结点
void LTErase(LTNode* pos)
{
assert(pos);
//pos->prev pos pos->next
pos->next->prev = pos->prev;
pos->prev->next = pos->next;
free(pos);
pos = NULL;
}
//查找
LTNode* LTFind(LTNode* phead, LTData x);//查找
LTNode* LTFind(LTNode* phead, LTData x)
{
assert(phead);
LTNode* pcur = phead->next;
while (pcur != phead)
{
if (pcur->data == x)
{
return pcur;
}
pcur = pcur->next;
}
//走到这里已经循环完了链表都没找到 说明找不到了返回NULL
return NULL;
}与单链表一样,双链表也是我们人为向操作系统申请的空间,为了避免空间浪费再我们不使用链表的时候就将他销毁,还给操作系统。

//链表的销毁
void LTdesTroy(LTNode*phead);void LTdesTroy(LTNode*phead)
{
LTNode*pcur=phead->next;
while(pcur!=NULL)
{
LTNode*next=pcur->next;
free(pcur);
pcur=next;
}
//跳出循环只剩下哨兵位 释放哨兵位
free(phead);
phead=NULL;
}以上就是双链表的实现,实现完后我们可以用一些测试代码来测试一下,
//链表的打印
//链表的打印
void LTPrint(LTNode* phead)
{
LTNode* pcur = phead->next;
while (pcur != phead)
{
printf("%d -> ", pcur->data);
pcur = pcur->next;
}
printf("\n");
}void test1()
{
LTNode* plist= LTNodeInit();//ʼ
//β
/*LTPushBack(plist,1);
LTPushBack(plist,2);
LTPushBack(plist,3);
LTPushBack(plist,4);*/
LTPushFront(plist, 1);
LTPushFront(plist, 2);
LTPrint(plist);
}
int main()
{
test1();
return 0;
}以上就是所有链表和顺序表的内容了,我们最后再来比较一下二者的区别:

以上就是本章的全部内容啦! 最后感谢能够看到这里的读者,如果我的文章能够帮到你那我甚是荣幸,文章有任何问题都欢迎指出!制作不易还望给一个免费的三连,你们的支持就是我最大的动力!