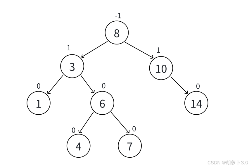
AVL树是最先发明的自平衡二叉搜索树,AVL是一棵空树或者是具备下列性质的二叉搜索树:
AVL树是一棵高度平衡搜索二叉树,通过控制高度差取控制平衡
在AVL树的实现这里我们引用一个平衡因子(balance factor)的概念,每个节点都有一个平衡因子:
但是AVL树并不是必须要平衡因子,只是有了平衡因子可以让我们更方便的去观察和控制树是否平衡,就像一个风向标一样

思考一下—— 为什么AVL树是高度平衡搜索二叉树,要求高度差不超过1,而不是高度差为0呢?0不是更好的平衡吗? 不是不想这样设计,而是有些情况是做不到高度差是0的——比如一棵树是2个结点,4个结点等情况下,高度差最好就是1,无法做到高度差是0——也就是说,不是不想做,而是做不到!
AVL树整体节点数量和分布和完全二叉树类似,高度可以控制在

,那么增删查改的效率也可以控制在

,相较于二叉搜索树有了质的提升!!!

template<class k,class v>
struct ALVTreeNode
{
pair<k, v> _kv;//存储的是一个key_value的数据
ALVTreeNode<k, v>* _left;
ALVTreeNode<k, v>* _right;
ALVTreeNode<k, v>* _parent;//指向父节点的指针
int _bf;//平衡因子
ALVTreeNode(const pair<k, v>& kv)
:_kv(kv)
,_left(nullptr)
,_right(nullptr)
,_bf(0)
{}
};
template<class k,class v>
class ALVTree
{
typedef ALVTreeNode<k, v> node;
private:
node* _root = nullptr;//根节点
};AVL树的插入和搜索二叉树的插入逻辑一模一样,在插入的过程中我们需要通过平衡因子来判断这棵AVL树是否平衡,如果不平衡,我们就要对它进行旋转操作。
ok,我们来看一下这个插入的过程——
插入数据代码:
template<class k,class v>
class ALVTree
{
typedef ALVTreeNode<k, v> node;
public:
bool insert(const pair<k, v>& kv)
{
if (_root == nullptr)
{
_root = new node(kv);
}
node* cur = _root;
node* parent = nullptr;
while (cur != nullptr)
{
if (cur->_kv.first > kv.first)
{
parent = cur;
cur = cur->_left;
}
else if (cur->_kv.first < kv.first)
{
parent = cur;
cur = cur->_right;
}
else
{
return false;
}
}
cur = new node(kv);
if (parent->_kv.first > kv.first)
{
parent->_left = cur;
}
else
{
parent->_right = cur;
}
cur->_parent = parent;
}说到更新平衡因子,这里有个问题:新加入节点的平衡因子为多少?

ok,新插入节点没有左右子树,所以新插入节点的平衡因子为0
新插入的节点只会影响他的祖先节点的高度,也就是说可能会影响部分祖先节点的平衡因子

引入平衡因子可以判断这棵树有没有平衡,平衡则插入结束,不平衡则旋转!!!
更新原则:
插入节点后,更新了parent(新增节点的父节点)的平衡因子
那还要不要继续往上更新呢?——
看parent(新增节点的父节点)所在的子树高度是否变化,若高度变了,会影响上一层;高度不变,不会影响上一层
ok,这里我们来详细探讨一下: 什么时候需要继续向上更新平衡因子?

有了_parent的指针(指向父节点的指针),方便更新平衡因子!!!

若更新后parent 的平衡因子为2或者-2,变化过程为1->2或-1->-2,说明更新前parent所在的子树一边高一边低,但是满足平衡要求;新插入的节点插入在高的那边,parent所在的子树高的那边更高了,破坏了平衡,parent所在子树不符合平衡要求,需要旋转处理!!!
旋转的目的:

更新后parent的平衡因子等于0,更新过程为1->0或-1->0,说明更新前parent的子树一边高一边低,新增节点插入在低的那边,插入后parent所在的子树高度不变,不会影响parent的父节点

总结一下:
情况一:继续向上更新
parent 平衡因子 从 0 → 1 或 0 → -1
parent = parent->_parent,继续循环
情况二:立即停止更新
parent 平衡因子 从 1 → 0 或 -1 → 0
情况三:旋转后停止
parent 平衡因子 从 1 → 2 或 -1 → -2
终止条件总结
更新过程在以下时刻必然停止:
平衡因子 → 0 的节点
平衡因子 → ±2 的节点
//调整平衡因子
//最坏更新到根节点
while (parent)
{
//插入节点都会改变其父节点的平衡因子
if (parent->_left == cur)
{
parent->_bf--;
}
else
{
parent->_bf++;
}
//插入节点的父节点的平衡因子调整完之后,要不要继续向上调整吗?
//分为3种情况:
//(1)插入之前一边高一边低,现在左右两边相等,不会再影响上一层,就over
if (parent->_bf == 0)
{
break;//原先是1/-1
}
//(2)parent所在的子树高度变了,1或者-1,是由0->1或0->-1
//插入之前两边一样高,现在一边高一边低,子树的整体高度变了,需要继续往上更新
else if (parent->_bf == 1 || parent->_bf == -1)
{
cur = parent;
parent = parent->_parent;
}
//(3)parent所在子树已经不平衡,需要旋转处理
else if (parent->_bf == 2 || parent->_bf == -2)
{
//旋转
break;
}
else
{
assert(false);
}
}

右单旋的使用场景就是左子树更高导致的不平衡。
如图所示,假设10为根的树,有a / b / c抽象为三棵高度为h的子树(h >= 0),a / b / c均符合AVL树的要求。10可能是整棵树的根,也可能是一个整棵树中局部的子树的根。这里a / b / c是高度为h的子树,是一种概括抽象表示,他代表了所有右单旋的场景,实际右单旋形态有很多种,具体后面会有图形进行了详细描述。

在a子树中插入一个新结点,导致a子树的高度从h变成h + 1,不断向上更新平衡因子,导致10的平衡因子从-1变成-2,10为根的树左右高度差超过1,违反平衡规则。10为根的树左边太高了,需要往右边旋转,控制两棵树的平衡。

旋转核心步骤,因为5 < b子树的值 < 10,将b变成10的左子树,10变成5的右子树,5变成这棵树新的根,符合搜索树的规则,控制了平衡,同时这棵的高度恢复到了插入之前的h + 2,符合旋转原则。插入之后,10所在的子树是整棵树的局部子树,旋转后不会再影响上一层,插入结束了。

触发条件:
parent 的平衡因子为 -2(左子树更高)
subL 的平衡因子为 -1(新节点插入在 subL 的左子树)
场景模拟:
插入节点后,parent 的平衡因子从 -1 变为 -2。不平衡的“重心”在 parent 的左孩子的左子树上,是一条直线,所以用一次右旋即可解决。
操作步骤:
subL 的右子树 subLR 成为 parent 的左子树。
parent 成为 subL 的右子树。
subL 提升为整个子树新的根节点,并更新其父指针。
parent 和 subL 的父指针。
ok,现在我们来看一下为什么这里要有a / b / c抽象为三棵高度为h的子树(h >= 0)?
其实这是因为如果没有a / b / c抽象为三棵高度为h的子树(h >= 0),我们无法穷举出所有情况!!


上面这种情况新增节点有两个插入的位置——a的左边和右边

上图中的组合场景有36种

上图中的组合场景有5400种
也就是说,我们使用a / b / c抽象为三棵高度为h的子树(h >= 0)就可以代表所有中情况!!!
代码实现:
//(3)parent所在子树已经不平衡,需要旋转处理
else if (parent->_bf == 2 || parent->_bf == -2)
{
//旋转
//左单旋
if (parent->_bf == -2 && cur->_bf == -1)
{
RotateR(parent);
}
//右单旋
void RotateR(node* parent)
{
node* subL = parent->_left;
node* subLR = subL->_right;
subL->_right = parent;
parent->_left = subLR;
//subLR可能为空
if(subLR)
subLR->_parent = parent;
node* parentParent = parent->_parent;
parent->_parent = subL;
//若parent是根节点
if (parent == _root)
{
_root = subL;
subL->_parent = nullptr;
}
else
{
//parent不是根节点
if (parentParent->_left == parent)
{
parentParent->_left = subL;
subL->_parent = parentParent;
}
else
{
parentParent->_right = subL;
subL->_parent = parentParent;
}
}
//修改平衡因子
parent->_bf = subL->_bf = 0;
}ok,我们来看分析一下这个代码,看看为什么要这么写——

如下图所展示的是10为根的树,有a / b / c抽象为三棵高度为h的子树(h >= 0),a / b / c均符合AVL树的要求。10可能是整棵树的根,也可能是一个整棵树中局部的子树的根。这里a / b / c是高度为h的子树,是一种概括抽象表示,他代表了所有左单旋的场景,实际左单旋形态有很多种,具体跟上面右单旋类似。

在a子树中插入一个新结点,导致a子树的高度从h变成h + 1,不断向上更新平衡因子,导致10的平 衡因子从1变成2,10为根的树左右高度差超过1,违反平衡规则。10为根的树右边太高了,需要往 左边旋转,控制两棵树的平衡。

旋转核心步骤,因为10 < b子树的值 < 15,将b变成10的右子树,10变成15的左子树,15变成这棵 树新的根,符合搜索树的规则,控制了平衡,同时这棵的高度恢复到了插入之前的h + 2,符合旋转原则。如果插入之前10整棵树的一个局部子树,旋转后不会再影响上一层,插入结束了

总结一下:
触发条件:
parent 的平衡因子为 2(右子树更高)
subR 的平衡因子为 1(新节点插入在 subR 的右子树)
场景模拟:
与右单旋完全对称。不平衡的“重心”在 parent 的右孩子的右子树上。
操作步骤:
subR 的左子树 subRL 成为 parent 的右子树。
parent 成为 subR 的左子树。
subR 提升为整个子树新的根节点。
代码实现:
//左单旋
else if (parent->_bf == 2 && cur->_bf == 1)
{
RotateL(parent);
}
//左单旋
void RotateL(node* parent)
{
node* subR = parent->_right;
node* subRL = subR->_left;
subR->_left = parent;
node* parentParent = parent->_parent;
parent->_right = subRL;
parent->_parent = subR;
if (subRL)
subRL->_parent = parent;
//让subR成为新的整棵树的根节点/子树的根节点
if (parent == _root)
{
_root = subR;
subR->_parent = nullptr;
}
else
{
if (parentParent->_left == parent)
{
parentParent->_left = subR;
}
else {
parentParent->_right = subR;
}
subR->_parent = parentParent;
}
//调整平衡因子
parent->_bf = subR->_bf = 0;
}通过下面情况1和情况2的两张图,我们可以观察到:当左边高时,如果插入位置不是在a子树,而是插入在b子树,b子树高度从h变成h + 1,引发旋转,右单旋无法解决问题,右单旋后,我们的树依旧不平衡。右单旋解决的纯粹的左边高,但是插入在b子树中,10为跟的子树不再是单纯的左边高,对于10是左边高,但是对于5是右边高,需要用两次旋转才能解决——以5为旋转点进行一个左单旋,以10为旋转点进行一个右单旋,这棵树就平衡了。


这个顺序是有讲究的,不能调换,这里不能说先左单旋再右单旋,这里一定是左单旋再右单旋,先变成纯粹的左单旋,再右单旋,才平衡。


上面两张图分别为左右双旋中h == 0和h == 1两种情况的具体场景的流程分析
下面我们将a / b / c子树抽象为高度h的AVL子树进行分析,另外我们需要把b子树的细节进一步展开为8和左子树高度为h -1的e和f子树,因为我们要以b的父亲节点5为旋转点进行左单旋,左单旋需要动b树中的左子树。
b子树中新增结点的位置不同,平衡因子更新的细节也不同,通过观察8的平衡因子不同,这里我们要分三个场景讨论——

触发条件:
parent 的平衡因子为 -2
subL 的平衡因子为 1(新节点插入在 subL 的右子树)
场景模拟:
不平衡的形状是一条折线。先对 subL 进行左旋,将其变成 LL 情况,再对 parent 进行右旋。
操作步骤:
subL 为轴进行左单旋。
parent 为轴进行右单旋。
subLR(subL 的右孩子)。
平衡因子更新(关键且复杂):
双旋后的平衡因子更新取决于插入前 subLR 本身的平衡因子 (bf):
subLR->bf == 0 (插入后它就是新节点)
parent->_bf = 0, subL->_bf = 0, subLR->_bf = 0
subLR->bf == -1 (新节点在 subLR 的左子树)
parent->_bf = 1, subL->_bf = 0, subLR->_bf = 0
subLR->bf == 1 (新节点在 subLR 的右子树)
parent->_bf = 0, subL->_bf = -1, subLR->_bf = 0
//左右单旋
else if (parent->_bf == -2 && cur->_bf == 1)
{
RotateLR(parent);
}
//左右双旋
void RotateLR(node* parent)
{
node* subL = parent->_left;
node* subLR = subL->_right;
int bf = subLR->_bf;
RotateL(subL);
RotateR(parent);
//修改平衡因子
if (bf == 0)
{
parent->_bf = 0;
subL->_bf = 0;
subLR->_bf = 0;
}
else if (bf == 1)
{
parent->_bf = 0;
subL->_bf = -1;
subLR->_bf = 0;
}
else if (bf == -1)
{
parent->_bf = 1;
subL->_bf = 0;
subLR->_bf = 0;
}
else
{
assert(false);
}
}了解了左右双旋转的实现逻辑之后,右左双旋的流程也可以自己试着分析一下。


触发条件:
parent 的平衡因子为 2
subR 的平衡因子为 -1(新节点插入在 subR 的左子树)
场景模拟: 与左右双旋完全对称。
操作步骤:
subR 为轴进行右单旋。
parent 为轴进行左单旋。
subRL(subR 的左孩子)。
平衡因子更新:
取决于插入前 subRL 的平衡因子:
subRL->bf == 0
parent->_bf = 0, subR->_bf = 0, subRL->_bf = 0
subRL->bf == 1 (新节点在 subRL 的右子树)
parent->_bf = -1, subR->_bf = 0, subRL->_bf = 0
subRL->bf == -1 (新节点在 subRL 的左子树)
parent->_bf = 0, subR->_bf = 1, subRL->_bf = 0
代码实现:
else if (parent->_bf == 2 && cur->_bf == -1)
{
RotateRL(parent);
}
//右左双旋
void RotateRL(node* parent)
{
node* subR = parent->_right;
node* subRL = subR->_left;
int bf = subRL->_bf;
RotateR(subR);
RotateL(parent);
//更新平衡因子
if (bf == 0)
{
parent->_bf = 0;
subR->_bf = 0;
subRL->_bf = 0;
}
else if (bf == -1)
{
parent->_bf = 0;
subR->_bf = 1;
subRL->_bf = 0;
}
else if (bf == 1)
{
parent->_bf = -1;
subR->_bf = 0;
subRL->_bf = 0;
}
else
{
assert(false);
}
}AVL树的删除我们不做过多介绍,很复杂,像前面介绍二叉搜索树的时候也是,插入并不复杂,但是删除非常麻烦,AVL树底层是一棵搜索二叉树,所以它的删除也是非常棘手的一个问题!
如果uu们感兴趣,可以去看这本书——
图书推荐:《殷人昆 数据结构:用面向对象方法与C++语言描述》
ok,AVL树的相关内容就说到这里,剩下的查找和搜索二叉树没有太大区别~~~
有些uu喜欢通过对比代码的方式来解决BUG,看看和别人写的哪里不一样?其实这是在走捷径!学习的意义:学知识,就是——锻炼学习能力、分析能力、解决问题能力。对比代码、问别人、求助于AI……分析能力、解决问题能力都没有得到锻炼,这对于我们今后的工作是没有好处的。
调试的技巧有很多种,我们平常通过简单地调试实际上只能解决一小部分问题,很多问题仅凭调试是解决不了问题的。我们可以打印、可以打印日志(这个在公司里面很常用)——

#pragma once
#include<iostream>
#include<assert.h>
#include<vector>
using namespace std;
template<class k, class v>
struct ALVTreeNode
{
pair<k, v> _kv;//存储的是一个key_value的数据
ALVTreeNode<k, v>* _left;
ALVTreeNode<k, v>* _right;
ALVTreeNode<k, v>* _parent;//指向父节点的指针
int _bf;//平衡因子
ALVTreeNode(const pair<k, v>& kv)
:_kv(kv)
, _left(nullptr)
, _right(nullptr)
, _parent(nullptr)
, _bf(0)
{}
};
template<class k, class v>
class ALVTree
{
typedef ALVTreeNode<k, v> node;
public:
bool insert(const pair<k, v>& kv)
{
if (_root == nullptr)
{
_root = new node(kv);
return true;
}
node* cur = _root;
node* parent = nullptr;
while (cur)
{
if (cur->_kv.first > kv.first)
{
parent = cur;
cur = cur->_left;
}
else if (cur->_kv.first < kv.first)
{
parent = cur;
cur = cur->_right;
}
else
{
return false;
}
}
cur = new node(kv);
if (parent->_kv.first > kv.first)
{
parent->_left = cur;
}
else
{
parent->_right = cur;
}
cur->_parent = parent;
//调整平衡因子
//最坏更新到根节点
while (parent)
{
//插入节点都会改变其父节点的平衡因子
if (parent->_left == cur)
{
parent->_bf--;
}
else
{
parent->_bf++;
}
//插入节点的父节点的平衡因子调整完之后,要不要继续向上调整吗?
//分为3种情况:
//(1)插入之前一边高一边低,现在左右两边相等,不会再影响上一层,就over
if (parent->_bf == 0)
{
break;//原先是1/-1
}
//(2)parent所在的子树高度变了,1或者-1,是由0->1或0->-1
//插入之前两边一样高,现在一边高一边低,子树的整体高度变了,需要继续往上更新
else if (parent->_bf == 1 || parent->_bf == -1)
{
cur = parent;
parent = parent->_parent;
}
//(3)parent所在子树已经不平衡,需要旋转处理
else if (parent->_bf == 2 || parent->_bf == -2)
{
//旋转
//右单旋
if (parent->_bf == -2 && cur->_bf == -1)
{
RotateR(parent);
}
//左单旋
else if (parent->_bf == 2 && cur->_bf == 1)
{
RotateL(parent);
}
//左右单旋
else if (parent->_bf == -2 && cur->_bf == 1)
{
RotateLR(parent);
}
else if (parent->_bf == 2 && cur->_bf == -1)
{
RotateRL(parent);
}
else
{
assert(false);
}
break;
}
else
{
assert(false);
}
}
}
//右单旋
void RotateR(node* parent)
{
node* subL = parent->_left;
node* subLR = subL->_right;
subL->_right = parent;
parent->_left = subLR;
//subLR可能为空
if (subLR)
subLR->_parent = parent;
node* parentParent = parent->_parent;
parent->_parent = subL;
//若parent是根节点
if (parent == _root)
{
_root = subL;
subL->_parent = nullptr;
}
else
{
//parent不是根节点
if (parentParent->_left == parent)
{
parentParent->_left = subL;
}
else
{
parentParent->_right = subL;
}
subL->_parent = parentParent;
}
//修改平衡因子
parent->_bf = subL->_bf = 0;
}
//左单旋
void RotateL(node* parent)
{
node* subR = parent->_right;
node* subRL = subR->_left;
subR->_left = parent;
node* parentParent = parent->_parent;
parent->_right = subRL;
parent->_parent = subR;
if (subRL)
subRL->_parent = parent;
//让subR成为新的整棵树的根节点/子树的根节点
if (parent == _root)
{
_root = subR;
subR->_parent = nullptr;
}
else
{
if (parentParent->_left == parent)
{
parentParent->_left = subR;
}
else {
parentParent->_right = subR;
}
subR->_parent = parentParent;
}
//调整平衡因子
parent->_bf = subR->_bf = 0;
}
//左右双旋
void RotateLR(node* parent)
{
node* subL = parent->_left;
node* subLR = subL->_right;
int bf = subLR->_bf;
RotateL(subL);
RotateR(parent);
//修改平衡因子
if (bf == 0)
{
parent->_bf = 0;
subL->_bf = 0;
subLR->_bf = 0;
}
else if (bf == 1)
{
parent->_bf = 0;
subL->_bf = -1;
subLR->_bf = 0;
}
else if (bf == -1)
{
parent->_bf = 1;
subL->_bf = 0;
subLR->_bf = 0;
}
else
{
assert(false);
}
}
//右左双旋
void RotateRL(node* parent)
{
node* subR = parent->_right;
node* subRL = subR->_left;
int bf = subRL->_bf;
RotateR(subR);
RotateL(parent);
//更新平衡因子
if (bf == 0)
{
parent->_bf = 0;
subR->_bf = 0;
subRL->_bf = 0;
}
else if (bf == -1)
{
parent->_bf = 0;
subR->_bf = 1;
subRL->_bf = 0;
}
else if (bf == 1)
{
parent->_bf = -1;
subR->_bf = 0;
subRL->_bf = 0;
}
else
{
assert(false);
}
}
bool Find(size_t first)
{
node* cur = _root;
while (cur)
{
if (cur->_kv.first > first)
{
cur = cur->_left;
}
else if (cur->_kv.first < first)
{
cur = cur->_right;
}
else
{
return true;
}
}
return false;
}
int Size()
{
return _Size(_root);
}
void Inorder()
{
_Inorder(_root);
}
int TreeHigh()
{
return _TreeHigh(_root);
}
bool IsBalanceTree()
{
return _IsBalanceTree(_root);
}
private:
int _Size(node* root)
{
if (root == nullptr)
{
return 0;
}
return _Size(root->_left) + _Size(root->_right) + 1;
}
void _Inorder(node* root)
{
if (root == nullptr)
{
return;
}
_Inorder(root->_left);
cout << root->_kv.first << ":" << root->_kv.second <<endl;
_Inorder(root->_right);
}
int _TreeHigh(node* root)
{
if (root == nullptr)
{
return 0;
}
int lefthigh = _TreeHigh(root->_left);
int righthigh = _TreeHigh(root->_right);
return lefthigh > righthigh ? lefthigh + 1 : righthigh + 1;
}
bool _IsBalanceTree(node* root)
{
//空树也是AVL树
if (root == nullptr)
{
return true;
}
int leftHigh = _TreeHigh(root->_left);
int rightHigh = _TreeHigh(root->_right);
int diff = leftHigh - rightHigh;
//说明不是AVL树
if (abs(diff) >= 2 || rightHigh - leftHigh != root->_bf)
{
cout << root->_kv.first << "⾼度差异常" << endl;
return false;
}
return _IsBalanceTree(root->_left) && _IsBalanceTree(root->_right);
}
node* _root = nullptr;
};#define _CRT_SECURE_NO_WARNINGS 1
#include"AVL.h"
void TestAVLTree1()
{
ALVTree<int, int> t;
// 常规的测试例
//int a[] = { 16, 3, 7, 11, 9, 26, 18, 14, 15 };
// 特殊的带有双旋场景的测试用例
int a[] = { 4, 2, 6, 1, 3, 5, 15, 7, 16, 14 };
for (auto e : a)
{
if (e == 14)
{
int i = 0;
}
t.insert({ e,e });
//cout << e << "->" << t.IsBalanceTree() << endl;
}
t.Inorder();
cout << t.Size() << endl;
cout << t.IsBalanceTree() << endl;
}
// 插入一堆随机值,测试平衡,顺便测试一下高度和性能
void TestAVLTree2()
{
const int N = 100000;
vector<int> v;
v.reserve(N);
srand(time(0));
for (size_t i = 0; i < N; i++)
{
v.push_back(rand() + i);
}
size_t begin2 = clock();
ALVTree<int, int> t;
for (auto e : v)
{
t.insert(make_pair(e, e));
}
size_t end2 = clock();
cout << "Insert:" << end2 - begin2 << endl;
cout << t.IsBalanceTree() << endl;
cout << "Height:" << t.TreeHigh() << endl;
cout << "Size:" << t.Size() << endl;
size_t begin1 = clock();
// 确定在的值
/*for (auto e : v)
{
t.Find(e);
}*/
// 随机值
for (size_t i = 0; i < N; i++)
{
t.Find((rand() + i));
}
size_t end1 = clock();
cout << "Find:" << end1 - begin1 << endl;
}
int main()
{
//TestAVLTree1();
TestAVLTree2();
return 0;
}运行截图:

AVL树、红黑树本质上不用特别熟悉,手撕链表什么的代表代表你的能力。
这部分知道旋转和插入怎么做的即可。
૮₍ ˶ ˊ ᴥ ˋ˶₎ა