
DRUGONE
近年来,蛋白结构预测领域取得了突破性进展,从AlphaFold2到AlphaFold3,深度学习模型不断刷新我们对生命分子结构的认知。然而,一个更深层次的问题逐渐浮现:我们能否从"理解结构"迈向"创造结构"?
字节跳动Seed团队最新推出的SeedProteo,正是对这一问题的系统性回答。这项研究不仅展示了如何将顶尖的折叠架构转化为强大的生成设计框架,更在蛋白从头设计领域树立了新的标杆。

从折叠到生成:架构的巧妙转换
SeedProteo的核心创新在于巧妙地将AlphaFold3的折叠架构重新用于生成设计。研究人员面临一个关键挑战:折叠模型的编码器是基于序列的,但在生成任务中,序列信息是未知的。
团队提出了一个精妙的解决方案:通过引入自条件特征,将噪声坐标转化为1D序列表示,使模型能够在缺乏序列信息的情况下提取内在的几何关系。这种架构转换不仅保留了折叠模型的强大建模能力,还赋予了它创造新蛋白的能力。

SeedProteo 框架总体概览。
三大核心技术突破
传统方法通过原子坐标隐式推断氨基酸类型,容易混淆结构相似的氨基酸。SeedProteo引入全局马尔可夫随机场(MRF)模块,直接建模残基间的高阶耦合关系,确保生成的序列与全局骨架拓扑自洽。
SeedProteo接受包含三个标准字符(H、E、L)和掩码标记(X)的二级结构序列作为输入。模型能够处理任意生成的二级结构序列,即使是包含未知片段的序列,也能自适应地将其精炼为物理上合理的二级结构。
利用前一步的去噪结构作为结构模板进行自条件,通过将Cβ距离图转换为独热张量作为成对特征,有效稳定了结构采样轨迹。
性能全面领先:从单体生成到结合剂设计
无条件单体生成:长度泛化能力突破
在无条件单体生成任务中,SeedProteo展现了卓越的长度泛化能力。当序列长度达到1000个残基时,SeedProteo仍能保持超过60%的设计成功率,而基线方法在600个残基以上时成功率已降至接近零。
更令人印象深刻的是,SeedProteo在复杂拓扑结构上的表现:

结合剂设计:开源方法的性能巅峰
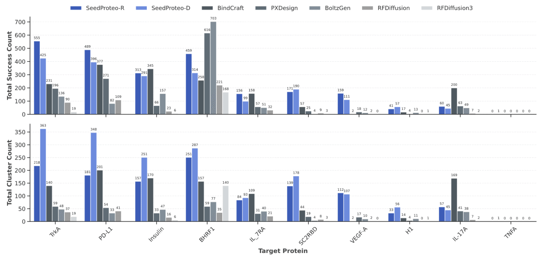
在10个基准靶蛋白的结合剂设计任务中,SeedProteo展现了全面领先的性能:
两种推理模式平衡设计成功率与多样性:

十个靶标蛋白上结合蛋白设计成功率与多样性的比较。基于 SeedFold 的 in silico 指标,对开源方法进行了基准评测。

结合蛋白设计基准中的结构新颖性(↓)。
关键性能指标:

共设计策略:
传统两阶段流程(骨架生成后逆折叠)在蛋白设计基准中占据主导地位,但SeedProteo的共设计策略在复杂靶点上展现出潜在优势。
一个典型案例是TNFα靶点:基于ProteinMPNN的方法几乎全部失败(0或1个成功),而SeedProteo的共设计方法能够生成有效的结合剂。这表明逆折叠模型倾向于陷入"安全"的局部最小值,而共设计能够学习更复杂的序列模式,突破结构瓶颈。
意义与展望
SeedProteo的意义不仅在于"又一个更强的蛋白设计模型",而在于它揭示了蛋白生成设计的深层原则:
这项工作为未来的蛋白基础模型、药物发现和生物技术应用提供了重要参考。随着蛋白设计从"理解自然"迈向"创造自然",SeedProteo展示了一条清晰的技术路径:不仅要更大,还要更统一。
参考资料