
在程序员的技术成长路上,缓存是绕不开的核心话题 —— 小到浏览器的本地存储,大到分布式系统的 Redis 集群,缓存的存在总能让数据访问速度实现质的飞跃。而在众多缓存替换算法中,LRU(Least Recently Used)绝对是 “明星选手”:它原理直观、实现高效,被广泛应用于操作系统、数据库、框架源码等各类场景。 如果你曾被 “如何设计一个 O (1) 时间复杂度的 LRU 缓存” 面试题难住,或是想深入理解 LRU 的底层逻辑,这篇文章将带你从 0 到 1 吃透 LRU Cache。下面就让我们正式开始吧!
在正式讲解 LRU 之前,我们得先搞懂两个核心问题:什么是缓存?为什么 LRU 算法能脱颖而出?
缓存(Cache)本质上是一种高速数据存储层,位于速度相差较大的两种硬件或系统之间,用于协调数据传输的速度差异。就像生活中常用的物品会放在桌面(高速缓存),不常用的会放进柜子(低速存储),缓存的核心思想是 “把最常用的数据放在最快的地方”。

从狭义到广义,缓存无处不在:
但缓存的容量始终是有限的 ——CPU 一级缓存可能只有几十 KB,Redis 实例的内存也有上限。当新数据需要存入,而缓存已经满了的时候,就必须 “踢掉” 一部分旧数据,这就是缓存替换策略要解决的问题。
常见的缓存替换算法有四种,我们用一个简单的例子对比它们的逻辑:假设缓存容量为 3,数据访问顺序是 1→2→3→4→2→5,看看每种算法会保留哪些数据:
算法 | 核心逻辑 | 最终缓存数据 | 优缺点 |
|---|---|---|---|
FIFO(先进先出) | 按数据存入顺序淘汰最早的 | 3、4、5 | 实现简单,但忽略数据访问频率,可能淘汰常用数据 |
LFU(最近最不常使用) | 淘汰访问次数最少的数据 | 2、4 、5 | 考虑访问频率,但需要统计次数,实现复杂,且不适合突发访问场景 |
OPT(最优替换) | 淘汰未来最久不会使用的数据 | 2、4、5 | 理论最优,但需要预知未来访问,实际无法实现 |
LRU(最近最少使用) | 淘汰最长时间未被使用的数据 | 2、4、5 | 兼顾直观性和高效性,无需统计次数,仅关注最近访问时间 |
可以看到,LRU 是性价比最高的选择:它的逻辑符合人类使用习惯(最近使用的 data 未来大概率还会被使用),且实现难度低、时间复杂度可控,完美平衡了 “效果” 和 “成本”,这也是它成为工业界首选的核心原因。
很多人会把 LRU 翻译成 “最近最少使用”,但更形象的理解是 “最久未使用”—— 算法的核心规则是:
举个生活中的例子:你的手机桌面只能放 3 个 APP,你先装了微信、抖音、淘宝(缓存:[微信,抖音,淘宝]);之后你打开了微信(访问操作),微信变成最近使用,缓存调整为 [抖音,淘宝,微信];接着你装了小红书(缓存满了),此时最久未使用的是抖音,所以抖音被淘汰,缓存变为 [淘宝,微信,小红书]—— 这就是 LRU 的核心逻辑。
要实现 LRU,关键是解决两个核心问题:
如果用常规数据结构实现,会遇到明显的效率瓶颈:
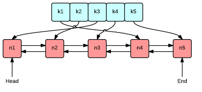
要实现 O (1) 时间复杂度的 get 和 put 操作,必须结合两种数据结构的优势,形成 “互补”:
这个组合的 “精妙之处” 在于:哈希表的 value 存储链表迭代器,使得我们可以通过 key 快速定位到链表中的节点,再通过双向链表的 O (1) 插入 / 删除操作调整节点顺序,最终实现所有操作的 O (1) 效率。
我们先明确 C++ 中具体的数据结构选型:
std::list<std::pair<int, int>>,每个节点存储(key, value)键值对 —— 因为淘汰链表尾部节点时,需要通过 key 删除哈希表中对应的记录;std::unordered_map<int, std::list<std::pair<int, int>>::iterator>,key 是缓存的 key,value 是链表节点的迭代器 —— 通过迭代器可以直接操作链表节点,无需遍历链表;size_t _capacity记录缓存的最大容量,当链表大小超过容量时,触发淘汰逻辑。
LRU 的核心操作有两个:get(获取数据)和 put(插入 / 更新数据),我们逐一拆解它们的执行流程。
get 操作的目标是:根据 key 查找缓存,如果存在则返回 value,并将该节点移动到链表头部(标记为最近使用);如果不存在则返回 - 1。
具体步骤:
auto hash_it = _hash_map.find(key);hash_it == _hash_map.end()),返回 - 1;std::pair<int, int> kv = *hash_it->second;_list.erase(hash_it->second))—— 双向链表删除已知迭代器的节点是 O (1);_list.push_front(kv))—— 标记为最近使用;_hash_map[key] = _list.begin())—— 因为节点位置变了,迭代器需要重新指向头部;put 操作的目标是:如果 key 已存在,则更新 value 并将节点移到头部;如果 key 不存在,则插入新节点到头部,若缓存已满则淘汰链表尾部节点。
具体步骤:
auto hash_it = _hash_map.find(key);hash_it != _hash_map.end()):① 通过迭代器获取链表节点std::pair<int, int> kv = *hash_it->second;② 更新节点的 value(kv.second = value);③ 从链表中删除该节点(_list.erase(hash_it->second));④ 将更新后的节点插入到链表头部(_list.push_front(kv));⑤ 更新哈希表中的迭代器(_hash_map[key] = _list.begin());hash_it == _hash_map.end()):① 检查缓存是否已满(_list.size() >= _capacity):a. 如果已满,获取链表尾部节点的 key(int delete_key = _list.back().first);b. 删除链表尾部节点(_list.pop_back())—— 淘汰最久未使用的数据;c. 删除哈希表中该 key 对应的记录(_hash_map.erase(delete_key));② 创建新的键值对节点,插入到链表头部(_list.push_front(std::make_pair(key, value)));③ 在哈希表中添加该 key 与链表头部迭代器的映射(_hash_map[key] = _list.begin())。可能有同学会问:为什么不用单链表?这里的关键是 “删除节点时需要前驱节点的指针”。
在单链表中,要删除一个节点,必须先找到它的前驱节点,这需要遍历链表(O (n) 时间);而双向链表的每个节点都有 prev 和 next 指针,通过迭代器可以直接获取前后节点的信息,删除操作只需修改两个指针,无需遍历,实现 O (1) 时间复杂度。
这也是双向链表在 LRU 实现中不可替代的原因 —— 它让节点的删除操作摆脱了对 “遍历查找前驱” 的依赖,完美配合哈希表实现高效操作。
基于上面的思路,我们来编写完整的 C++ 实现代码。代码将基于 LeetCode 第 146 题《LRU 缓存》的接口规范编写,大家可以直接提交进行验证。

#include <iostream>
#include <list>
#include <unordered_map>
#include <utility> // for std::make_pair
using namespace std;
class LRUCache {
public:
// 构造函数:初始化缓存容量
LRUCache(int capacity) {
_capacity = capacity;
}
// 获取key对应的value,不存在返回-1
int get(int key) {
// 1. 在哈希表中查找key
auto hash_it = _hash_map.find(key);
// 2. 未找到,返回-1
if (hash_it == _hash_map.end()) {
return -1;
}
// 3. 找到,获取链表节点的迭代器
auto list_it = hash_it->second;
// 4. 取出节点的键值对
pair<int, int> kv = *list_it;
// 5. 从链表中删除该节点
_list.erase(list_it);
// 6. 将节点插入到链表头部(标记为最近使用)
_list.push_front(kv);
// 7. 更新哈希表中的迭代器(指向新的头部位置)
_hash_map[key] = _list.begin();
// 8. 返回value
return kv.second;
}
// 插入或更新key对应的value
void put(int key, int value) {
// 1. 在哈希表中查找key
auto hash_it = _hash_map.find(key);
// 2. key已存在:更新value并移动到头部
if (hash_it != _hash_map.end()) {
// 获取链表节点迭代器
auto list_it = hash_it->second;
// 取出节点并更新value
pair<int, int> kv = *list_it;
kv.second = value;
// 从链表中删除该节点
_list.erase(list_it);
// 插入到头部
_list.push_front(kv);
// 更新哈希表迭代器
_hash_map[key] = _list.begin();
} else {
// 3. key不存在:插入新节点
// 检查缓存是否已满
if (_list.size() >= _capacity) {
// 缓存已满,淘汰链表尾部节点(最久未使用)
int delete_key = _list.back().first; // 获取尾部节点的key
_list.pop_back(); // 删除链表尾部节点
_hash_map.erase(delete_key); // 删除哈希表中的对应记录
}
// 插入新节点到链表头部
_list.push_front(make_pair(key, value));
// 在哈希表中添加映射
_hash_map[key] = _list.begin();
}
}
private:
// 双向链表:存储(key, value),头部是最近使用,尾部是最久未使用
list<pair<int, int>> _list;
// 缓存容量
size_t _capacity;
// 哈希表:key -> 链表节点的迭代器,实现O(1)查找
unordered_map<int, list<pair<int, int>>::iterator> _hash_map;
};
// 测试代码
int main() {
// 创建容量为2的LRU缓存
LRUCache cache(2);
// 执行测试用例(参考LeetCode示例)
cache.put(1, 1);
cout << "put(1,1) -> 缓存: [(1,1)]" << endl;
cache.put(2, 2);
cout << "put(2,2) -> 缓存: [(2,2), (1,1)]" << endl;
int res1 = cache.get(1);
cout << "get(1) -> " << res1 << ",缓存: [(1,1), (2,2)]" << endl; // 输出1
cache.put(3, 3);
cout << "put(3,3) -> 淘汰2,缓存: [(3,3), (1,1)]" << endl;
int res2 = cache.get(2);
cout << "get(2) -> " << res2 << endl; // 输出-1
cache.put(4, 4);
cout << "put(4,4) -> 淘汰1,缓存: [(4,4), (3,3)]" << endl;
int res3 = cache.get(1);
cout << "get(1) -> " << res3 << endl; // 输出-1
int res4 = cache.get(3);
cout << "get(3) -> " << res4 << ",缓存: [(3,3), (4,4)]" << endl; // 输出3
int res5 = cache.get(4);
cout << "get(4) -> " << res5 << ",缓存: [(4,4), (3,3)]" << endl; // 输出4
return 0;
}哈希表的 value 存储链表迭代器是整个实现的 “灵魂”—— 迭代器相当于链表节点的 “指针”,通过它可以直接定位到节点,无需遍历链表。当节点在链表中移动位置后,只需更新哈希表中的迭代器,就能保证下一次查找依然是 O (1) 时间。
需要注意的是:std::list的迭代器在节点插入 / 删除后不会失效(只要节点本身没被删除),这也是选择std::list而不是std::vector的重要原因 ——std::vector的迭代器在插入时可能因扩容失效,无法满足我们的需求。
无论是 get 还是 put 操作,只要数据被访问或更新,就需要移动到链表头部,这是 LRU “最近使用” 规则的体现。移动过程分为 “删除原节点” 和 “插入头部” 两步,都是 O (1) 时间,不会影响整体效率。
当缓存已满时,直接删除链表尾部节点 —— 因为链表尾部是最久未使用的数据,这完全符合 LRU 的淘汰规则。删除时必须同时删除哈希表中的对应记录,否则会出现 “哈希表中有 key,但链表中无节点” 的不一致情况。
运行上面的测试代码,输出如下:
put(1,1) -> 缓存: [(1,1)]
put(2,2) -> 缓存: [(2,2), (1,1)]
get(1) -> 1,缓存: [(1,1), (2,2)]
put(3,3) -> 淘汰2,缓存: [(3,3), (1,1)]
get(2) -> -1
put(4,4) -> 淘汰1,缓存: [(4,4), (3,3)]
get(1) -> -1
get(3) -> 3,缓存: [(3,3), (4,4)]
get(4) -> 4,缓存: [(4,4), (3,3)]结果与 LeetCode 示例是完全一致,证明我们的实现是正确的。
我们的实现中,get 和 put 操作的每一步都是 O (1) 时间复杂度:
std::unordered_map的平均时间复杂度);因此,get 和 put 操作的时间复杂度均为 O (1),这是 LRU 最理想的效率表现。
空间复杂度由缓存容量决定:
_capacity,空间复杂度 O (capacity);除了 “双向链表 + 哈希表”,还有几种常见的 LRU 实现方式,但效率都不如我们的方案:
std::map(红黑树)维护访问顺序,哈希表查找,时间复杂度 O (log n),实现复杂,不如双向链表高效。“双向链表 + 哈希表” 的组合是时间和实现复杂度的最优解,也是工业界的标准实现方式。
LRU 的应用场景远比我们想象的广泛,从底层系统到上层应用,都能看到它的身影:
@Cacheable注解、MyBatis 的一级缓存,默认都支持 LRU 缓存策略;LRU 是面试中的 “高频考点”,常见问题包括:
掌握本文的实现思路,就能轻松应对这类面试题。
我们的实现是非线程安全的,在单线程环境(如 LeetCode 测试)中完全没问题,但在多线程环境(如高并发服务)中会出现数据竞争。
解决方案:
std::mutex对 get 和 put 操作加锁,保证同一时间只有一个线程操作缓存;std::atomic)和 CAS(Compare And Swap)机制,实现无锁 LRU,适合高并发场景。示例(加锁版 get 操作):
int get(int key) {
std::lock_guard<std::mutex> lock(_mutex); // 自动加锁和解锁
auto hash_it = _hash_map.find(key);
if (hash_it == _hash_map.end()) {
return -1;
}
auto list_it = hash_it->second;
pair<int, int> kv = *list_it;
_list.erase(list_it);
_list.push_front(kv);
_hash_map[key] = _list.begin();
return kv.second;
}如果缓存中存储的是大数据(如大对象、长字符串),单纯的 LRU 可能会导致内存占用过高。优化方向:
精确 LRU 的实现需要双向链表和哈希表,在某些场景下(如超大容量缓存),可以使用近似 LRU 减少实现复杂度:
maxmemory-samples配置调整;缓存的本质是 “用空间换时间”,而 LRU 则是让这份 “空间” 发挥最大价值的最佳策略之一。希望这篇文章能帮助你真正吃透 LRU,在技术成长路上再添一个 “硬核技能”! 如果觉得本文对你有帮助,欢迎点赞、收藏、转发,也可以在评论区交流你的疑问或见解~