在算法竞赛和数据结构开发中,我们经常会遇到区间查询和单点修改的问题,比如求一个区间的和、最大值,或者修改某个位置的数值后再查询。如果用暴力解法,面对10^5级别的数据量和操作次数,时间复杂度会达到O(n),直接超时!而今天要讲的线段树,能把这些操作的时间复杂度都降到O(logn),堪称处理区间问题的 “神器”。 这篇文章作为线段树的入门教程,会从实际问题出发,一步步拆解线段树的引入、构建、区间查询、单点修改的核心原理,搭配完整的代码实现,新手也能轻松看懂!下面就让我们正式开始吧!
在学习一个新的数据结构前,我们先搞懂它能解决什么问题,这样才不会学的云里雾里。
假设我们有这样几个经典的区间问题,数据量都是n≤105,操作次数q≤105:
如果用普通数组来处理:
那有没有一种数据结构,能兼顾高效的区间查询和高效的单点修改?答案就是线段树!
线段树是一棵基于分治思想的二叉树,专门用来维护区间信息。它把一个大区间不断拆分成更小的子区间,每个节点都维护一个子区间的信息(比如和、最大值),通过树的层级结构,让查询和修改操作都能沿着树的路径快速完成,时间复杂度均为O(logn),完美适配大数据量的区间操作问题。
前置知识:学习线段树需要掌握二叉树、堆的存储方式,以及递归和分治思想,建议先打好这些基础再看本文。
在正式构建线段树前,我们先搞懂它的核心结构和性质,这是后续所有操作的基础。
线段树的每个节点都对应一个区间,节点中存储这个区间的统计信息(比如和、最大值、最小值),整体满足以下规则:
线段树是一棵完全二叉树(近似),因此可以用数组来静态存储,和堆的存储方式一致,这种方式实现简单,效率也高:
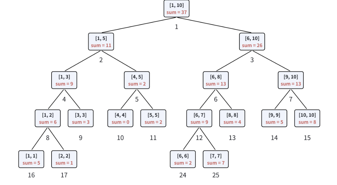
以数组a=[5,1,3,0,2,2,7,4,5,8](下标 1~10)为例,我们构建一个维护区间和的线段树,结构如下:

从这个例子能看出,线段树的构建过程就是不断分治拆区间,而查询和修改就是沿着分治的路径合并或更新信息。
线段树的构建是递归分治的过程:从根节点开始,不断将区间拆分为左右子区间,直到叶子节点(单个元素),再从叶子节点向上合并信息,最终得到整棵线段树。
首先定义线段树的节点结构,我们用结构体存储每个节点的左边界 l、右边界 r、区间和 sum;再定义原始数组和线段树数组,注意线段树数组开 4 倍大小。
完整 C++ 代码框架:
#include <iostream>
using namespace std;
// 定义常数,适配1e5级别的数据
#define N 100010
// 左孩子p*2,右孩子p*2+1
#define lc p << 1
#define rc p << 1 | 1
// 用long long防止求和溢出
typedef long long LL;
// 原始数组
LL a[N];
// 线段树节点:l左边界,r右边界,sum区间和
struct Node {
LL l, r, sum;
} tr[N << 2]; // 线段树数组开4倍
// 向上合并:用左右孩子更新当前节点的信息
void pushup(int p) {
tr[p].sum = tr[lc].sum + tr[rc].sum;
}
// 构建线段树:p为当前节点编号,l和r为当前节点维护的区间
void build(int p, int l, int r) {
// 初始化当前节点的区间和sum
tr[p] = {l, r, 0};
// 叶子节点:区间长度为1,sum等于原始数组的值
if (l == r) {
tr[p].sum = a[l];
return;
}
// 非叶子节点,分治构建左右子树
int mid = (l + r) >> 1; // 等价于(l+r)/2,位运算更快
build(lc, l, mid); // 构建左孩子:[l, mid]
build(rc, mid + 1, r); // 构建右孩子:[mid+1, r]
// 合并左右孩子的sum,更新当前节点
pushup(p);
}
int main() {
int n;
cin >> n;
// 输入原始数组(下标从1开始,方便线段树操作)
for (int i = 1; i <= n; i++) {
cin >> a[i];
}
// 构建线段树:根节点编号为1,维护区间[1, n]
build(1, 1, n);
return 0;
}tr[p].max = max(tr[lc].max, tr[rc].max);long long存储区间和,这是新手最容易踩的坑;区间查询是线段树的核心功能之一,比如查询[l,r]的和。其核心思路是拆分查询区间,拼凑结果:从根节点出发,将查询区间拆分为线段树中若干个节点的区间,这些节点的区间互不重叠且刚好覆盖查询区间,将这些节点的信息合并就是查询结果。
假设当前节点维护的区间为[nodel,noder],要查询的区间为[ql,qr],递归查询的规则如下:
还是以数组a=[5,1,3,0,2,2,7,4,5,8]的线段树为例,查询[3,8]的和:

从这个过程能看出,查询的路径始终沿着树的层级向下,不会遍历所有节点,时间复杂度为O(logn)。
在之前构建代码的基础上,添加区间查询的函数:
// 区间查询:p为当前节点编号,x和y为查询的区间[x, y]
LL query(int p, int x, int y) {
// 当前节点的区间
LL node_l = tr[p].l, node_r = tr[p].r;
// 规则1:完全包含,直接返回当前节点的sum
if (x <= node_l && node_r <= y) {
return tr[p].sum;
}
// 规则2:部分重叠,分治查询
LL res = 0; // 求和的无效值为0
int mid = (node_l + node_r) >> 1;
// 左孩子和查询区间有重叠,查询左孩子
if (x <= mid) {
res += query(lc, x, y);
}
// 右孩子和查询区间有重叠,查询右孩子
if (y > mid) {
res += query(rc, x, y);
}
// 返回合并后的结果
return res;
}我们用一个简单的例子测试构建和查询功能:
int main() {
// 测试:数组a[1~5] = [1,5,4,2,3]
int n = 5;
a[1] = 1, a[2] = 5, a[3] = 4, a[4] = 2, a[5] = 3;
// 构建线段树
build(1, 1, 5);
// 查询[2,5]的和:5+4+2+3=14
cout << query(1, 2, 5) << endl;
// 查询[1,4]的和:1+5+4+2=12
cout << query(1, 1, 4) << endl;
return 0;
}输出结果:
14
12完全符合预期,说明构建和查询的代码是正确的。
单点修改指的是修改原始数组中某个位置的数值,并同步更新线段树的信息。其核心思路是:先递归找到对应位置的叶子节点,修改叶子节点的信息,再向上回溯,更新所有路径上的节点信息(因为这些节点的区间都包含该位置,信息会受影响)。
假设要修改原始数组中位置pos的数值,增加k(如果是替换为某个值,可以先计算差值,再执行增加操作),递归修改的规则如下:
还是以数组a=[5,1,3,0,2,2,7,4,5,8]为例,将位置 6 的数(原值 2)增加 3,变为 5,线段树的更新过程:

在之前的代码基础上,添加单点修改的函数,支持将位置x的数值增加k:
// 单点修改:p为当前节点编号,x为要修改的位置,k为增加的数值
void modify(int p, int x, LL k) {
// 当前节点的区间
LL node_l = tr[p].l, node_r = tr[p].r;
// 规则1:找到叶子节点,修改sum
if (node_l == x && node_r == x) {
tr[p].sum += k;
return;
}
// 规则2:分治查找要修改的孩子
int mid = (node_l + node_r) >> 1;
if (x <= mid) {
// 左孩子包含x,修改左孩子
modify(lc, x, k);
} else {
// 右孩子包含x,修改右孩子
modify(rc, x, k);
}
// 规则3:向上更新当前节点的sum
pushup(p);
}链接:https://www.luogu.com.cn/problem/P3374

这是经典的单点修改 + 区间查询模板题,我们用线段树来解决这道题,检验我们的代码是否能应对实际问题。
已知一个数列,支持两种操作:
输入:
5 5
1 5 4 2 3
1 1 3
2 2 5
1 3 -1
1 4 2
2 1 4输出:
14
16#include <iostream>
using namespace std;
#define N 500010
#define lc p << 1
#define rc p << 1 | 1
typedef long long LL;
LL a[N];
struct Node {
LL l, r, sum;
} tr[N << 2];
void pushup(int p) {
tr[p].sum = tr[lc].sum + tr[rc].sum;
}
void build(int p, int l, int r) {
tr[p] = {l, r, a[l]};
if (l == r) return;
int mid = (l + r) >> 1;
build(lc, l, mid);
build(rc, mid + 1, r);
pushup(p);
}
void modify(int p, int x, LL k) {
LL l = tr[p].l, r = tr[p].r;
if (l == x && r == x) {
tr[p].sum += k;
return;
}
int mid = (l + r) >> 1;
if (x <= mid) modify(lc, x, k);
else modify(rc, x, k);
pushup(p);
}
LL query(int p, int x, int y) {
LL l = tr[p].l, r = tr[p].r;
if (x <= l && r <= y) return tr[p].sum;
LL sum = 0;
int mid = (l + r) >> 1;
if (x <= mid) sum += query(lc, x, y);
if (y > mid) sum += query(rc, x, y);
return sum;
}
int main() {
ios::sync_with_stdio(false);
cin.tie(0); // 加速cin,避免超时
int n, m;
cin >> n >> m;
for (int i = 1; i <= n; i++) {
cin >> a[i];
}
build(1, 1, n);
while (m--) {
int op, x, y;
cin >> op >> x >> y;
if (op == 1) {
// 单点修改:第x个数加y
modify(1, x, y);
} else {
// 区间查询:[x,y]的和
cout << query(1, x, y) << endl;
}
}
return 0;
}代码说明:
ios::sync_with_stdio(false); cin.tie(0);,用来加速 C++ 的输入输出,避免大数据量下的 cin 超时;线段树是算法竞赛中最常用、最强大的数据结构之一,虽然入门有一定难度,但只要理解了分治思想和节点信息的合并 / 更新逻辑,后续的进阶内容都会水到渠成。 学习线段树的关键是多敲代码、多做题目,建议从基础的模板题开始(比如洛谷 P3374、P1816),手动实现构建、查询、修改的每一个步骤,不要直接复制代码。当你能独立写出线段树的模板,并理解每一行代码的含义时,就算真正入门了! 后续我会继续更新线段树的进阶内容,比如懒标记、区间修改、维护最大值等,关注我,一起从入门到精通线段树!