On the Existence of Potential Landscape in the Evolution of
Complex Systems
复杂系统演化中潜在景观的存在性
https://arxiv.org/PS_cache/q-bio/pdf/0703/0703044v1.pdf


摘要:
一种最近发展的随机过程处理方法,为复杂系统的动力学演化构建了一个势能景观。由于在一般情况下势函数的存在性在文献中经常受到质疑,本文研究了该构建方法所涉及的几个核心理论问题。我们表明,这种新方法通过一种变换,与在理论物理许多分支中居于核心地位的辛结构密切相关。基于这一认识,我们揭示了该变换下的一种不变量。此外,我们还明确地在一维情况下,展示了这种新方法与伊藤(Ito)和斯特拉托诺维奇(Stratonovich)方法以及其他方法之间的显著区别。我们的结果强烈表明,统计物理中的这一方法在研究一般的随机复杂系统时具有广泛的应用价值。
引用已发表版本: P. Ao, C. Kwon, H. Qian, 2007, 论复杂系统演化中势能景观的存在性, 《复杂性》(Complexity)12: 19-27。
I 引言
随机微分方程(SDE)最初是在研究布朗运动时引入的,而布朗运动最早是在生物学中被发现的[1, 2]。在复杂系统领域的其他发展,从达尔文的进化论[3]、基因调控网络的动力学[4]、生化网络中的循环动力学[5],到景观范式[6],都表明SDE是一种描述广泛动力学过程的有效且有用的数学工具[2, 7]。生物学中的SDE与经典物理学中广泛研究的方程(通常称为朗之万方程)之间的一个显著区别,在于前者缺乏细致平衡条件。因此,是否存在具有局部和全局意义的势能景观,经常受到质疑[8]。
在研究噬菌体λ(一种杀死细菌的病毒)中涉及的基因开关的鲁棒性与稳定性时,我们其中一位研究者发现了一个嵌入在SDE中的数学结构。这一结构使得在存在涨落的情况下,能够直接量化系统的全局稳定性。这种独特的结构可将SDE转换为理论物理学家所熟悉的数学形式。转换后的SDE包含一个势函数、一个摩擦矩阵、一个横向力以及随机噪声,同时噪声与摩擦之间存在类似于涨落-耗散关系的联系[9, 10]。这四个动力学组成部分均可从原始SDE构造性地获得。
这一数学结构及相关变换具有直接的应用价值。借助该方法,噬菌体λ基因开关的稳定性这一长期悬而未决的问题已得到解决[4]。更具体地说,在噪声存在的情况下,动力系统中两个不动点的相对稳定性可以被唯一地确定。该数学结构与物理学的联系,以及在不动点(无论是稳定还是不稳定)附近的详细行为,已得到较为详尽的分析[11]。然而,人们也注意到,在更一般的情况下,这种新变换可能给出与传统SDE积分方法(如伊藤积分或斯特拉托诺维奇积分)不同的结果[9, 11]。这种独特的结构暗示了另一种新的随机积分方式。本文的目的正是探讨这一可能性,并将其置于统计物理的框架下进行理解。通过这种方式,明确提出了将统计物理应用于复杂动力系统的思路。
下文安排如下:第二节首先总结从标准SDE到变换后随机微分方程的转换过程。第三节指出该变换的一个有趣不变量,表明该变换可能具有更深的数学根源。第四节在一维特殊情形下明确展示该变换过程,该情形在文献中已有解析结果,并与伊藤积分和斯特拉托诺维奇积分进行比较。第五节讨论其对各种实际应用的意义,第六节为结论。附录中提供了一些数学细节。
II. 变换回顾









从方程 (1) 到 (3) 的转换相当显著,因为原始的随机微分方程 (SDE) 在方程 (1) 中没有显式的势函数,被转换为由势 ϕ 控制的动态方程,该势可以在不实际求解时间依赖方程的情况下获得。通常假设零概率流或详细平衡作为势条件在从方程 (1) 到方程 (3) 的过程中并不需要。
如前所述,通过这种方式获得的结果依赖于概率密度

的偏微分方程,这通常与基于伊藤或斯特拉托诺维奇随机积分的结果不同。因此,自然会产生几个问题:这种差异能否更清楚地展示?这种转换是否有进一步的影响?
在接下来的内容中,我们尝试从两个不同的角度对这些问题给出肯定的演示:转换的不变性和对SDE的处理。
III. 转换的不变性
在此,我们希望指出在从方程 (1) 转换为 (3) 的过程中,势函数的一个不变性,该转换在朗之万方程 (方程 (6)) 和福克-普朗克方程(克鲁姆-克拉默斯方程)(方程 (7)) 的框架内进行,这两个方程是描述物理中非平衡过程的两个最重要的方程。这个不变性表明,当前转换的通用性质深深植根于统计物理中。
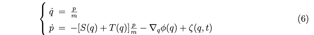
让我们考虑以下在物理中熟悉的非线性随机动力学,一个仅作用于一半状态变量的噪声的例子:




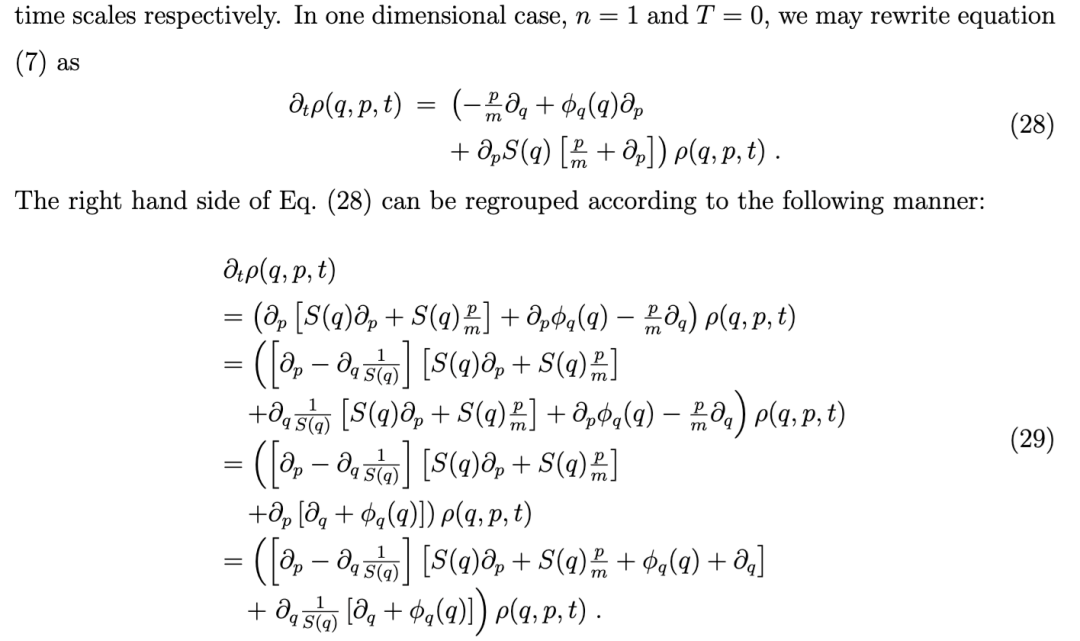
IV. 随机微分方程的处理
方程(6)中的动量项可以被消去,从而得到如下方程:


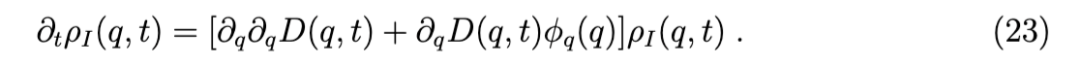
II. 伊藤过程。伊藤随机积分[14]是马尔可夫过程和鞅的严格实现:没有先前动态的记忆效应,也没有来自未来的信息。通常的微分和积分规则在这里不能直接应用。幸运的是,这种情况已经被详细研究过。相应的福克-普朗克方程,从方程 (20) [15] 是:

下标 I 表示方程 (23) 符合伊藤过程。如果存在的话,稳态分布将是,如果存在的话,稳态分布将是。

III. 斯特拉托诺维奇过程。在斯特拉托诺维奇随机积分中,通常的微分和积分规则仍然适用[16]。这意味着如此定义的随机过程是一个马尔可夫过程,但不是鞅。同样地,随机积分已经完成,对应的福克-普朗克方程由方程(20)得出[17]:


V. 讨论
通过各种极限过程来积分形式为方程 (1)、(19) 或 (20) 的随机微分方程 (SDE),哪一种是正确的呢?答案并不令人惊讶,必须根据手头的实际问题来确定程序,而在实际情况中,任何一种都可能是正确的[2, 7, 12, 22]。我们通过例子来说明这一点。
应该强调的是,数学上已经证明,一般来说,可以构造非白噪声,其极限过程可以导致具有不同 Wong-Zakai 校正的不同随机积分[19]。我们还注意到,在一维情况下,方程 (22) 对应于在时间间隔结束时评估函数的选择。更高维度的情况会有所不同[29]。伊藤过程,方程 (23),是选择初始点,而不窥视未来。斯特拉托诺维奇过程,方程 (25),是选择中间点。
显然,从物理学的角度来看,第一种过程似乎是自然的选择:经常遇到的小质量极限。它导致了已知的斯莫卢霍夫斯基方程[2, 7, 12]。物理学中有许多实验支持这种方法。我们希望指出,方程 (6) 的形式允许推广到更复杂的情况,如着色噪声,如在耗散动力学中所做的那样[23, 24]。这也是最近发展的一种介观开放系统非平衡热力学中使用的形式[25]。
从工程学的角度来看,一切都会被视为连续过程的极限,因此斯特拉托诺维奇过程会是自然的选择。实际上,已经进行了模拟实验来检查这种情况。结果与斯特拉托诺维奇随机积分非常一致[26]。
从群体遗传学家的角度来看,伊藤过程似乎更适合模拟种群动态。实际上,这种观点已经详细地进行了[27, 28]。然而,我们并不知道有任何精确的比较实验/经验数据和理论计算,可以确定伊藤过程是这种情况下适当的描述。
值得指出的是,与第三节中讨论的不变性相关,在方程 (6) 对应的福克-普朗克方程中,方程 (7),由于方程 (11) 和 (14) 中表达的特殊代数结构,不需要区分第四节中讨论的所有那些随机过程。这进一步倾向于将当前过程视为“自然”的过程。
VI. 结论
在本文中,我们明确展示了当前随机微分方程积分方法与经典方法在一维情况下的差异。虽然我们相信所有这些积分方法本身都是一致的,但我们确实指出,当前过程具有一定的优势,这通过转换的不变性和零质量极限得到了证明。因此,复杂系统中势能景观的存在有了更坚实的理论基础。
附录:方程 (21) 的三种推导
方程 (21) 中的偏微分方程的特定形式在文献中没有被广泛讨论。由于它在我们对势能景观的研究中扮演了重要角色,我们提供了三种推导,这些推导与通常处理随机微分方程的方法无关[19]。方程 (21) 向更高维度的扩展在参考文献[10]中讨论。
第一次推导
在这里,我们为一维情况下方程 (21) 的推导提供一些物理和数学上的论证。方程 (23) 和 (25) 的推导在文献中有很好的记录。感兴趣的读者应该参考 van Kampen[2]、Gardiner[7] 或 Risken[12] 等人的教科书。
我们注意到方程 (6) 有一个替代表达式。









第三次推导
第一种推导可能看起来过于直观,而第二种推导可能过于正式。人们可能会想知道是否存在一种更加程序化的推导方法。答案是肯定的。在这里,我们提供了这样一种推导方法,其中小质量极限中的高阶修正可以系统地获得。
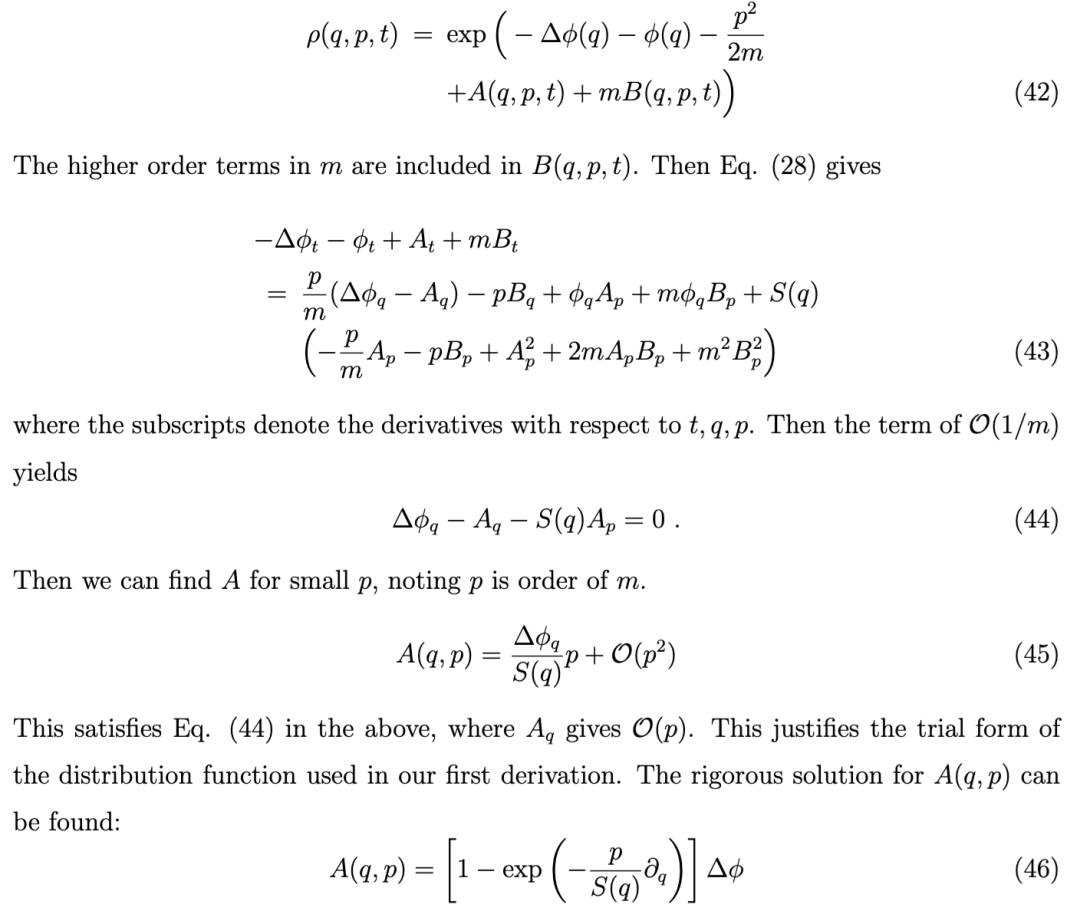
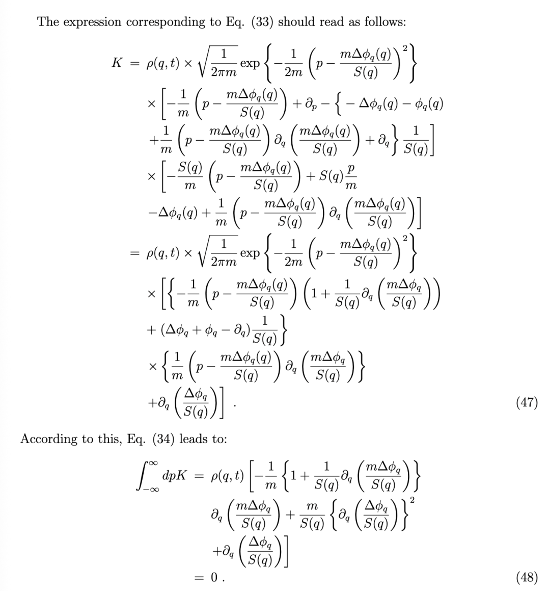
试探分布函数在公式(30)、(31)中被假设。我们将在公式(28)的克莱因-克拉默方程基础上,证明它确实是正确的解。 首先,我们写出

我们仅取 p 的一阶项。尽管如此,我们指出,通过匹配方程 (43) 中相应的阶数,这一过程可以扩展到更高阶。

它恰好是零,而不是像方程 (34) 中的近似零。同样,在零质量极限下,方程 (21) 成立。
上述演示明显表明,本文讨论的新的随机积分过程与过阻尼动力学、斯莫卢霍夫斯基极限有着密切的联系。它们在一维情况下是相同的,但在一般情况下,高维情况下会有所不同,这将在其他地方讨论。
原文链接:https://arxiv.org/PS_cache/q-bio/pdf/0703/0703044v1.pdf