一句话答案:伯努利朴素贝叶斯专为二值特征设计,只关心词“是否出现”,不计频次。在短文本、关键词检测场景中,比多项式NB更精准!
如果你在搜索:
那么,这篇文章就是为你写的——从0/1向量到分类决策,一步不跳。
朴素贝叶斯家族三大成员,适用场景截然不同:
算法类型 | 特征类型 | 核心逻辑 | 最佳场景 |
|---|---|---|---|
多项式朴素贝叶斯 | 词频计数(1,2,3...) | “这个词出现了几次?” | 长文本、新闻分类 |
伯努利朴素贝叶斯 | 二值特征(0/1) | “这个词有没有出现?” | 短文本、关键词检测、垃圾邮件 |
高斯朴素贝叶斯 | 连续数值 | “这个值符合什么分布?” | 身高、温度等连续数据 |

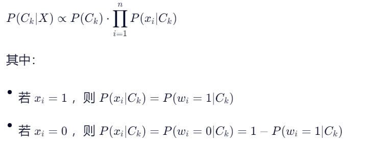
我们要计算:

根据贝叶斯定理和独立性假设:


邮件ID | 内容(分词后) | 二值向量(词汇表:["免费", "赢", "会议", "项目"]) | 类别 |
|---|---|---|---|
1 | ["免费", "赢"] | [1, 1, 0, 0] | 垃圾 (1) |
2 | ["免费"] | [1, 0, 0, 0] | 垃圾 (1) |
3 | ["会议", "安排"] | [0, 0, 1, 0] | 正常 (0) |
4 | ["项目", "进展"] | [0, 0, 0, 1] | 正常 (0) |
5 | ["免费", "会议"] | [1, 0, 1, 0] | 垃圾 (1) |
目标:预测新邮件
["赢", "项目"]→ 二值向量[1, 1, 0, 1]属于哪个类别?
[1, 1, 0, 1] 的后验概率新邮件特征:


✅ 结论:0.02304 > 0.00625 → 判定为 垃圾邮件 (1)
尽管“项目”是正常词,但“赢”的出现(在垃圾邮件中概率更高)起了决定性作用。
from sklearn.naive_bayes import BernoulliNB
from sklearn.feature_extraction.text import CountVectorizer
# 数据
texts = [
"免费 赢",
"免费",
"会议 安排",
"项目 进展",
"免费 会议"
]
labels = [1, 1, 0, 0, 1] # 1=垃圾, 0=正常
# 向量化(二值化)
vectorizer = CountVectorizer(binary=True) # 关键:binary=True
X = vectorizer.fit_transform(texts)
# 训练
clf = BernoulliNB(alpha=1.0)
clf.fit(X, labels)
# 预测
new_text = vectorizer.transform(["赢 项目"])
pred = clf.predict(new_text)
print("预测结果:", "垃圾邮件" if pred[0] == 1 else "正常邮件")
# 输出: 垃圾邮件import numpy as np
from collections import defaultdict
class BernoulliNB:
def __init__(self, alpha=1.0):
self.alpha = alpha
def fit(self, docs, labels):
# 构建词汇表
vocab = set(word for doc in docs for word in doc)
self.vocab = {word: i for i, word in enumerate(vocab)}
self.n_vocab = len(vocab)
# 统计
class_doc_count = defaultdict(int)
word_doc_count = defaultdict(lambda: np.zeros(self.n_vocab))
for doc, label in zip(docs, labels):
class_doc_count[label] += 1
unique_words = set(doc)
for word in unique_words:
if word in self.vocab:
word_doc_count[label][self.vocab[word]] += 1
# 先验概率
total_docs = len(labels)
self.priors = {label: count / total_docs for label, count in class_doc_count.items()}
# 条件概率(伯努利,带平滑)
self.cond_prob = {}
for label in class_doc_count:
n_docs = class_doc_count[label]
smoothed_count = word_doc_count[label] + self.alpha
smoothed_total = n_docs + 2 * self.alpha
self.cond_prob[label] = smoothed_count / smoothed_total
def predict(self, docs):
predictions = []
for doc in docs:
scores = {}
unique_words = set(doc)
for label in self.priors:
log_score = np.log(self.priors[label])
for word in self.vocab:
idx = self.vocab[word]
if word in unique_words:
log_score += np.log(self.cond_prob[label][idx])
else:
log_score += np.log(1 - self.cond_prob[label][idx])
scores[label] = log_score
predictions.append(max(scores, key=scores.get))
return predictions
# 使用
docs = [["免费","赢"], ["免费"], ["会议","安排"], ["项目","进展"], ["免费","会议"]]
nb = BernoulliNB(alpha=1.0)
nb.fit(docs, [1,1,0,0,1])
print(nb.predict()) # 输出: [1]import java.util.*;
public class BernoulliNaiveBayes {
private Map<String, Integer> vocab = new HashMap<>();
private Map<Integer, Double> priors = new HashMap<>();
private Map<Integer, double[]> condProb = new HashMap<>();
private int vocabSize;
private double alpha;
public BernoulliNaiveBayes(double alpha) {
this.alpha = alpha;
}
public void fit(List<List<String>> docs, List<Integer> labels) {
// 构建词汇表
Set<String> wordSet = new HashSet<>();
for (List<String> doc : docs) {
wordSet.addAll(doc);
}
int idx = 0;
for (String word : wordSet) {
vocab.put(word, idx++);
}
vocabSize = vocab.size();
// 统计每个类别的文档数
Map<Integer, Integer> classDocCount = new HashMap<>();
for (int label : labels) {
classDocCount.put(label, classDocCount.getOrDefault(label, 0) + 1);
}
// 统计每个词在各类中出现的文档数
Map<Integer, int[]> wordDocCount = new HashMap<>();
for (int label : classDocCount.keySet()) {
wordDocCount.put(label, new int[vocabSize]);
}
for (int i = 0; i < docs.size(); i++) {
int label = labels.get(i);
Set<String> uniqueWords = new HashSet<>(docs.get(i));
for (String word : uniqueWords) {
if (vocab.containsKey(word)) {
int wIdx = vocab.get(word);
wordDocCount.get(label)[wIdx]++;
}
}
}
// 先验概率
int totalDocs = labels.size();
for (int label : classDocCount.keySet()) {
priors.put(label, (double) classDocCount.get(label) / totalDocs);
}
// 条件概率(伯努利平滑)
for (int label : classDocCount.keySet()) {
double[] prob = new double[vocabSize];
int nDocs = classDocCount.get(label);
for (int i = 0; i < vocabSize; i++) {
prob[i] = (wordDocCount.get(label)[i] + alpha) / (nDocs + 2 * alpha);
}
condProb.put(label, prob);
}
}
public int predict(List<String> doc) {
Set<String> uniqueWords = new HashSet<>(doc);
Map<Integer, Double> scores = new HashMap<>();
for (int label : priors.keySet()) {
double logScore = Math.log(priors.get(label));
for (String word : vocab.keySet()) {
int wIdx = vocab.get(word);
if (uniqueWords.contains(word)) {
logScore += Math.log(condProb.get(label)[wIdx]);
} else {
logScore += Math.log(1 - condProb.get(label)[wIdx]);
}
}
scores.put(label, logScore);
}
return Collections.max(scores.entrySet(), Map.Entry.comparingByValue()).getKey();
}
// 测试
public static void main(String[] args) {
List<List<String>> docs = Arrays.asList(
Arrays.asList("免费", "赢"),
Arrays.asList("免费"),
Arrays.asList("会议", "安排"),
Arrays.asList("项目", "进展"),
Arrays.asList("免费", "会议")
);
List<Integer> labels = Arrays.asList(1, 1, 0, 0, 1);
BernoulliNaiveBayes nb = new BernoulliNaiveBayes(1.0);
nb.fit(docs, labels);
List<String> testDoc = Arrays.asList("赢", "项目");
int prediction = nb.predict(testDoc);
System.out.println("预测结果: " + (prediction == 1 ? "垃圾邮件" : "正常邮件"));
// 输出: 垃圾邮件
}
}优点 | 缺点 |
|---|---|
✅ 专为短文本、关键词存在性优化 | ❌ 忽略词频信息(长文本可能损失信号) |
✅ 对稀疏数据鲁棒 | ❌ 词汇表需预定义,OOV词无法处理 |
✅ 计算高效,内存占用小 | ❌ 假设词独立,忽略上下文 |
✅ 在垃圾邮件、恶意URL检测中表现优异 | ❌ 平滑参数需调优 |
算法 | 数据类型 | 关键参数 | 何时选用 |
|---|---|---|---|
高斯NB | 连续数值 | 均值μ、标准差σ | 身高、温度、成绩等连续特征 |
多项式NB | 词频计数 | 词频、拉普拉斯平滑 | 新闻分类、长文本情感分析 |
伯努利NB | 二值特征(0/1) | 文档出现次数、平滑 | 垃圾邮件、短文本、关键词检测 |
💡 经验法则:
伯努利朴素贝叶斯用最简单的0/1逻辑,解决了最关键的关键词识别问题。它不关心“说了多少”,只关心“有没有说”——而这,往往是判断意图的第一道防线。
记住:在AI的世界里,有时存在即意义。
现在,你已经能:
关键词:机器学习、伯努利朴素贝叶斯、Bernoulli Naive Bayes、二值特征、垃圾邮件检测、短文本分类、拉普拉斯平滑、Python 伯努利朴素贝叶斯、Java 伯努利朴素贝叶斯、手动计算
相关链接
无论你是想写代码调用 API 的开发者,设计 AI 产品的 PM,评估技术路线的管理者,还是单纯好奇智能本质的思考者,这里都有值得你驻足的内容。 不追 hype,只讲逻辑;不谈玄学,专注可复现的认知。 让我们一起,在这场百年一遇的智能革命中,看得更清,走得更稳 https://cloud.tencent.com/developer/column/107314
原创声明:本文系作者授权腾讯云开发者社区发表,未经许可,不得转载。
如有侵权,请联系 cloudcommunity@tencent.com 删除。
原创声明:本文系作者授权腾讯云开发者社区发表,未经许可,不得转载。
如有侵权,请联系 cloudcommunity@tencent.com 删除。