HyperGraph- and SuperHyperGraph-Based Molecular Models: Weighted, Rough, Neural, and Multipolar Frameworks
超图与超超图分子模型:加权、粗糙、神经及多极框架
https://chemrxiv.org/doi/pdf/10.26434/chemrxiv-2025-gb6gq


摘要
我们提出了一个统一的集合论框架,通过迭代幂集将分子图扩展为超图和超超图。我们定义了分子图、分子超图和分子超超图,并在其上开发了四种补充框架:加权、粗糙、神经和多极框架。我们证明了简洁的包含关系结果——最值得注意的是,加权分子超超图严格包含加权分子超图和(未加权的)分子超超图——同时在规范嵌入下保持交替路径距离。简洁的示例(例如,甲烷、乙醇、乙酸)说明了原子、键、官能团和高阶模体如何在秩约束下作为顶点、超边和超超边出现。我们还提供了用于可变元相互作用的与实现无关的消息传递规则,使得化学和化学生物学中的性质预测和层次分析成为可能。
关键词
粗糙分子图,分子图,加权分子图,超超图,超图,神经网络
1 预备知识
本节汇总了全文中使用的基本概念与符号。除非另有明确说明,所讨论的所有集合均为有限集。
1.1 幂集和迭代幂集
对于集合 S,幂集P(S) 是 S 的所有子集的族,包括空集和 S 本身。S 的 n 次迭代幂集是通过从 S 开始连续应用幂集运算 n 次而得到的 [1,2]。



1.2 超图和超超图
超图通过允许每条超边连接顶点集的任意非空子集,扩展了普通图论,从而捕捉实体之间的高阶关系 [7–11]。超超图通过迭代幂集构造将这一想法进一步推进,使得顶点和边本身可以是从基集的连续幂中提取的集合,从而实现多层和自指连接模式 [12–15]。由于这种表达能力,超超图最近在各个领域引起了越来越多的兴趣和应用 [16–21]。
定义 1.6(超图)。[7, 22] 给定一个有限顶点集 VV,超图是一个二元组

1.3 分子超图和超超图
分子图是一种用于表示分子的数学结构,其中原子被建模为顶点,化学键被建模为边 [24–29]。分子超图表示分子,其中顶点是原子,超边表示多原子相互作用或分子子结构 [30–32]。分子超图的定义如下所示。
定义 1.10(分子超图)。[33] 分子超图是一个节点和超边标记的超图,用于建模分子的原子和键合结构。形式上,一个分子超图:







2 主要结果
在本节中,我们提出了本文的主要贡献,即生物网络、生物超网络和生物超超网络的定义及具体示例。
2.1 加权分子超超图
2.1.1 加权分子图
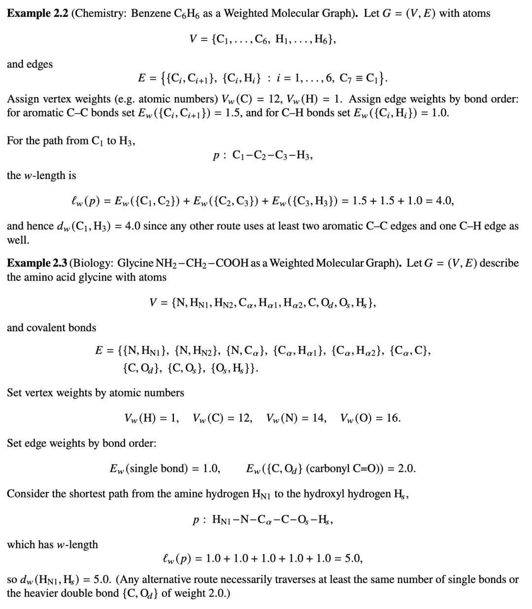
加权分子图是一种分子图,其中顶点和边分别表示原子和键,每个都被赋予捕捉化学性质的数值权重(参见 [34–39])。
定义 2.1(加权分子图)。加权分子图是一个有限简单无向图


2.1.2 加权分子超图
一种分子超图,其中原子超边和键节点带有标签和权重,通过定量结构描述符对多原子相互作用进行建模。


注 2.5(两种等价的表述)。存在两种有用的(关联对偶)表述:
两者之间的转换是通过二分关联图上的标准关联对偶实现的;我们在能简化证明的地方分别使用这两种表述。


此处共价键被归一化至接近 1.0,羰基键稍强(1.2),而氢键较弱(0.30)。氧超边比碳超边具有更高的遍历代价;氢的代价最低。
一条具有诊断价值的交替路径始于氢键,终于酸性 O–H 键:







2.2 粗糙分子超超图
2.2.1 粗糙分子图
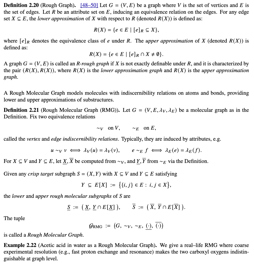
粗糙集(Rough Set)提供了一种数学工具,通过近似元素集合来处理不确定信息 [40–42]。粗糙图(Rough Graph)将粗糙集理论扩展到图中,其中关系(边)的不确定性通过下近似和上近似来表示 [43–45]。








2.2.2 粗糙分子超图
我们将粗糙近似提升到分子超图层面,允许在键(在以键为中心的表述中即为超图顶点)和原子(即超边)上存在不可分辨性。全文中,我们基于一个固定的分子超图




由于溶液中所有的环碳原子(及其关联键)在实验上是不可分辨的,因此无法确定地断言任何特定的碳位点:下 RMHG 为空。然而,任何碳位点都是可能的,所以上 RMHG 包含所有六个碳超边,相应地,也包含所有 C–C 键和 C–H 键。这与真实的苯的情形相符,即在观测时间尺度上,快速的保对称动力学使得位点标记被平均化。



2.2.3 粗糙分子超超图
一种带有下近似和上近似的层级分子超超图,在粗糙集理论下对不确定的原子相互作用和嵌套分子子结构进行建模。

例 2.39(乙酸 - 水氢键作为一种 RMSHG)。我们展示了一个具体的实际粗糙分子超超图(RMSHG),它构建于带有一个水分子的溶剂化乙酸 CH3COOH 之上。氢键随机地形成和断裂;我们通过粗糙(下/上)近似来捕捉这种不确定性。






由于供体/受体角色快速交换且两个单体不可区分,无法确定地断言任何单一的定向氢键(下RMSHG不包含任何氢键)。然而,两种定向氢键超边都是可能的(上RMSHG包含两者),这忠实地反映了真实环状二聚体的对称、动态变化的氢键网络。



2.3 分子图神经网络
2.3.1 分子超图神经网络
分子图神经网络是在图上运行的深度学习框架,其中原子被视为顶点,化学键被视为边,使得能够通过迭代消息传递来学习分子性质 [51–55]。分子超图神经网络将这一思想扩展到超图,其中超边同时连接多个原子,允许模型捕捉比普通图更高阶的化学相互作用和更复杂的结构基元 [31, 56, 57]。


预测与任务。经过 T 层后,一个置换不变的读出产生一个图级表示,用于诸如水溶性 (logS) 等性质:

2.3.2 分子超超图神经网络



2.4 多极分子图
2.4.1 多极分子图
多极分子图是结合了球谐多极系数的分子图,允许以数学上严谨的方式表示原子位置和权重,从而产生旋转不变的分子形状描述符。
定义 2.50(具有几何结构和权重的分子图)。具有几何结构的分子图是一个元组




2.4.2 多极分子超图
多极分子超图将这一思想扩展到超图,其中原子超边和键节点同时携带权重和多极展开,从而捕捉具有内置几何不变性的多原子相互作用和结构基元。
定义 2.57(具有几何结构和权重的分子超图)。具有几何结构的分子超图是一个元组




2.4.3 多极分子超超图
多极分子超超图通过将多极描述符嵌入到分层超超图结构中,进一步推广了这些构造,统一了图、超图和多级超超图框架,并使得能够跨越多个结构尺度对复杂分子系统进行更深层的表示。






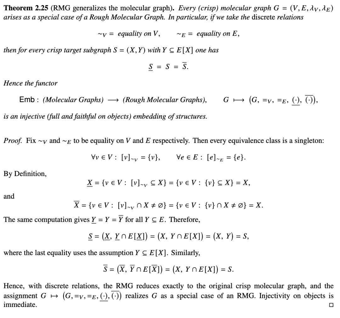
3 结论
在本文中,我们研究了用于分子图、分子超图和分子超超图的加权、粗糙、神经和多极框架。在未来,我们期望研究将在本文所处理的图概念的扩展方面取得进展,包括融合模糊图 [58–60]、直觉模糊图 [61–63]、中智图 [64–66]、双向图 [67–69]、四划分中智图 [70–73]、五划分中智图 [74, 75] 以及胎盘生成图 [76–78]。