首页
学习
活动
专区
圈层
工具
发布
首页
学习
活动
专区
圈层
工具
MCP广场
社区首页 >问答首页 >Matlab (或R)中带有指示函数的双积分?

Matlab (或R)中带有指示函数的双积分?
EN

Stack Overflow用户
提问于 2015-10-30 17:14:26
回答 1查看 574关注 0票数 0

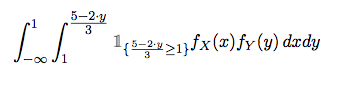
我需要计算这个双积分:

其中f(x)和f(y)是R.Va和y分布的密度(它们是按正规分布,相互独立)。

用Matlab。我试过了

我试过这个:

代码语言:javascript
运行
复制
fun = @(x,y)((5-2*y)/3)*((1./sqrt(4*pi))*exp(-(x-2)^(2)/4))*((1./sqrt(8*pi))*exp(-(x-1)^(2)/8))
xmax = @(y)(5-2*y)/3
q = integral2(fun,-Inf,1,1,xmax)

但不起作用。

有什么建议吗?(我不是Matlab专家)如果不是Matlab,用R就可以了。

EN

回答 1

Stack Overflow用户

回答已采纳

发布于 2015-10-30 17:36:46

您的函数fun不允许向量化输入,这意味着一次评估多个输入。例如:

代码语言:javascript
运行
复制
fun([1,2],[3,4])

预期产出将是

代码语言:javascript
运行
复制
[fun(1,3),fun(2,4)]

要解决这个问题,您必须使用元素级操作,这是通过错误消息向您建议的:

使用^输入的错误必须是标量矩阵和方阵。若要计算元素级幂,请使用幂(.^)代替.

票数 0
EN
页面原文内容由Stack Overflow提供。腾讯云小微IT领域专用引擎提供翻译支持
原文链接:

https://stackoverflow.com/questions/33441441

复制
相关文章

相似问题

领券
问题归档专栏文章快讯文章归档关键词归档开发者手册归档开发者手册 Section 归档