好事发生
这里推荐一篇实用的文章:https://cloud.tencent.com/developer/article/2465556?shareByChannel=link
《使用Python实现深度学习模型:智能食品包装设计》
这篇文章介绍了如何使用Python构建一个用于智能食品包装设计的深度学习模型。主要内容包括数据准备、模型构建、训练、评估和预测应用。作者展示了如何通过卷积神经网络(CNN)进行包装图像分类,利用数据增强提升模型的泛化能力,并最终实现对新图像的预测。此技术可提升包装设计的效率和质量,为消费者提供更个性化和智能化的体验。这种智能化设计有望在未来的食品包装中得到更广泛的应用。
论文:MVAN: Multi-view attention networks for real money trading detection in online games 里分析了在网游中存在的真实金钱交易行为。(Real money trading)这种交易行为,用真实世界的货币交换虚拟世界中的资产,导致游戏经济的不平衡和贫富不均。
论文中主要提出了一种新的模型MVAN(Multi-view Attention Networks),通过利用多种数据源检测真实的金钱交易。
这个模型主要包括以下几个部分:
这个模型主要用来分析游戏《逆水寒》里面的交易行为。
在MMORPG游戏中,不同的角色会有不同的特征。例如外貌,性别,名字,等级等等。在这些游戏当中,玩家会在虚拟世界中追逐富有。这样一种需求,会催生出真实的金钱交易行为(real money trading, RMT)在RMT行为中,通常有三种不同的角色:
这三种RMT行为的角色,被称为RMTers。
这种RMT行为,会危害游戏内的正常交易行为,同时会损害MMORPG游戏的声誉。如果要检测RMT的存在,有如下几个挑战点:
下图为交易行为的发生情况:

本论文的贡献有四个方面:
该游戏中有以下信息:
使用了逆水寒中共227,148个角色(时间跨度为11月1日到12月31日),其中:
gold farmers | gold bankers | gold buyers |
|---|---|---|
12,529 | 1,549 | 2,737 |
构建了5个图:交易图、设备分享图、交友图、团队图、聊天图

同时,论文中把相邻1个节点的相关性图画出来:

每一个角色的行为都包含一系列的事件信息,具体包含三个主要的特征:
下图展示了三个不同的RMTers的行为序列:

每个slot代表不同的事件,红色代表交易事件
角色的属性之前就提过,包括等级,性别,游戏分数等等。
下图展示了RMTers在不同属性中的表现:

该模型主要由四个部分所构成,模型结构图如下:

这四个不同的结构包括:
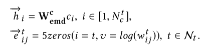
在GAT网络中,使用embedding矩阵$M_{emd}^c$来对节点$c_i$进行向量化。同时使用5个维度的向量来表征边状态和权重。这5个维度就是上面所说的交易图(ta)、设备分享图(ds)、交友图(fr)、团队图(tm)、聊天图(ct),从而得到每个节点的表征:

其中$i$和$j$表示不同的角色节点。

看上面这张图已经比较明显可以解释过程了。这部分首先把每个节点特征向量化为$\vec{hi}$,同时计算节点$i$和节点$j$之间的关系,即$W_g\vec{h_i}||W_g\vec{h_j}$。然后再利用softmax求出对应的注意力权重$a{ij}^t$。唯一和GAT不同的地方在于,这篇论文引入了新的5维度向量$\vec{e_{ij}^t}$,使得模型学习到更多的信息。
这里主要使用了两个Bi-LSTM模型,其实也就是一个双重Attention mechanism。
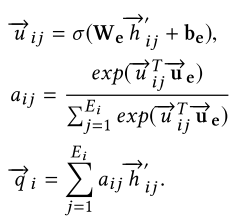
第一个Bi-LSTM称为Event Encoder,它的输入为$e_{ij},j \in E_i$,其中$i$为某个任务(quest),$j$为该任务中发生的事件(event)。具体的任务和事件如下图:

之后通过Bi-LSTM进行转换,然后利用attention转换得到基于事件的输出。

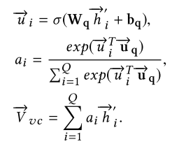
第二个Bi-LSTM主要针对的是任务(quest)的输入,把第一个Bi-LSTM得到的事件输出进行输入后,再次通过一个attention mechanism进行转换得到最后的输出。

假设有任务Q个,每个任务就有E个事件,这样就构成了两个Bi-LSTM网络了。
综上所述,这两个attention都比较简单。
这里主要使用了CNN模型,输入的是角色的属性,输入构成成$T * P$的形式。$T$为时间,$P$为对应的角色属性。

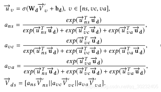
最后把三种输出进行拼接:

其中$ns$、$vc$、$va$分别对应于三个网络结构的输出,然后再引入一次attention mechanism形成三个不同的注意力权重$a$,最后把注意力权重进行拼接得到$\vec{V_{ds}}$
然后利用交叉熵进行输出:


该模型在三个不同的RMTers识别中,都达到了最优的效果。
论文中展示了几个attention中的权重:

下图为在图网络中的权重注意力矩阵:

它们分别有以下几个高相关性的特征:
原创声明:本文系作者授权腾讯云开发者社区发表,未经许可,不得转载。
如有侵权,请联系 cloudcommunity@tencent.com 删除。
原创声明:本文系作者授权腾讯云开发者社区发表,未经许可,不得转载。
如有侵权,请联系 cloudcommunity@tencent.com 删除。