

聚合物衍生陶瓷(PDCs)技术因其可调控组成、微观结构与性能而备受关注,其中热解方法对陶瓷的结晶行为与微观结构具有关键影响。传统热解工艺如管式炉热解存在加热与冷却周期长、能耗高等问题,限制了其在大规模或高性能陶瓷制备中的应用。近年来,快速热解技术(如微波热解、激光热解、闪烧等)逐渐兴起,这些方法在促进晶粒生长、改变结晶峰等方面表现出显著优势。焦耳热冲击作为一种新兴的超快热解技术,能在毫秒级时间内实现高温(最高达3000°C),但其对硅基聚合物热解过程中微观结构与结晶行为的影响尚未系统研究,尤其是在碳化硅(SiC)陶瓷的制备中。
论文概要
2026年1月20日,中国科学院大学张宗波 、罗永明在期刊ACS Omega上发表题为“Crystallization Behavior of Polycarbosilane Derived SiC Ceramics with Ultra-Fast Joule Thermal Shock”的研究论文。本研究采用焦耳热冲击技术,成功实现了聚碳硅烷前驱体(VHPCS)在1秒内的超快陶瓷化,突破了传统管式炉热解耗时长的瓶颈。该技术通过脉冲式电阻加热,在毫秒间实现目标高温(如1400°C)并快速冷却,极大提升了热解效率。研究发现,这种极速的热历程不仅显著改变了产物的微观结构——在相同温度下获得了更大晶粒尺寸(6.6 nm vs. 4.1 nm)和更高缺陷碳含量,还因“局部热点”效应导致了独特的晶粒双峰分布。这些结构变化进一步影响了SiC陶瓷的抗氧化性能。本工作证实了焦耳热冲击作为一种高效制备方法,在调控聚合物衍生陶瓷结晶行为与性能方面的巨大潜力。
图文解读

图1:VHPCS热解制备SiC陶瓷的示意图与过程表征
图1展示了焦耳热冲击制备SiC陶瓷的实验装置与热冲击过程。图1a为样品制备示意图,VHPCS涂覆于碳纤维基底并连接电极;图1b为热冲击过程中高温与低温状态的光学照片;图1c为热冲击过程示意图;图1d为单次热冲击(约500 ms)的温度时序曲线。该图直观呈现了焦耳热冲击的快速升温与可控性,为后续微观结构分析提供了工艺基础。

图2:VHPCS及其热解产物的结构表征与陶瓷产率
图2a为VHPCS的¹H NMR谱图,显示其含有乙烯基结构;图2b为1000°C焦耳热解后样品的FT-IR谱图,与固化VHPCS相比,有机特征峰消失,出现非晶SiC的宽吸收带;图2c为不同热解方法下的陶瓷产率对比,焦耳热冲击样品产率略低,可能与超快加热促进挥发性物质释放有关。该结果说明焦耳热冲击可实现快速且近乎完全的聚合物‑陶瓷转变。

图3:不同温度与热冲击次数下SiC陶瓷的XRD谱图与晶粒尺寸分析
图3a‑d为1000°C至1400°C下不同热冲击次数样品的XRD谱图,显示1200°C以上出现β‑SiC衍射峰,且焦耳热冲击样品峰宽更窄、强度更高;图3e为1400°C下30次冲击后(111)晶面的峰分解图,显示双峰拟合,表明存在大小两种晶粒;图3f为XRD计算所得晶粒尺寸,焦耳热冲击样品晶粒尺寸更大。该图证实焦耳热冲击促进SiC结晶与晶粒生长。

图4:1400°C焦耳热冲击后SiC陶瓷的TEM图像
图4a‑d为不同区域的TEM图像,显示晶粒尺寸分布不均匀,存在约6 nm的小晶粒与约13 nm的大晶粒,印证了XRD中观察到的双峰分布。该结果归因于热冲击过程中的局部热点效应,促进了局部区域的碳热还原与晶粒粗化。

图5:焦耳热冲击与管式炉热解样品的拉曼光谱与碳缺陷分析
图5a、b分别为两种方法热解样品的拉曼光谱,焦耳热冲击样品ID/IG比值更高,表明碳结构更无序;图5c为1300°C与1400°C下G峰与D'峰的拟合结果;图5d为碳缺陷密度(ND)对比,焦耳热冲击样品ND显著更高。这说明快速热解抑制了有序石墨碳的形成,促进了缺陷碳结构的生成。

图6:1400°C热解样品的XPS全谱与C 1s谱图分析
图6a为XPS全谱,显示Si、C、O元素特征峰;图6b为C 1s谱图中化学键占比统计;图6c、d分别为焦耳热冲击与管式炉热解样品的C 1s分峰结果。焦耳热冲击样品C‑C键含量更高,进一步证实其碳结构更无序,与拉曼结果一致。

图7:不同温度热冲击与管式炉热解样品的TEM图像与SAED图谱
图7a‑e分别为1000°C至1400°C热冲击及1400°C管式炉热解样品的TEM图像,显示随着温度升高,SiC晶格条纹逐渐清晰,晶粒尺寸增大;图7f为1400°C热冲击样品的SAED图谱,确认β‑SiC晶相存在。TEM结果直观展示了热解条件对结晶行为的调控作用。

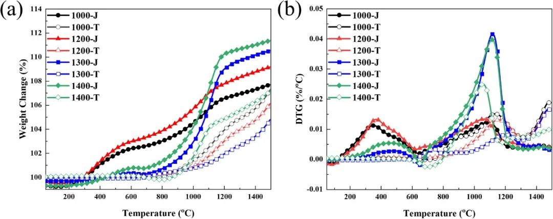
图8:焦耳热冲击与管式炉热解SiC陶瓷的热重分析曲线
图8a、b分别为空气气氛下的TGA与DTG曲线。焦耳热冲击样品在300–400°C出现更明显的氧化增重,且在1500°C下增重更高,说明其抗氧化性较低,与缺陷碳结构促进氧扩散有关。
总结展望
总之,本研究通过焦耳热冲击技术实现了VHPCS的超快热解,系统揭示了该策略对SiC陶瓷结晶行为与微观结构的调控机制。研究指出,快速热解抑制了有序石墨碳的形成,促进了缺陷碳结构的生成,从而减弱了碳对SiC晶粒生长的限制作用,显著提升了结晶度与晶粒尺寸。同时,热冲击过程中的局部热点效应导致晶粒尺寸双峰分布,进一步影响了陶瓷的氧化行为,表现为更高的氧化增重与较差的抗氧化性。该工作不仅为PDCs工艺提供了一种高效、节能的替代路线,也为通过热解动力学调控陶瓷微结构提供了理论依据。未来可探索焦耳热冲击在不同聚合物前驱体体系中的普适性,并进一步优化工艺以平衡结晶度与抗氧化性能。
文献信息:Crystallization Behavior of Polycarbosilane Derived SiC Ceramics with Ultra-Fast Joule Thermal Shock. Chutong ChenYongming Luo*Pengfei LiYongming LiZongbo Zhang*Caihong Xu. ACS Omega, 2026.
深圳中科精研致力推广的超快高温焦耳热冲击技术,是材料科学领域的一项革命性突破。该技术基于焦耳定律,通过对材料施加瞬时大电流,可在毫秒至秒级时间内实现3000℃以上的超高温快速加热,具备无与伦比的升温速率与精准控温能力。
这项技术实现了对材料制备过程的极限调控,为新材料合成与性能优化开辟了新路径。相较于马弗炉、管式炉等传统加热方式,我们在效率与工艺可控性上实现了跨越式突破,助力科研与产业向更高效、更精准的方向迈进。
深圳中科精研——以尖端焦耳加热技术,推动材料未来。
原创声明:本文系作者授权腾讯云开发者社区发表,未经许可,不得转载。
如有侵权,请联系 cloudcommunity@tencent.com 删除。
原创声明:本文系作者授权腾讯云开发者社区发表,未经许可,不得转载。
如有侵权,请联系 cloudcommunity@tencent.com 删除。