首页
学习
活动
专区
圈层
工具
发布
首页
学习
活动
专区
圈层
工具
MCP广场
社区首页 >问答首页 >R- Stat_compare_means不适合于ggplot吗?

R- Stat_compare_means不适合于ggplot吗?
EN

Stack Overflow用户
提问于 2022-03-08 23:59:29
回答 1查看 146关注 0票数 2

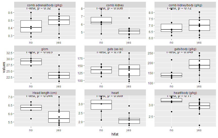
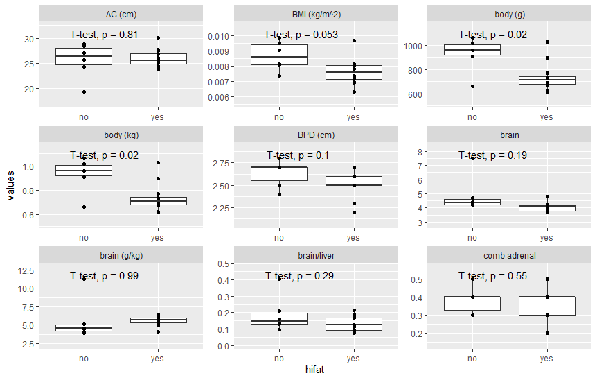
我正在观察两个治疗组(高脂或不高脂饮食)豚鼠的生物学数据,当我facet_wrap盒图和添加stat_compare_means (t.test)功能时,p值被切断。当我删除scales=“空闲”时,它仍然切断p值。我使用这个函数来移动措辞,但是由于所有的图都有不同的标度,例如在y=1,一个固定的值将强制所有的轴都是相同的。会喜欢任何指导的。

代码语言:javascript
运行
复制
library(tidyverse)
library(ggforce)
library(ggpubr)
ex <- data.frame(hifat=rep(c('yes','no'),each=8),
    treat=rep(rep(c('bmi','heart'),4),each=4),
    value=rnorm(32) + rep(c(3,1,4,2),each=4))

ex %>% 
  ggplot(aes(x = hifat,
           y = value)) +
  geom_boxplot() +
  geom_point() +
  stat_compare_means(method = "t.test") +
  facet_wrap(~ treat, scales = "free")
EN

回答 1

Stack Overflow用户

发布于 2022-03-09 00:55:35

解决了!感谢每一个提出建议的人,对我来说最有效的答案是将y轴的最大值扩大30%,以便给单词适当的空间。此外,从Jared学习position_nudge函数也是有效的。

代码语言:javascript
运行
复制
ggplot(data = all_selected_long, 
       aes(x = hifat,
           y = values)) +
  geom_boxplot() +
  geom_point() +
  scale_y_continuous(expand = expansion(mult = .3)) +
  stat_compare_means(method = "t.test") +
  facet_wrap_paginate(~ measurement, scale = "free", ncol = 3, nrow = 3, page = 1)

票数 2
EN
页面原文内容由Stack Overflow提供。腾讯云小微IT领域专用引擎提供翻译支持
原文链接:

https://stackoverflow.com/questions/71402836

复制
相关文章

相似问题

领券
问题归档专栏文章快讯文章归档关键词归档开发者手册归档开发者手册 Section 归档