如何制作混合模型的森林样地及其置信区间。我试过这段代码
Model = lme (fixed = score~ Age+Sex+yearsofeducation+walkspeed,
random = ~1|ID,
data=DB,
na.action = na.omit, method = "ML",
)
plot_summs (model)然而,我希望森林地块中的OR以递减的方式排序。谢谢你的帮助。
发布于 2022-06-06 02:02:38
我只是在Bolker的最佳答案中再添加一个选项:using the modelsummary package. (免责声明:我是作者)。
使用该包,可以使用modelplot()函数创建林图,并使用coef_map参数重命名和重新排序系数。如果您正在估计logit模型,并希望获得赔率比,则可以使用exponentiate参数。
在coef_map向量中插入系数的顺序,从下到上,在绘图中对它们进行排序。例如:
library(lme4)
library(modelsummary)
mod <- lmer(mpg ~ wt + drat + (1 | gear), data = mtcars)
modelplot(
mod,
coef_map = c("(Intercept)" = "Constant",
"drat" = "Rear Axle Ratio",
"wt" = "Weight"))

发布于 2022-06-06 01:31:46
我称之为“系数图”,而不是“森林图”。(当您比较许多不同研究的相同效果的估计值时,在元分析中使用森林地块。)
示例设置
这是一个有点愚蠢的例子,但应该足够接近你的(我不清楚你为什么提到OR (=比数比?),这些通常是逻辑回归的结果.?)
library(nlme)
mtcars <- transform(mtcars, cylgear = interaction(cyl, gear))
m1 <- lme(mpg ~ disp + hp + drat + wt + qsec,
random = ~1|cylgear,
data = mtcars)系数图:斑点须
您可以直接从dotwhisker包中获得您想要的内容,但是它不会对效果进行排序(据我所知,也不容易):
library(dotwhisker)
library(broom.mixed) ## required to 'tidy' (process) lme fits
dwplot(m1, effects = "fixed")系数图:潮汐图
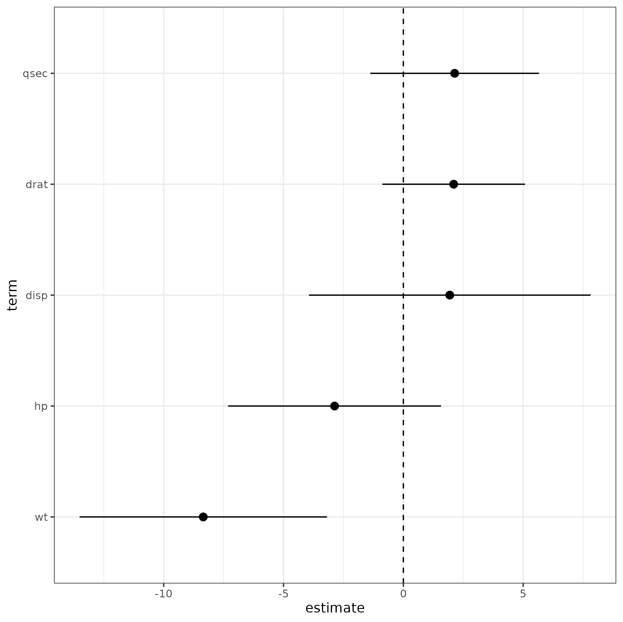
我通常自己处理,因为我更喜欢增加灵活性。
library(tidyverse)
tt <- (m1
## extract estimates and CIs
|> tidy(effects = "fixed", conf.int = TRUE)
## usually *don't* want to compare intercept (dwplot does this automatically)
|> filter(term != "(Intercept)")
## scale parameters by 2SD - usually necessary for comparison
|> dotwhisker::by_2sd(data = mtcars)
## take only the bits we need, rename some (cosmetic)
|> select(term, estimate, lwr = conf.low, upr = conf.high)
## order terms by estimate value
|> mutate(across(term, ~reorder(factor(.), estimate)))
)
gg0 <- (ggplot(tt,
aes(estimate, term))
+ geom_pointrange(aes(xmin = lwr, xmax = upr))
+ geom_vline(xintercept = 0, lty = 2)
)
print(gg0)

这里唯一剩下的/可能的棘手问题是,如果你有类似大小的正系数和负系数,该怎么办。如果您想按绝对值排序,那么
|> mutate(across(term, ~reorder(factor(.), estimate,
FUN = function(x) mean(abs(x)))虽然这有点难看。
如果你喜欢的话,你可以用forcats::fct_reorder来代替reorder。
https://stackoverflow.com/questions/72509941
复制相似问题