首页
学习
活动
专区
圈层
工具
发布
首页
学习
活动
专区
圈层
工具
MCP广场
社区首页 >问答首页 >关于如何在本地运行Gekko优化的逐步指南

关于如何在本地运行Gekko优化的逐步指南
EN

Stack Overflow用户
提问于 2022-09-20 03:17:31
回答 1查看 90关注 0票数 2

我对编程很陌生,我的第一个Python项目是非线性编程。我正在使用的Gekko优化套件,我有一切正常运行,但需要指导如何准确地在本地运行它。下面是文档所提供的解释和代码,但是我需要一些帮助来帮助我自己如何准确地完成它,以及它到底意味着什么。请表现得像在向小孩子或金毛猎犬解释一样。

run目录m.path包含模型文件gk0_model.apm以及远程(默认)或本地(m=GEKKO(remote=False))运行优化问题所需的其他文件。使用m.open_folder()打开run目录。run目录还包含诊断文件,如如果解决程序找不到解决方案时生成的infeasibilities.txt。可以更改默认的run目录:

代码语言:javascript
运行
复制
from gekko import GEKKO
import numpy as np
import os
# create and change run directory
rd=r'.\RunDir'
if not os.path.isdir(os.path.abspath(rd)):
    os.mkdir(os.path.abspath(rd))
m = GEKKO(remote=False)         # solve locally
m.path = os.path.abspath(rd)   # change run directory
EN

回答 1

Stack Overflow用户

发布于 2022-09-20 05:45:04

局部求解

代码语言:javascript
运行
复制
m=GEKKO(remote=False)

在本地运行Gekko所需的唯一选项是remote=False。对于remote=False,不需要互联网连接。不需要更改run目录。m.path的默认目录是在临时文件夹中创建的,用于存储编译为字节码的文件。可以使用m.open_folder()访问此文件夹。

基于Intranet服务器的本地解决方案

代码语言:javascript
运行
复制
m=GEKKO(remote=True,server='http://10.0.0.10')

有一个APMonitor服务器选项(参见Windows APMonitor服务器Linux服务器)用于remote=Trueserver=http://10.0.0.10 (更改为本地Intranet服务器的IP )。这是一个本地计算引擎,运行控制和优化问题的微处理器。这对于没有足够内存或CPU能力来解决优化问题的计算体系结构是有用的,但是当需要在本地解决时。这是一个边缘计算选项,用于在所需的周期时间内完成解决方案(例如,模型预测控制器)。有些组织使用此选项拥有多个连接到一个计算引擎的客户端。可以升级此计算服务器,以便所有客户端自动使用更新的版本。

远程解决

代码语言:javascript
运行
复制
m=GEKKO(remote=True)

公共服务器可以作为默认的server选项使用。使用remote=True (默认选项),Gekko将优化问题发送到远程服务器,然后返回解决方案。公共服务器正在运行一个Linux服务器,但是附加的解决器选项由于分发限制而不在本地选项中。

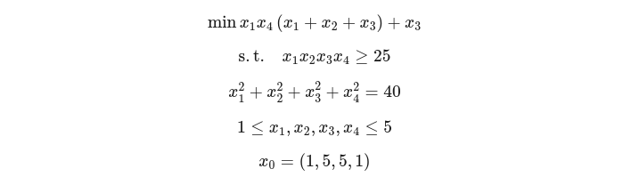
示例Gekko和Scipy优化最小解决方案

GEKKO是一个用于机器学习和优化混合整数和微分方程(见文件)的package .它与线性、二次、非线性和混合整数规划(LP,QP,NLP,MILP,MINLP)的大规模求解器耦合.操作方式包括参数回归、数据协调、实时优化、动态仿真和非线性预测控制.GEKKO是一个面向对象的Python库,以便于APMonitor的本地执行。下面是一个使用remote=False (本地解决方案模式)的简单优化示例。MacOS、Windows和Linux都有本地选项。其他架构需要使用remote=True选项。

Python

代码语言:javascript
运行
复制
from gekko import GEKKO
m = GEKKO(remote=False)
x = m.Array(m.Var,4,value=1,lb=1,ub=5)
x1,x2,x3,x4 = x
# change initial values
x2.value = 5; x3.value = 5
m.Equation(x1*x2*x3*x4>=25)
m.Equation(x1**2+x2**2+x3**2+x4**2==40)
m.Minimize(x1*x4*(x1+x2+x3)+x3)
m.solve()
print('x: ', x)
print('Objective: ',m.options.OBJFCNVAL)

优化最小化

代码语言:javascript
运行
复制
import numpy as np
from scipy.optimize import minimize

def objective(x):
    return x[0]*x[3]*(x[0]+x[1]+x[2])+x[2]

def constraint1(x):
    return x[0]*x[1]*x[2]*x[3]-25.0

def constraint2(x):
    sum_eq = 40.0
    for i in range(4):
        sum_eq = sum_eq - x[i]**2
    return sum_eq

# initial guesses
n = 4
x0 = np.zeros(n)
x0[0] = 1.0
x0[1] = 5.0
x0[2] = 5.0
x0[3] = 1.0

# show initial objective
print('Initial Objective: ' + str(objective(x0)))

# optimize
b = (1.0,5.0)
bnds = (b, b, b, b)
con1 = {'type': 'ineq', 'fun': constraint1} 
con2 = {'type': 'eq', 'fun': constraint2}
cons = ([con1,con2])
solution = minimize(objective,x0,method='SLSQP',\
                    bounds=bnds,constraints=cons)
x = solution.x

# show final objective
print('Final Objective: ' + str(objective(x)))

# print solution
print('Solution')
print('x1 = ' + str(x[0]))
print('x2 = ' + str(x[1]))
print('x3 = ' + str(x[2]))
print('x4 = ' + str(x[3]))

附加示例

还有许多附加的Python中的优化包和附加的Gekko教程基准问题。另一个例子是混合整数线性规划解决方案。

代码语言:javascript
运行
复制
from gekko import GEKKO
m = GEKKO(remote=False)
x,y = m.Array(m.Var,2,integer=True,lb=0) 
m.Maximize(y)
m.Equations([-x+y<=1,
             3*x+2*y<=12,
             2*x+3*y<=12])
m.options.SOLVER = 1
m.solve()
print('Objective: ', -m.options.OBJFCNVAL)
print('x: ', x.value[0])
print('y: ', y.value[0])

APOPT求解器是一种混合整数非线性规划(MINLP)求解器(也解决了MILP问题),并作为MacOS、Linux和Windows的本地求解器包括在内。

票数 1
EN
页面原文内容由Stack Overflow提供。腾讯云小微IT领域专用引擎提供翻译支持
原文链接:

https://stackoverflow.com/questions/73781278

复制
相关文章

相似问题

领券
问题归档专栏文章快讯文章归档关键词归档开发者手册归档开发者手册 Section 归档