首页
学习
活动
专区
圈层
工具
发布
首页
学习
活动
专区
圈层
工具
MCP广场
社区首页 >问答首页 >如何将R中一组离散变量的所有可能值组合在一起?

如何将R中一组离散变量的所有可能值组合在一起?
EN

Stack Overflow用户
提问于 2020-07-16 04:10:27
回答 1查看 32关注 0票数 0

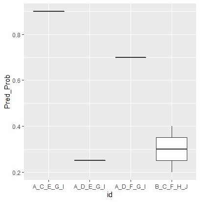
我有一个数据框架,其中包含五个二重预测变量、一个相依二分变量和一列预测概率:

代码语言:javascript
运行
复制
  F1 F2 F3 F4 F5 Pred_Prob
1 A  D  E  G  I       0.25
2 B  C  F  H  J       0.3
3 A  C  E  G  I       0.9
4 B  C  F  H  J       0.4
5 B  C  F  H  J       0.2
6 A  D  F  G  I       0.7

我想得到每一个可能组合的二元变量的预测概率集合,然后在盒子和晶须图中绘制概率。我在R里怎么做?

EN

回答 1

Stack Overflow用户

回答已采纳

发布于 2020-07-16 04:18:11

代码语言:javascript
运行
复制
library(tidyverse)

dat <- read.table(text="F1 F2 F3 F4 F5 Pred_Prob
      A  D  E  G  I       0.25
      B  C  F  H  J       0.3
      A  C  E  G  I       0.9
      B  C  F  H  J       0.4
      B  C  F  H  J       0.2
      A  D  F  G  I       0.7", header=TRUE)

 d2 <- dat %>% unite(id, -Pred_Prob)

 ggplot(d2) + geom_boxplot(aes(x=id, y=Pred_Prob))

票数 1
EN
页面原文内容由Stack Overflow提供。腾讯云小微IT领域专用引擎提供翻译支持
原文链接:

https://stackoverflow.com/questions/62927299

复制
相关文章

相似问题

领券
问题归档专栏文章快讯文章归档关键词归档开发者手册归档开发者手册 Section 归档