首页
学习
活动
专区
圈层
工具
发布
首页
学习
活动
专区
圈层
工具
MCP广场
社区首页 >问答首页 >收敛失败:不收敛的迭代极限(10)

收敛失败:不收敛的迭代极限(10)
EN

Stack Overflow用户
提问于 2020-01-01 08:26:11
回答 1查看 4.9K关注 0票数 2

我很难得到一条特殊的曲线来拟合nls模型的数据。

这是数据的公式:

代码语言:javascript
运行
复制
((b1 * ((b2 * x)^b4)) / (1 + ((b2 * x)^b4)))^(b3 / b4)

我使用带有随机算法的nls2包来查找输入值。

代码语言:javascript
运行
复制
library(nls2)

#FORMULA
eq <- y ~ (b1 * ((b2 * x)^b4)) / (1 + ((b2 * x)^b4))^(b3 / b4)

#LIMITS
values <- data.frame(
b1 = c(60, 63)
b2 = c(0, 0.05)
b3 = c(0, 1)
b4 = c(0, 0.9)

fit <- nls2(eq, 
data = .data, 
start = values, 
algorithm = "random", 
control = mls.control(maxiter = 1000))

nls(eq, .data, start = coef(fit), alg = "port", lower = 0)
plot(.data)

这些价值应该是:

代码语言:javascript
运行
复制
b1 = 62.2060
b2 = 0.0438
b3 = 0.9692
b4 = 0.8693

然而,当我试图运行代码时,我总是以一条错误消息结束:Convergence Failure: Iteration limit reached without convergence (10)

如何避免收敛失败的错误?任何帮助都是非常感谢的。谢谢。

EN

回答 1

Stack Overflow用户

回答已采纳

发布于 2020-01-01 09:22:33

0。TLDR

您没有在lowerupper中设置nls绑定,因此没有得到收敛的结果。如果你设置它们,你就会在边界附近得到一个结果。查看我在最后一段中编写的代码.

实际上,即使设置了边界,由于数据质量不好的(样本大小很小,不符合公式),很难在真正的b1、'b2‘、'b3’和b4附近拟合一个最优值。参见非技术原因

1.收敛失败的非技术性原因

我认为您的代码是正确的,这种收敛失败是由于您的数据质量或您对公式的错误说明。

一般来说,你很难用6点来估计4个参数。如果你有很好的数据符合你的模型,nlm将收敛。在您的情况下,要么您的数据是错误的,要么您的公式规格偏差是巨大的。

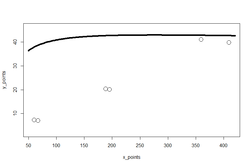
我画了一个图谋给你看:

代码语言:javascript
运行
复制
# generate a line using true parameters:b1,b2,b3,b4
b1 = 62.2060
b2 = 0.0438
b3 = 0.9692
b4 = 0.8693
x_points = seq(50,420,length.out = 200)
y_points = (b1 * ((b2 * x_points)^b4)) / (1 + ((b2 * x_points)^b4))^(b3 / b4)
# plot the function
plot(x = x_points ,y = y_points, type ='l',col ='black',lwd = 5,
     xlim = c(min(yourdata$x)-5,max(yourdata$x)+5),
     ylim = c(min(yourdata$y)-5,max(yourdata$y)+5))  
# plot the data your got
points(yourdata$x,yourdata$y,cex = 2)

输出:

如果我们从您的公式中生成数据,我们可以很容易地对它们进行拟合,如下所示:

代码语言:javascript
运行
复制
## generate data
b1 = 62.2060
b2 = 0.0438
b3 = 0.9692
b4 = 0.8693
x <- runif(6,60,450)
y <- (b1 * ((b2 * x)^b4)) / (1 + ((b2 * x)^b4))^(b3 / b4)
data <- data.frame(x,y)

yourdata <- data.frame(x = c(409.56, 195.25, 60.53, 359.56, 188.79, 67.12), 
                       y = c(39.76100, 20.11875, 7.23675, 41.01100, 20.28035, 7.07200))

#FORMULA
eq <- y ~ (b1 * ((b2 * x)^b4)) / (1 + ((b2 * x)^b4))^(b3 / b4)

#LIMITS
values <- data.frame(
  b1 = c(60, 63),
  b2 = c(0, 0.05),
  b3 = c(0, 1),
  b4 = c(0, 0.9))

fit <- nls2(eq, 
              data = data, 
              start = values, 
              algorithm = "random", 
              control = nls.control(maxiter = 1000))

nls(eq, data, start = coef(fit), alg = "port",
    control = nls.control(maxiter = 1000,tol = 1e-05),
    low = c(60,0,0,0),upper =c(63,0.05,1,0.9) ,trace = TRUE)
plot(x,y)

输出:

非线性回归模型:y~ (b1 * ((b2 *x)^ b4 )/(1+ ((b2 * x)^b4))^( b3 /b4)数据: data b1 b2 b3 b4 62.2060 0.0438 0.9692 0.8693残差和平方: 3.616e-24算法“端口”,收敛消息:绝对函数收敛(6)

Alse注意,在上面,我生成only6数来拟合模型。如果您生成更多的数据,例如60,您将有一个更好的收敛性!

2.技术原因

在阅读了端口文档之后,我认为这个错误可能意味着

计算incorrectly

  • stopping公差的
  1. 梯度,tight
  2. gradient在某些迭代

附近不连续

所有这些都可能与您的数据和培训任务(您的边界和公式)有关系。

尝试下面的代码,您将得到一个更好的结果:

代码:

代码语言:javascript
运行
复制
yourdata <- data.frame(x = c(409.56, 195.25, 60.53, 359.56, 188.79, 67.12), 
                       y = c(39.76100, 20.11875, 7.23675, 41.01100, 20.28035, 7.07200))

#FORMULA
eq <- y ~ (b1 * ((b2 * x)^b4)) / (1 + ((b2 * x)^b4))^(b3 / b4)

#LIMITS
values <- data.frame(
  b1 = c(60, 63),
  b2 = c(0, 0.05),
  b3 = c(0, 1),
  b4 = c(0, 0.9))

fit <- nls2(eq, 
              data = yourdata, 
              start = values, 
              algorithm = "random", 
              control = nls.control(maxiter = 1000))

nls(eq, yourdata, start = coef(fit), alg = "port",
    control = nls.control(maxiter = 1000,tol = 1e-05),
    low = c(60,0,0,0),upper =c(63,0.05,1,0.9) ,trace = TRUE)
plot(x,y)

输出:

非线性回归模型:y~ (b1 * ((b2 *x)^ b4 )/(1+ ((b2 * x)^b4))^( b3 /b4)数据: yourdata b1 b2 b3 b4 63.00000 0.00155 0.00000 0.90000残差和平方: 22.28算法“端口”,收敛消息:X-收敛和相对收敛(5)

正如我们所看到的,它收敛到边界,这意味着您的数据与设置(公式或边界)不一致。

票数 2
EN
页面原文内容由Stack Overflow提供。腾讯云小微IT领域专用引擎提供翻译支持
原文链接:

https://stackoverflow.com/questions/59550999

复制
相关文章

相似问题

领券
问题归档专栏文章快讯文章归档关键词归档开发者手册归档开发者手册 Section 归档