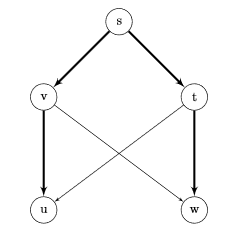
我有以下使用TikZ的图表:
\begin{tikzpicture}
\tikzset{vertex/.style = {shape=circle,draw,minimum size=2em}}
\tikzset{edge/.style = {->,> = latex'}}
% Vertices
\node[vertex] (s) at (0,0) {s};
\node[vertex] (t) at (2,-2) {t};
\node[vertex] (v) at (-2,-2) {v};
\node[vertex] (w) at (2,-5) {w};
\node[vertex] (u) at (-2,-5) {u};
% Edges
\draw[edge, ultra thick] (s) to (t);
\draw[edge, ultra thick] (s) to (v);
\draw[edge, ultra thick] (t) to (w);
\draw[edge, ultra thick] (v) to (u);
\draw[edge] (t) to (u);
\draw[edge] (v) to (w);
\end{tikzpicture}

使用此语法向此图添加边权值的最佳方法是什么?
发布于 2019-11-07 11:17:16
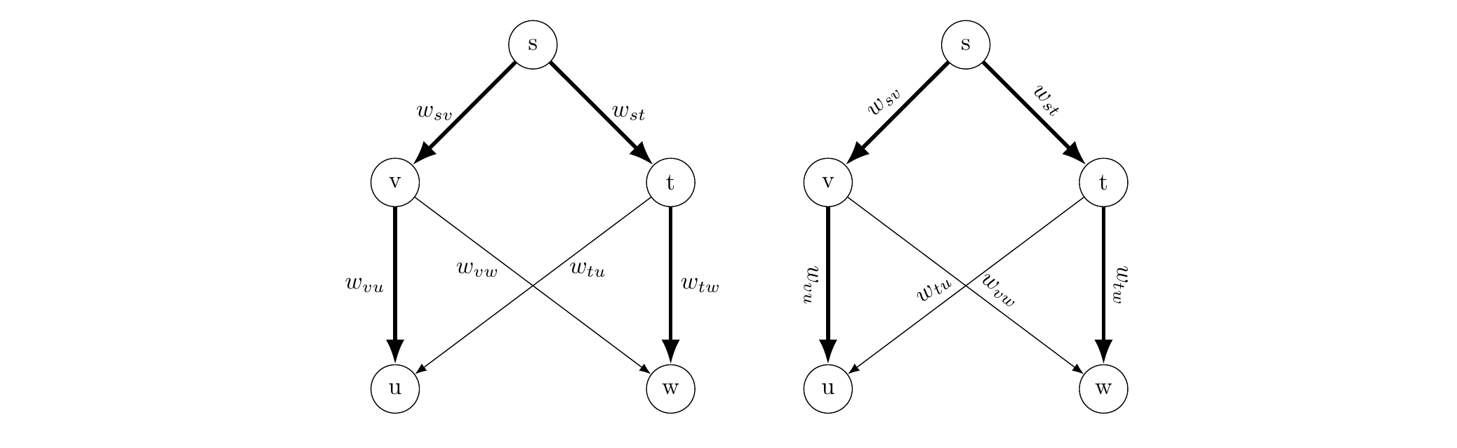
您可以简单地向路径添加节点。这可以用以下两种方法来完成
\draw (x) -- (y) node [midway] {w} ;如果使用标准语法绘制边缘。或使用
\draw (x) -- to node[] {w} (y) ;如果你更喜欢“不喜欢”的形式。
节点的正常位置是行的中间,但是您可以添加任何参数来调整节点的位置(左、右、上、下或x/yshift)。
此节点还可以沿边缘方向(倾斜)。在这种情况下,参数是定义与边缘方向,您将主要使用以上的以下。
这是一个正常或倾斜重量的例子。我用了“to”和“--”两种形式。
\documentclass{article}
\usepackage{tikz}
\usetikzlibrary{arrows.meta}
\begin{document}
\begin{tikzpicture}[
vertex/.style = {shape=circle,draw,minimum size=2em},
edge/.style = {->,-Latex},
]
% Vertices
\node[vertex] (s) at (0,0) {s};
\node[vertex] (t) at (2,-2) {t};
\node[vertex] (v) at (-2,-2) {v};
\node[vertex] (w) at (2,-5) {w};
\node[vertex] (u) at (-2,-5) {u};
% Edges
\draw[edge, ultra thick] (s) -- (t) node[midway,right] {$w_{st}$} ;
\draw[edge, ultra thick] (s) to node[left] {$w_{sv}$} (v);
\draw[edge, ultra thick] (t) to node[right] {$w_{tw}$} (w);
\draw[edge, ultra thick] (v) to node[left] {$w_{vu}$} (u);
\draw[edge] (t) to node[above, xshift=8mm] {$w_{tu}$} (u);
\draw[edge] (v) to node[above, xshift=-8mm] {$w_{vw}$} (w);
\end{tikzpicture}
\hfill%
\begin{tikzpicture}[
vertex/.style = {shape=circle,draw,minimum size=2em},
edge/.style = {->,-Latex},
]
% Vertices
\node[vertex] (s) at (0,0) {s};
\node[vertex] (t) at (2,-2) {t};
\node[vertex] (v) at (-2,-2) {v};
\node[vertex] (w) at (2,-5) {w};
\node[vertex] (u) at (-2,-5) {u};
% Edges
\draw[edge, ultra thick] (s) -- (t) node[midway,above,sloped] {$w_{st}$} ;
\draw[edge, ultra thick] (s) to node[above,sloped] {$w_{sv}$} (v);
\draw[edge, ultra thick] (t) to node[above,sloped] {$w_{tw}$} (w);
\draw[edge, ultra thick] (v) to node[below,sloped] {$w_{vu}$} (u);
\draw[edge] (t) to node[above left, sloped] {$w_{tu}$} (u);
\draw[edge] (v) to node[above right, sloped] {$w_{vw}$} (w);
\end{tikzpicture}
\end{document}

https://stackoverflow.com/questions/58741191
复制相似问题