我们使用Camunda运行业务流程,但我的问题更多是关于一般BPM模式,而不是实现它的特定工具。
假设下面这个非常简单的用例和一个自制的应用程序,它使用BPM引擎API来查询任务并完成它们。

假设操作1将自动分配给John,操作2将被分配给Bob。根据我对BPM的理解,当流程开始时,操作1被创建并分配给John。当John完成Action 1时,会创建Action 2并将其分配给Bob。这正是我们想要的,因为如果操作1还没有完成,Bob就无法开始操作2。好吧..。
现在假设作为团队经理,我想安排John和Bob的活动。我正在考虑引入一个由我处理的初始任务来配置一个计划。

当进程现在开始时,将创建一个新任务并分配给我。我想在我的自制应用程序中查询BPM引擎,以便获得所有任务(活动和不活动),以便添加计划信息(计划的开始日期和截止日期)。例如,我想具体说明:
有了这类信息,John和Bob就可以连接到任务列表,并看到“尚未开始”的任务正在特定的时间范围内等待他们。其主要目标是管理团队的活动日历。
我不知道如何在BPM中实现这一点,因为在我的理解中,任务是在流程到达任务时创建的,因此我们无法获得有关“尚未启动”任务的信息。
有什么想法吗?有什么建议吗?超越惯例?
发送
发布于 2020-09-04 14:15:24
我在上面问了一个问题,但如果答案是“Action2仍然需要Action 1、和,我不希望人们在开始日期之前看到任务。”然后模特就会像这样-

定时器将被设置为经理选择的开始日期。我强烈认为,如果用户不能完成任务,任务就不应该出现在列表中。因此,如果他们不应该在开始日期之前工作,我们就不应该在他们的任务列表中。这与一份关于进程现状的报告是不同的,这份报告肯定会显示,我们正在等待日期X发布行动1。还有一种方法可以对其建模,以便有人可以说“是的,你知道什么,我想现在就开始”,并从仪表板上提前触发动作。
发布于 2020-09-03 14:29:47
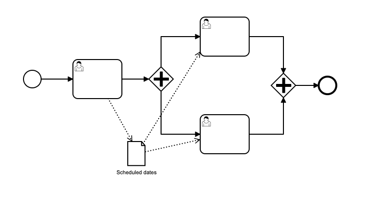
为了同时激活John和Bob的任务,您可以使用一个并行网关.

然后根据您所做的配置在自定义任务列表中筛选任务.
如果您想保持任务序列(这是更好的选项imho),您仍然可以预先在计划任务中设置变量,然后在模型上注册TaskListener开始时读取这些值。
https://stackoverflow.com/questions/63718691
复制相似问题