我有表格中的关系数据:
Parent ID ParentName ParentType RelatedToID RelatedToName RelatedType
----------------------------------------------------------------------------
1 A Business 2 B Individual
1 A Business 4 D Business
1 A Business 3 C Business
1 A Business 6 F Business
1 A Business 3 C Business
1 A Business 9 I Business
1 A Business 9 I Business
1 A Business 3 C Business
1 A Business 12 L Business
1 A Business 5 E Business
2 B Individual 1 A Business
2 B Individual 3 C Business
2 B Individual 3 C Business
2 B Individual 6 F Business
2 B Individual 3 C Business
2 B Individual 4 D Business
2 B Individual 4 D Business
3 C Business 1 A Business
3 C Business 1 A Business
3 C Business 2 B Individual
3 C Business 10 J Business
3 C Business 6 F Business
3 C Business 14 N Business
3 C Business 4 D Business
3 C Business 7 G Business
3 C Business 1 A Business
3 C Business 2 B Individual
4 D Business 2 B Individual
4 D Business 3 C Business
4 D Business 3 C Business
4 D Business 10 J Business
4 D Business 1 A Business
4 D Business 1 A Business
4 D Business 7 G Business
5 E Business 1 A Business
5 E Business 1 A Business
6 F Business 2 B Individual
6 F Business 1 A Business
6 F Business 3 C Business
6 F Business 3 C Business
6 F Business 1 A Business
7 G Business 3 C Business
7 G Business 4 D Business
7 G Business 3 C Business
7 G Business 3 C Business
8 H Individual 9 I Business
8 H Individual 9 I Business
9 I Business 1 A Business
9 I Business 8 H Individual
10 J Business 3 C Business
10 J Business 3 C Business
10 J Business 13 M Business
10 J Business 3 C Business
10 J Business 4 D Business
10 J Business 11 K Individual
11 K Individual 10 J Business
11 K Individual 13 M Business
11 K Individual 10 J Business
11 K Individual 13 M Business
12 L Business 1 A Business
13 M Business 11 K Individual
13 M Business 10 J Business我正在使用DiagrammeR来根据这些数据制作一个关系图。我需要将SQL中的数据转换为graphviz。即:
我愿意在我的数据准备步骤中进入关系树的5个层次。最后,上面的例子应该是这样的:
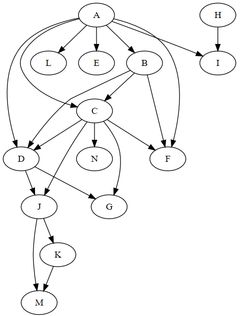
ReadySet
A->B
A->D
A->C
A->F
A->I
A->L
A->E
B->C
B->F
B->D
C->J
C->F
C->N
C->D
C->G
D->J
D->G
H->I
J->M
J->K
K->M在GraphViz中的结果是:

我所尝试的和我的困难:
我从定义ParentType =“个人”的父母开始,然后我使用自己的连接在行级别上获得哈吉制。
我想要的(而且似乎不能这样做)是,如果用户生成一个包含在关系树宽度内的选择名称,那么生成一个ReadySet的SQL表,也就是说,如果A被选中,那么ReadySet,或者如果M被选中,则ReadySet…显然,我的整个数据集中有更多父ID/名称。
发布于 2020-09-22 21:22:33
您需要一个表来定义节点之间的边缘及其方向。
create table edges (
from_id bigint not null references nodes(id),
to_id bigint not null references nodes(id),
primary key(from_id, to_id);
);这里的“节点”是任何实际保存数据的表。
如果这种关系是双向的,我们需要行,一个是A -> B,另一个是B -> A。
然后执行一个递归CTE来查找所有匹配的行。
with recursive ready_set as (
select *
from edges
where from_id = ?
union
select e.*
from edges e
inner join ready_set rs on e.from_id = rs.to_id
)
select *
from ready_set;联合的第一部分是起始条件,第二部分是与CTE连接的递归。
例如,如果我们像这样设置边缘:
1 <-> 2 <-> 3 -> 4
1 <-> 5 <- 6
insert into edges values
(1, 2), (2, 1),
(2, 3), (3, 2),
(3, 4),
(1, 5), (5, 1),
(6, 5);每件事都有一条彼此之间的路,除了6,这是通往5的一条路。如果我们要求5,我们将得到除6,5以外的所有边。如果我们要求4,我们将什么也得不到,因为4没有传出连接。
如果我们从5开始select distinct to_id from ready_set;,我们将得到节点ID 1、2、3、4和5. No 6。
试试看。
https://stackoverflow.com/questions/64017136
复制相似问题