首页
学习
活动
专区
圈层
工具
发布
首页
学习
活动
专区
圈层
工具
MCP广场
社区首页 >问答首页 >绘制按变量对分组的数据

绘制按变量对分组的数据
EN

Stack Overflow用户
提问于 2013-12-13 16:13:18
回答 2查看 135关注 0票数 0

我有大量这样的数据,由以下变量组成。

代码语言:javascript
运行
复制
Field    Country    AgeRange    Score    Test

我想把每一组按字段和AgeRange分组的人口的平均分数进行标出。那就是,我想要这样的东西。

请注意,变量AgeRange接受这3个值中的一个,而不是每个参与者的确切年龄。

我没有问题,按需要分组数据。例如,通过

代码语言:javascript
运行
复制
aggr_data = aggregate(data, by=list(data$Field, data$AgeRange), FUN=mean)

我得到的数据分组的方式,我需要,与每个字段的得分平均值-年龄对。问题是,我找不到一种简单的方法,从y轴对应于所获得的分数,x轴对应于每对的值中得到一个条形图。

我想我可以抓住我感兴趣的每一个子集,就像这样

代码语言:javascript
运行
复制
young_cs = subset(data, Field=="CompSci" & AgeRange=="18-35")
m_young_cs = mean(young_cs[,"Score"])
mid_cs = subset(data, Field=="CompSci" & AgeRange=="36-53")
m_mid_cs = mean(mid_cs[,"Score"])

然后画出所有获得的手段,但这显然是非常耗时的。有没有更简单、更快的方法来做到这一点?

这是一个数据的随机小样本。

代码语言:javascript
运行
复制
Field        Country    AgeRange    Score    Test
Psychology   US         18-35       4.2      A
Psychology   US         18-35       3.1      C
Psychology   US         18-35       5.2      B
Psychology   US         36-53       4.7      A
Psychology   US         36-53       3.5      A
Psychology   US         54+         3.1      B
Psychology   US         54+         2.2      B
Psychology   US         54+         6.7      C
Psychology   US         54+         5.1      C
CompSci      US         18-35       5.2      B
CompSci      US         18-35       7.4      C
CompSci      US         18-35       6.1      A
CompSci      US         36-53       7.7      A
CompSci      US         36-53       8.1      A
CompSci      US         54+         8.2      B
CompSci      US         54+         7.7      B
CompSci      US         54+         6.9      A
CompSci      US         54+         9.0      C
Mathematics  US         18-35       6.2      B
Mathematics  US         18-35       6.4      A
Mathematics  US         18-35       7.1      A
Mathematics  US         36-53       8.7      A
Mathematics  US         36-53       9.4      A
Mathematics  US         54+         7.2      C
Mathematics  US         54+         6.1      B
Mathematics  US         54+         6.5      C
Mathematics  US         54+         7.0      C
EN

回答 2

Stack Overflow用户

回答已采纳

发布于 2013-12-13 17:19:20

尝尝这个

代码语言:javascript
运行
复制
#dummay data
field=c("P","C","M")
agerange=c(18,36,54)
score=rnorm(27, 7)
test=c("A","B","C")

df<-data.frame(field=rep(field, each=9),agerange= as.factor(rep(agerange,each=3, times=9)), score=score,test=rep(test, 9))

p<-ggplot(df, aes(x=field,y=score, fill=agerange))
p+geom_bar(stat="identity", position="dodge")

#or
p+stat_summary(fun.y = "mean",geom = "bar", position="dodge") 

票数 1
EN

Stack Overflow用户

发布于 2013-12-13 17:23:24

代码语言:javascript
运行
复制
library(ggplot2)
library(plyr)

# a faceting approach
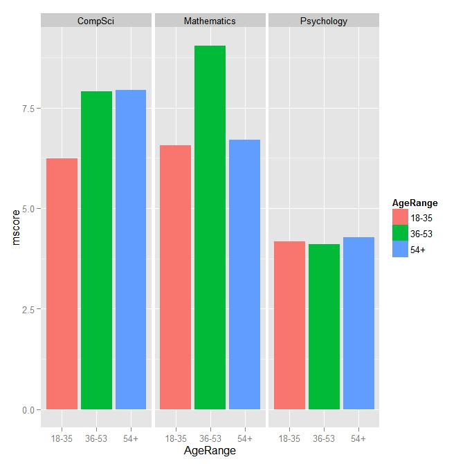
df2 <- ddply(df, .(Field, AgeRange), summarise, mscore = mean(Score))
ggplot(df2, aes(x=AgeRange, y = mscore, fill = AgeRange)) + geom_bar( stat = "identity" ) +
       facet_wrap(~Field)

# good enough?

代码语言:javascript
运行
复制
    df <- structure(list(field = structure(c(3L, 3L, 3L, 3L, 3L, 3L, 3L, 
3L, 3L, 1L, 1L, 1L, 1L, 1L, 1L, 1L, 1L, 1L, 2L, 2L, 2L, 2L, 2L, 
2L, 2L, 2L, 2L, 3L, 3L, 3L, 3L, 3L, 3L, 3L, 3L, 3L, 1L, 1L, 1L, 
1L, 1L, 1L, 1L, 1L, 1L, 2L, 2L, 2L, 2L, 2L, 2L, 2L, 2L, 2L, 3L, 
3L, 3L, 3L, 3L, 3L, 3L, 3L, 3L, 1L, 1L, 1L, 1L, 1L, 1L, 1L, 1L, 
1L, 2L, 2L, 2L, 2L, 2L, 2L, 2L, 2L, 2L), class = "factor", .Label = c("C", 
"M", "P")), agerange = structure(c(1L, 1L, 1L, 2L, 2L, 2L, 3L, 
3L, 3L, 1L, 1L, 1L, 2L, 2L, 2L, 3L, 3L, 3L, 1L, 1L, 1L, 2L, 2L, 
2L, 3L, 3L, 3L, 1L, 1L, 1L, 2L, 2L, 2L, 3L, 3L, 3L, 1L, 1L, 1L, 
2L, 2L, 2L, 3L, 3L, 3L, 1L, 1L, 1L, 2L, 2L, 2L, 3L, 3L, 3L, 1L, 
1L, 1L, 2L, 2L, 2L, 3L, 3L, 3L, 1L, 1L, 1L, 2L, 2L, 2L, 3L, 3L, 
3L, 1L, 1L, 1L, 2L, 2L, 2L, 3L, 3L, 3L), .Label = c("18", "36", 
"54"), class = "factor"), score = c(7.30127138725929, 7.37770686922096, 
7.41317998674043, 6.64841878521039, 7.86711279540953, 7.17048025193224, 
8.44148594576163, 8.13949581473566, 6.30312423530373, 6.78529906805563, 
8.60960304217661, 7.08300936020387, 7.33518750196135, 7.29903060579703, 
7.81598828814603, 6.51481883845345, 6.85779851460457, 8.5001156704776, 
7.90225168492658, 6.57536590278191, 6.01020914251986, 7.28458327350041, 
7.07419918080273, 8.93252585403122, 6.54527682832174, 6.35152240141314, 
6.75924970388344, 7.30127138725929, 7.37770686922096, 7.41317998674043, 
6.64841878521039, 7.86711279540953, 7.17048025193224, 8.44148594576163, 
8.13949581473566, 6.30312423530373, 6.78529906805563, 8.60960304217661, 
7.08300936020387, 7.33518750196135, 7.29903060579703, 7.81598828814603, 
6.51481883845345, 6.85779851460457, 8.5001156704776, 7.90225168492658, 
6.57536590278191, 6.01020914251986, 7.28458327350041, 7.07419918080273, 
8.93252585403122, 6.54527682832174, 6.35152240141314, 6.75924970388344, 
7.30127138725929, 7.37770686922096, 7.41317998674043, 6.64841878521039, 
7.86711279540953, 7.17048025193224, 8.44148594576163, 8.13949581473566, 
6.30312423530373, 6.78529906805563, 8.60960304217661, 7.08300936020387, 
7.33518750196135, 7.29903060579703, 7.81598828814603, 6.51481883845345, 
6.85779851460457, 8.5001156704776, 7.90225168492658, 6.57536590278191, 
6.01020914251986, 7.28458327350041, 7.07419918080273, 8.93252585403122, 
6.54527682832174, 6.35152240141314, 6.75924970388344), test = structure(c(1L, 
2L, 3L, 1L, 2L, 3L, 1L, 2L, 3L, 1L, 2L, 3L, 1L, 2L, 3L, 1L, 2L, 
3L, 1L, 2L, 3L, 1L, 2L, 3L, 1L, 2L, 3L, 1L, 2L, 3L, 1L, 2L, 3L, 
1L, 2L, 3L, 1L, 2L, 3L, 1L, 2L, 3L, 1L, 2L, 3L, 1L, 2L, 3L, 1L, 
2L, 3L, 1L, 2L, 3L, 1L, 2L, 3L, 1L, 2L, 3L, 1L, 2L, 3L, 1L, 2L, 
3L, 1L, 2L, 3L, 1L, 2L, 3L, 1L, 2L, 3L, 1L, 2L, 3L, 1L, 2L, 3L
), class = "factor", .Label = c("A", "B", "C"))), .Names = c("field", 
"agerange", "score", "test"), row.names = c(NA, -81L), class = "data.frame")
票数 1
EN
页面原文内容由Stack Overflow提供。腾讯云小微IT领域专用引擎提供翻译支持
原文链接:

https://stackoverflow.com/questions/20570975

复制
相关文章

相似问题

领券
问题归档专栏文章快讯文章归档关键词归档开发者手册归档开发者手册 Section 归档