首页
学习
活动
专区
圈层
工具
发布
首页
学习
活动
专区
圈层
工具
MCP广场
社区首页 >问答首页 >为什么我的情节不能正确地出来(R中的情节)

为什么我的情节不能正确地出来(R中的情节)
EN

Stack Overflow用户
提问于 2014-04-03 19:06:39
回答 2查看 129关注 0票数 0

我有一个简单的数据框架,我通过从另一个更大的表(用cbind)绑定两列来创建这个框架。我的两列都有数值。第1栏(教育)有5个可能值(1=no学校、2=high学校、3=undergrad、4=masters、5=PhD)。第2栏(答案)有4个可能的答案。我想画一个情节,给我展示答案的例子,以某种方式想象出有500人接受过二级教育,回答了2,而100人接受过三级教育,只有10人接受过4级教育,只有10人回答了2;然后,1000人接受了3级教育,回答了5人,100人接受了4级教育,回答了5人等等。当我使用“表格”时,得出的数字是正确的:

代码语言:javascript
运行
复制
    1   2   3   4   5
1  75 142 206  71  41
2 179 432 570 250 139
3 177 503 669 417 254
4 113 235 342 292 227

但我尝试过的任何情节都没有显示任何有用的东西。我试过情节,剧集,剧集,马赛克情节.我还需要用另一个情节吗?还有别的事吗?

EN

回答 2

Stack Overflow用户

回答已采纳

发布于 2014-04-03 19:51:47

这就是你要找的吗?

代码语言:javascript
运行
复制
library(reshape2)
library(ggplot2)
df <- read.table(text=("1   2   3   4   5
1  75 142 206  71  41
2 179 432 570 250 139
3 177 503 669 417 254
4 113 235 342 292 227"), header = T)
df$Answer <- 1:4
df <- melt(df, "Answer")
df$variable <- factor(df$variable, labels = c("no school", "high school", "undergrad","masters","PhD"))
names(df)[2] <- "Education"
ggplot(df, aes(x = Answer, y = value)) + 
geom_bar(stat = "identity", aes(fill = Education)) +
ylab("Answer frequencies")

票数 0
EN

Stack Overflow用户

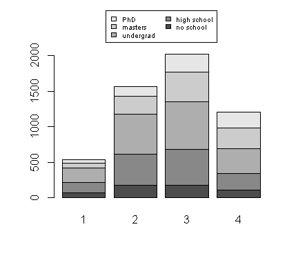
发布于 2014-04-03 20:43:57

为了好玩,一个基本的图形选择:

代码语言:javascript
运行
复制
m = matrix(c(75, 142, 206,  71,  41,
             179, 432, 570, 250, 139,
             177, 503, 669, 417, 254,
             113, 235, 342, 292, 227), nrow=4, byrow=T)

barplot(t(m), names.arg=1:4, legend.text=c("no school", "high school", "undergrad","masters","PhD"), args.legend=list(x='top', inset=c(0,-0.3), ncol=2, cex=0.6))

票数 2
EN
页面原文内容由Stack Overflow提供。腾讯云小微IT领域专用引擎提供翻译支持
原文链接:

https://stackoverflow.com/questions/22846708

复制
相关文章

相似问题

领券
问题归档专栏文章快讯文章归档关键词归档开发者手册归档开发者手册 Section 归档