我有点糊涂了。
如何计算深度:我所理解的是
问题1:它考虑了红外投影仪和红外摄像机之间的距离吗?我想没有,因为它们太近了,不值得考虑。
问题2,:现在我们直接从模式中获得深度。我们什么时候用disparity map计算深度?
发布于 2014-04-12 04:58:40
视差图基本上是你一开始提到的已知和观察到的模式之间的区别。在深度计算过程中使用此方法。
投影仪和照相机之间的距离也会被考虑在内。
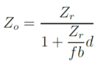
请查看以下数字:

Pr是参考深度Zr中散斑的位置,Po是由Kinect在深度Zo (我们想要计算的深度)捕获的相同的散斑。D是两点之间的三维视差,d是二维图像平面上的视差。f是焦距,b是摄像机C与激光投影仪L之间的距离。
正如您所提到的,使用类似的三角形计算深度如下:

这个数字来自的文件是K.霍谢勒姆的动态深度数据的精度分析。我建议阅读它,以便更彻底地解释深度计算过程。
https://stackoverflow.com/questions/23018233
复制相似问题