首页
学习
活动
专区
圈层
工具
发布
首页
学习
活动
专区
圈层
工具
MCP广场
社区首页 >问答首页 >用FFT算法计算

用FFT算法计算
EN

Stack Overflow用户
提问于 2014-05-13 09:40:55
回答 1查看 1.3K关注 0票数 2

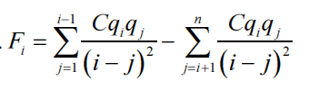
给出一组n粒子电荷载流子在点(1,0),(2,0),.(n,0)飞机上。在点(i,0)中发现的粒子电荷称为气。作用在粒子上的力由公式给出:

C是库仑常数。

给出了计算所有粒子在总复杂度O(nlgn)中计算Fi的算法。提示:使用FFT算法。

似乎菲已经被划分为偶数和奇点。

我想把每个和除以计算FFT (但是除以到..?)然后,和所有点的一半(因为这是FFT引起的),然后减去公式上给出的和的结果。

知道如何做得更好吗?

EN

回答 1

Stack Overflow用户

回答已采纳

发布于 2014-05-13 10:44:35

看起来像家庭作业,所以没有为您的案例提供实际的代码,而是提供一些示例和提示。

对于FFT-like算法:

  1. 2 通过零填充将数据集大小设置为的幂。 因此,对一半的划分很简单(没有残余物)。
  2. 创建递归函数来计算类似FFT的内容。 在它中,重新排序数据集,将其分成两半,递归地称它为self 2次(每一次使用不同的一半数据),并添加if语句开始。如果dataset size<=12,则直接返回计算值,以确保递归停止。 在这两个递归调用之后,将数据重新排序,并将它们组合起来以得到结果。
  3. 如果需要的话,从结果中删除零填充

例如,这就是我的NTT的样子(数论转换)。

代码语言:javascript
运行
复制
//---------------------------------------------------------------------------
void fourier_NTT:: NTT_fast(DWORD *dst,DWORD *src,DWORD n,DWORD w)
    {
    // recursion stop condition if the data is single number ...
    if (n<=1) { if (n==1) dst[0]=src[0]; return; }
    DWORD i,j,a0,a1,n2=n>>1,w2=modmul(w,w);
    // reorder even,odd to dst array
    for (i=0,j=0;i<n2;i++,j+=2) dst[i]=src[j];
    for (    j=1;i<n ;i++,j+=2) dst[i]=src[j];
    // recursion
    NTT_fast(src   ,dst   ,n2,w2);  // even
    NTT_fast(src+n2,dst+n2,n2,w2);  // odd
    // restore results
    for (w2=1,i=0,j=n2;i<n2;i++,j++,w2=modmul(w2,w))
        {
        a0=src[i];
        a1=modmul(src[j],w2);
        dst[i]=modadd(a0,a1);
        dst[j]=modsub(a0,a1);
        }
    }
//---------------------------------------------------------------------------

完整的源代码和更多的信息是here

总是比较快速实现结果和慢实现!!

随着数据集大小的增长,某些系数或索引中的小误差可能会导致结果的巨大差异。

对于上述NTT函数,这是缓慢的实现:

代码语言:javascript
运行
复制
//---------------------------------------------------------------------------
void fourier_NTT:: NTT_slow(DWORD *dst,DWORD *src,DWORD n,DWORD w)
    {
    DWORD i,j,wj,wi,a,n2=n>>1;
    for (wj=1,j=0;j<n;j++)
        {
        a=0;
        for (wi=1,i=0;i<n;i++)
            {
            a=modadd(a,modmul(wi,src[i]));
            wi=modmul(wi,wj);
            }
        dst[j]=a;
        wj=modmul(wj,w);
        }
    }
//---------------------------------------------------------------------------

Notes

  1. 现在你有了分离方程 导出直接计算值与由2x半递归调用计算的值之间的系数差,并相应地恢复结果,从而使输出与正确的结果相匹配。
票数 1
EN
页面原文内容由Stack Overflow提供。腾讯云小微IT领域专用引擎提供翻译支持
原文链接:

https://stackoverflow.com/questions/23627751

复制
相关文章

相似问题

领券
问题归档专栏文章快讯文章归档关键词归档开发者手册归档开发者手册 Section 归档