当试图恢复到以前的提交时,我尝试:
git revert --no-commit 0766c053..HEAD然而,这产生了一个错误:
empty commit set passed问题:错误意味着什么,revert命令出了什么问题?
发布于 2016-08-01 09:06:03
删除..HEAD部件。至少在我的系统(gitv2.7.4)上,这解决了这个问题。
git还原--不提交0766c053
发布于 2014-07-14 13:40:34
在我看来,您滥用了double dot注释来指定提交范围。
因此,您的范围不返回任何提交,这意味着revert不能执行任何操作,因为您有效地说了"revert提交“。
吉普书解释了注释(链接到章节)非常坚实的特性:
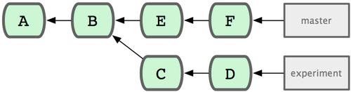
最常见的范围规范是双点语法。这基本上要求Git解析一个可以从一个提交到但从另一个提交无法到达的提交范围。例如,假设您有一个如图6-1所示的提交历史记录。

您想看看您的实验分支中还没有被合并到您的主分支中的内容。您可以要求Git向您展示一条使用master..experiment提交的日志--这意味着“所有提交都可以通过实验达到,而这些都是主人无法访问的。”为了这些示例的简洁性和清晰度,我将使用图中提交对象的字母来代替实际的日志输出,以显示它们的顺序:
$ git log master..experiment
D
C
另一方面,如果您想看到相反的情况--在master中所有提交都不是在experiment中--则可以反转分支名称。experiment..master向您展示了master中无法从experiment获得的所有内容
$ git log experiment..master
F
E
https://stackoverflow.com/questions/24730127
复制相似问题