堆属性显示:
如果A是B的父节点,则节点A的键相对于节点B的键进行排序,并在堆中应用相同的顺序。父节点的键总是大于或等于子节点的键,最高的键位于根节点(这种堆称为最大堆),或者父节点的键小于或等于子节点的键,最小键位于根节点(min堆)。
但是为什么在这个维基中,二进制堆必须是一个完整的二叉树?在我的印象中,堆属性并不意味着这一点。
发布于 2014-08-14 23:59:34
根据您提供的维基百科文章,二进制堆必须同时符合堆属性(正如您讨论过的那样)和形状属性(它要求它是一个完整的二叉树)。如果没有shape属性,就会失去数据结构提供的运行时优势(即完整性确保在删除元素时有一种定义良好的方法来确定新根,等等)。
发布于 2014-08-14 23:58:56
数组中的每个项在二叉树中都有一个位置,这个位置是根据数组索引计算的。定位公式确保了树的“紧密包装”。
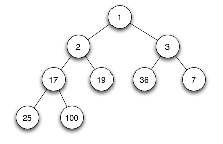
例如,这里的二叉树:

由数组表示。
[1, 2, 3, 17, 19, 36, 7, 25, 100].注意,数组是按顺序排列的,就好像从树的顶部开始,然后从左到右读取每一行。
如果将另一项添加到此数组中,它将表示19下面的槽,以及100的右侧。如果这个新的数字小于19,那么值将不得不被交换,但无论如何,这是由数组的第10项填充的槽。
另一种看待它的方法是:尝试构建一个二进制堆,它不是一个完整的二叉树。你真的不能。
发布于 2017-09-30 19:16:27
只有当树完成时,才能保证O(log(n))插入和(根)删除。原因如下:
如果树不完整,那么它可能是不平衡的,在最坏的情况下,它只是一个链表,要求O(n)查找叶子,O(n)用于插入和删除。有了完整性的形状要求,就可以保证O(log(n))操作,因为查找叶子(最后在数组中)需要一定的时间,并且保证树的深度不超过log2(N),这意味着“冒泡向上”(用于插入)和“下沉”(用于删除)最多需要对堆中的数据进行log2(N)修改(交换)。
这就是说,您不一定要有一个完整的二叉树,但是您只是失去了这些运行时的保证。此外,正如其他人所提到的,拥有一个完整的二叉树可以轻松地将树存储为数组格式,而不是对象引用表示。
https://stackoverflow.com/questions/25319305
复制相似问题