举个例子:
require(ggplot2)
require(gridExtra)
data(diamonds)
name <- c("x","y","z")
l <- list()
j <- 1
for (i in 1:(length(name)-1)){
  for (k in (i+1):length(name)){
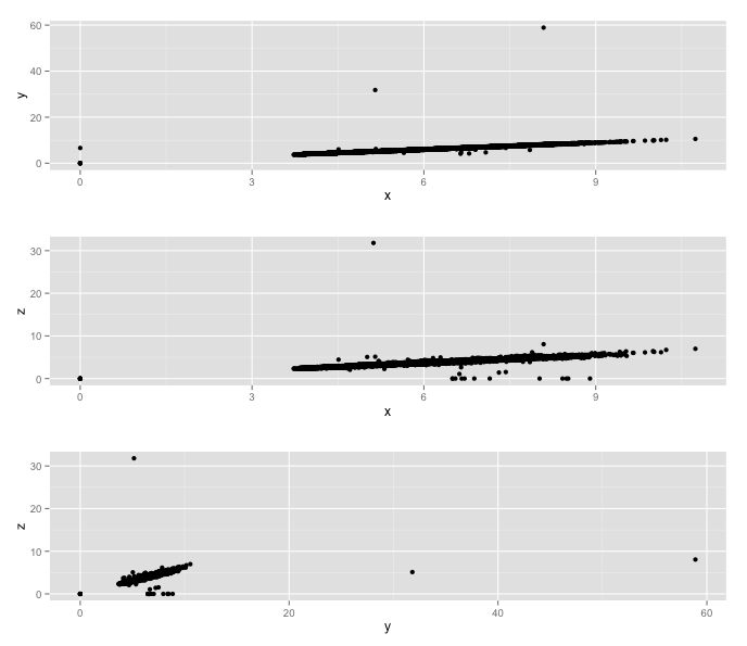
    l[[j]] <- qplot(diamonds[,name[i]], diamonds[,name[k]]) + 
      labs(x = name[i], y = name[k])
    j <- j + 1
  }
}
do.call(grid.arrange, l)它打印的是同一幅图的3倍:

我认为这是因为qplot没有立即计算x和y:
> l[[1]]$mapping
List of 2
 $ x: language diamonds[, name[i]]
 $ y: language diamonds[, name[k]]那么,如何让它立即评估name[i]呢?
--一个解决办法是:
for (i in 1:(length(name)-1)){
  for (k in (i+1):length(name)){
    l[[j]] <- ggplot(diamonds, aes_string(x=name[i], y=name[k])) +
      geom_point()
    j <- j + 1
  }
}但是,完整的数据集将保存在列表元素中:
> str(l[[1]]$data)
'data.frame':   53940 obs. of  10 variables:
 $ carat  : num  0.23 0.21 0.23 0.29 0.31 0.24 0.24 0.26 0.22 0.23 ...
 $ cut    : Ord.factor w/ 5 levels "Fair"<"Good"<..: 5 4 2 4 2 3 3 3 1 3 ...
 $ color  : Ord.factor w/ 7 levels "D"<"E"<"F"<"G"<..: 2 2 2 6 7 7 6 5 2 5 ...
 $ clarity: Ord.factor w/ 8 levels "I1"<"SI2"<"SI1"<..: 2 3 5 4 2 6 7 3 4 5 ...
 $ depth  : num  61.5 59.8 56.9 62.4 63.3 62.8 62.3 61.9 65.1 59.4 ...
 $ table  : num  55 61 65 58 58 57 57 55 61 61 ...
 $ price  : int  326 326 327 334 335 336 336 337 337 338 ...
 $ x      : num  3.95 3.89 4.05 4.2 4.34 3.94 3.95 4.07 3.87 4 ...
 $ y      : num  3.98 3.84 4.07 4.23 4.35 3.96 3.98 4.11 3.78 4.05 ...
 $ z      : num  2.43 2.31 2.31 2.63 2.75 2.48 2.47 2.53 2.49 2.39 ...发布于 2014-12-06 14:11:36
在我看来,你的“解决办法”是正确的。qplot是一个非常方便的函数,我认为它是完全不必要的,而且从不使用。但是,如果您不提供data.frame,并且您可以在这样的解决方案中使用它,那么这个问题与创建data.frame有关:
require(ggplot2)
require(gridExtra)
data(diamonds)
name <- c("x","y","z")
l <- list()
j <- 1
for (i in 1:(length(name)-1)){
  for (k in (i+1):length(name)){
    l[[j]] <- qplot(x, y, data = data.frame(x = diamonds[,name[i]], 
                                            y = diamonds[,name[k]])) + 
      labs(x = name[i], y = name[k])
    j <- j + 1
  }
}
do.call(grid.arrange, l)

https://stackoverflow.com/questions/27331974
复制相似问题