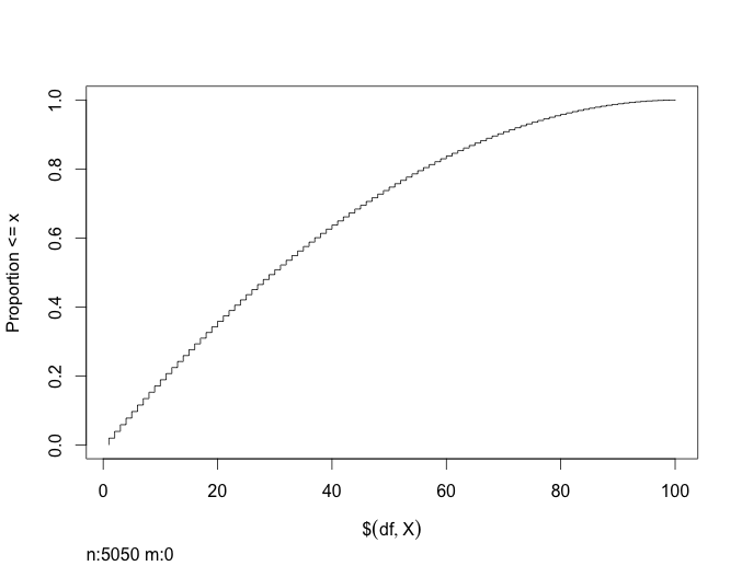
优秀的latticeExtra包有一个函数ecdfplot(),它创建了一个累积经验分布图。
可复制示例:
df= data.frame(X= 1:100, W= 100:1)
library(latticeExtra)
ecdfplot(~X, data=df)

问题:
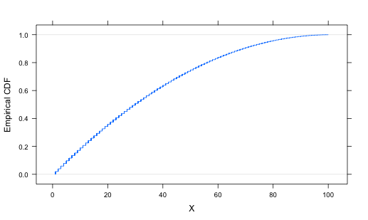
我需要使用df$W变量来计算权重,而不是根据观测频率来计算。
使用赫米斯克可以完成以下工作:
library(Hmisc)
Ecdf(df$X, weights= df$W)

问题:
我也想这样做,但使用点阵图形系统。
这是怎么做到的?
发布于 2015-04-19 03:14:01
由于W是整数类型的,所以解决方案是非常直接的。
ecdfplot(~ rep(x= X, times= W), data=df, xlab= "X")

https://stackoverflow.com/questions/29330241
复制相似问题