首页
学习
活动
专区
圈层
工具
发布
首页
学习
活动
专区
圈层
工具
MCP广场
社区首页 >问答首页 >自举相关CI随样本量的增加

自举相关CI随样本量的增加
EN

Stack Overflow用户
提问于 2015-05-21 17:32:44
回答 2查看 544关注 0票数 1

我想演示95%置信区间的宽度如何随着样本数量的增加而变化,从n= 10增加到n=100,每轮增加5个样本。我假设我们可以使用一个引导函数来完成这个任务,并重复每一轮1000次。如何在R中做到这一点?请参阅:http://www.nicebread.de/at-what-sample-size-do-correlations-stabilize/

我们可以使用钻石数据:

代码语言:javascript
运行
复制
data(diamonds)
x <- diamonds$price
y <- diamonds$carat
EN

回答 2

Stack Overflow用户

回答已采纳

发布于 2015-05-21 18:34:37

您可以自己添加图表和轴标题,但这段代码完成了我认为您需要使用ggplot2和“心理测量”包的功能:

代码语言:javascript
运行
复制
library(ggplot2)
library(psychometric)

corSamp <- function(x) {
# return the correlation between price and carat on diamonds for a given sample size
  index <- sample(1:nrow(diamonds), x)
  carat <- diamonds$carat[index]
  price <- diamonds$price[index]
  return(cor(carat, price))
}

cors <- sapply(seq(5,100,5), corSamp)
lower <- sapply(1:20, function(i) return(CIr(r = cors[i], n = seq(5,100,5)[i], level = 0.95)[1]))
upper <- sapply(1:20, function(i) return(CIr(r = cors[i], n = seq(5,100,5)[i], level = 0.95)[2]))

myData <- data.frame(cbind(cors, lower, upper, seq(5,100,5)))

myPlot <- ggplot(myData, aes(x = V4, y = cors)) + geom_line() + geom_ribbon(aes(ymin = lower, ymax = upper), alpha = 0.5)

这里V4是样本大小。

票数 3
EN

Stack Overflow用户

发布于 2015-05-21 18:22:18

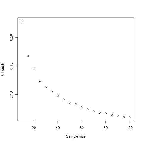
您可以使用sapply循环遍历您的样本大小,对于每个样本大小绘制1000个适当大小的随机样本,报告置信区间的平均宽度:

代码语言:javascript
运行
复制
set.seed(144)
ci.widths <- sapply(seq(10, 100, 5), function(x) mean(replicate(1000, {
  r <- sample(nrow(diamonds), x, replace=TRUE)
  diff(cor.test(diamonds$price[r], diamonds$carat[r])$conf.int)
})))
plot(seq(10, 100, 5), ci.widths, xlab="Sample size", ylab="CI width")

票数 1
EN
页面原文内容由Stack Overflow提供。腾讯云小微IT领域专用引擎提供翻译支持
原文链接:

https://stackoverflow.com/questions/30380627

复制
相关文章

相似问题

领券
问题归档专栏文章快讯文章归档关键词归档开发者手册归档开发者手册 Section 归档