首页
学习
活动
专区
圈层
工具
发布
首页
学习
活动
专区
圈层
工具
MCP广场
社区首页 >问答首页 >用gggketandfacet_grid指定错误条

用gggketandfacet_grid指定错误条
EN

Stack Overflow用户
提问于 2015-09-29 11:37:29
回答 1查看 9K关注 0票数 3

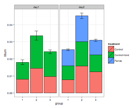
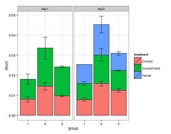
我用facet_grid做了一个图表,显示每组患者在每天治疗中所占的比例。

代码语言:javascript
运行
复制
library(ggplot2)
library(Rmisc) 
library(plyr)

mus2 <- summarySE(mus, measurevar="litium", 
                         groupvars=c("treatment", "group", "day"), na.rm = TRUE)

mus2

mus3 <- mus2
mus3$group <- factor(mus3$group)

ms.chl<- ggplot(mus3, aes(x=group, y=litium, fill=treatment)) +
  geom_bar(stat="identity", colour="black") + facet_grid(~day) + theme_bw() 
ms.chl

其结果是:

为此,我有两个问题:

我不能为每组的诉讼内容设置正确的错误栏。我已经试过了,但是每次治疗我只得到错误条。

代码语言:javascript
运行
复制
ms.chl + geom_errorbar(aes(ymin=litium-se, ymax=litium+se), size=0.5,   
        width=.25,                    
        position=position_dodge(.9)) +
facet_grid(~day)

我想要每个组的总错误条。

在那之后,我的第二个问题是:是否可以代表每组的绝对值以及每组治疗的百分比?

数据集(毛里求斯):

代码语言:javascript
运行
复制
litium  group   treatment   day
0.009439528 1   Control day1
0.005115057 1   Control day1
0.009742297 1   Control day1
0.016515625 2   Control day1
0.01074537  2   Control day1
0.016300836 2   Control day1
0.009538339 3   Control day1
0.010609746 3   Control day1
0.008928012 3   Control day1
0.009425325 1   Control + bird  day1
0.00561831  1   Control + bird  day1
0.014622517 1   Control + bird  day1
0.017702439 2   Control + bird  day1
0.010545045 2   Control + bird  day1
0.029109907 2   Control + bird  day1
0.013737568 3   Control + bird  day1
0.015174405 3   Control + bird  day1
0.014583832 3   Control + bird  day1
0.009244079 1   Control day2
0.006591033 1   Control day2
0.007592587 1   Control day2
0.013676745 2   Control day2
0.016208676 2   Control day2
0.017593952 2   Control day2
0.014003037 3   Control day2
0.01163581  3   Control day2
0.011643067 3   Control day2
0.009229506 1   Control + bird  day2
0.006423714 1   Control + bird  day2
0.008653163 1   Control + bird  day2
0.012441379 2   Control + bird  day2
0.0204346   2   Control + bird  day2
0.010017788 2   Control + bird  day2
0.009745063 3   Control + bird  day2
0.00967963  3   Control + bird  day2
0.010291306 3   Control + bird  day2
0.009466604 1   Fence   day2
0.019611081 2   Fence   day2
0.006796444 2   Fence   day2
0.018928695 2   Fence   day2
0.007787736 3   Fence   day2
0.009409897 3   Fence   day2
EN

回答 1

Stack Overflow用户

回答已采纳

发布于 2015-09-29 13:29:46

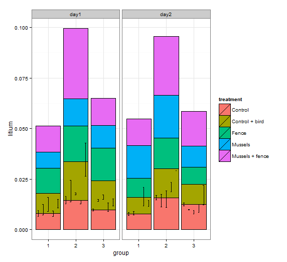
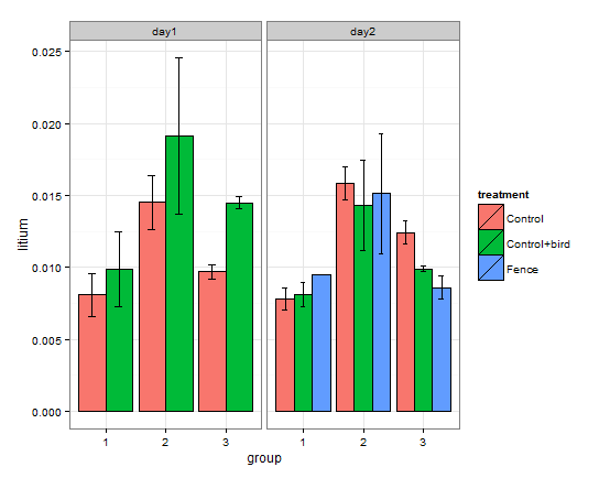
第一个也是最简单的解决方案是让你的酒吧并排而不是堆叠。然后,您需要在代码中更改的唯一事情是将position="dodge"添加到您的geom_bar()中,并按照您的需要运行其余的代码。这有一个额外的好处,即能够直接比较不同条形的高度,并避免将错误条放置在条形图的中间。

代码语言:javascript
运行
复制
ms.chl<- ggplot(mus3, aes(x=group, y=litium, fill=treatment)) +
  geom_bar(stat="identity", colour="black",position="dodge") + 
  facet_grid(~day) + theme_bw() 
ms.chl + geom_errorbar(aes(ymin=litium-se, ymax=litium+se), size=0.5,   
    width=.25,position=position_dodge(.9)) +
  facet_grid(~day)

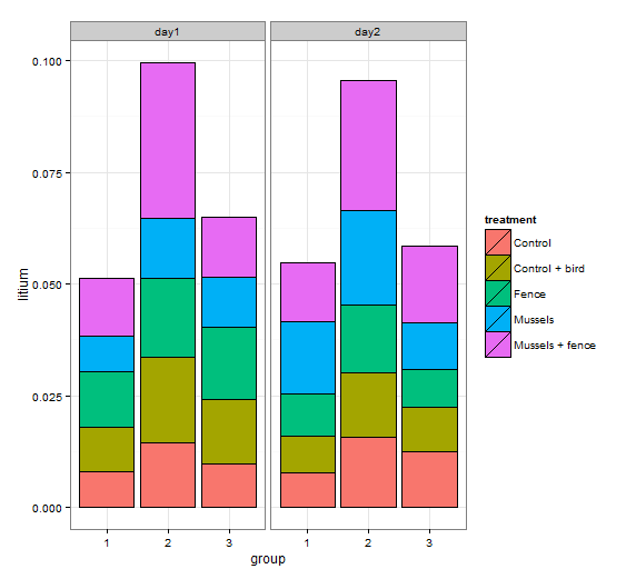
若要在堆叠条形图上添加错误条,必须确保条形图以litium的累积和为中心。为此,您可以在cumsum()中使用ave()

代码语言:javascript
运行
复制
mus3 <- within(mus3,lit2 <- ave(litium,group,day,FUN=cumsum))

然后,当您调用lit2而不是litium时,请使用geom_errorbar(),不要躲闪。

代码语言:javascript
运行
复制
ms.chl<- ggplot(mus3, aes(x=group, y=litium, fill=treatment)) +
  geom_bar(stat="identity", colour="black") + facet_grid(~day) + theme_bw() 

ms.chl + geom_errorbar(aes(ymin=lit2-se, ymax=lit2+se), size=0.5,   
                       width=.25) + facet_grid(~day)

如果你只想要这个组的错误条,那么你必须在治疗中得到整个组的错误,而不是这个组的错误,但是你不能把它直接加到基于整个组的平均值中,因为这些是均值,堆叠的条形图有平均值的总和,所以你必须从mus3中把平均值加起来。

代码语言:javascript
运行
复制
musgroup <- summarySE(mus, measurevar="litium", 
                      groupvars=c("group", "day"), na.rm = TRUE)

musgroupsum <- ddply(mus3,.(group,day),summarize,lit2 = sum(litium))

mus4 <- merge(musgroup,musgroupsum)

ms.chl<- ggplot() +
  geom_bar(data=mus3, aes(x=group, y=litium, fill=treatment),
           stat="identity", colour="black") + facet_grid(~day) + theme_bw() 

ms.chl + geom_errorbar(data=mus4,aes(x=group,ymin=lit2-se, ymax=lit2+se),
                       size=0.5, width=.25)

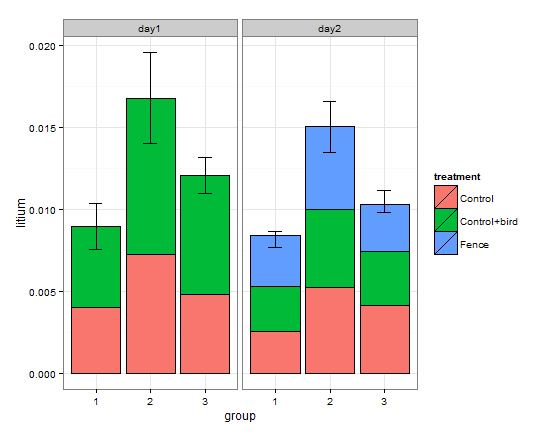
不过,在这一点上,它开始变得有点荒谬。叠加方法不是分组方法--它们是组均值之和,但误差是组均值。当你看这个数字时,相对于它们所代表的平均值而言,误差条看起来要小一些,因为它们的中心位置比它们应该的高得多。似乎你正在寻找的是一个组均值的代表,它允许你看到每一个治疗方法对该组均值的贡献。显示这一点的一种方法是缩放条形图大小,使累积和以每个组的适当平均值为中心。

代码语言:javascript
运行
复制
mus3 <- within(mus3,lit3 <- ave(litium,group,day,FUN=function(x) x/length(x)))

ms.chl<- ggplot() +
  geom_bar(data=mus3, aes(x=group, y=lit3, fill=treatment),
           stat="identity", colour="black") + facet_grid(~day) +
  theme_bw() + ylab("litium")

ms.chl + geom_errorbar(data=mus4,aes(x=group,ymin=litium-se, ymax=litium+se),
                       size=0.5,width=.25)

票数 6
EN
页面原文内容由Stack Overflow提供。腾讯云小微IT领域专用引擎提供翻译支持
原文链接:

https://stackoverflow.com/questions/32842923

复制
相关文章

相似问题

领券
问题归档专栏文章快讯文章归档关键词归档开发者手册归档开发者手册 Section 归档