首页
学习
活动
专区
圈层
工具
发布
首页
学习
活动
专区
圈层
工具
MCP广场
社区首页 >问答首页 >小提琴曲形叠层条形图

小提琴曲形叠层条形图
EN

Stack Overflow用户
提问于 2016-11-08 07:32:37
回答 1查看 471关注 0票数 6

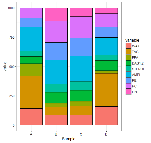
也许这是个愚蠢的想法,也可能是脑电波。我有4个不同物种的脂质类数据集。数据是成比例的,和是1000。我想形象化每个物种中每一个类别的比例差异。通常,堆叠栏是这里的方法,但是有几个类,而且它变得不可解释,因为只有底层类共享一个基线(见下文)。

这似乎是一群坏家伙最好的选择,派和甜甜圈的图表就是嘲笑。然后,我受到了这个创作Symmetrical, violin plot-like histogram?的启发,它创造了一种堆积分布的小提琴情节(见下文)。

我想知道这是否可以被转换成一个堆叠的小提琴,这样每个片段代表一个完整的变量。就我的数据而言,物种‘A’和‘D’将在标记段周围“脂肪”,而‘瘦’在甾醇段。这种方式的比例被描绘水平,并始终有一个共同的基线。有什么想法?

数据:

代码语言:javascript
运行
复制
structure(list(Sample = c("A", "A", "A", "B", "B", "B", "C", 
"C", "C", "D", "D"), WAX = c(83.7179798600773, 317.364310355766, 
20.0147496567679, 93.0194886619568, 78.7886829173726, 79.3445694220837, 
91.0020522660375, 88.1542855137005, 78.3313314713951, 78.4449591023115, 
236.150030864875), TAG = c(67.4640254081232, 313.243238213156, 
451.287867136276, 76.308508343969, 40.127554151831, 91.1910102221636, 
61.658394708941, 104.617259648364, 60.7502685224869, 80.8373642262043, 
485.88633863193), FFA = c(41.0963382465756, 149.264019576272, 
129.672579626868, 51.049208042632, 13.7282635713804, 30.0088572108344, 
47.8878116348504, 47.9564218319094, 30.3836532949481, 34.8474205480686, 
10.9218910757234), `DAG1,2` = c(140.35876401479, 42.4556176551009, 
0, 0, 144.993393432366, 136.722412691012, 0, 140.027443968931, 
137.579074961889, 129.935353616471, 46.6128854387559), STEROL = c(73.0144390122309, 
24.1680929257195, 41.8258704279641, 78.906816661241, 67.5678558060943, 
66.7150537517493, 82.4794113296791, 76.7443442992891, 68.9357008866253, 
64.5444668132533, 29.8342694785768), AMPL = c(251.446564854412, 
57.8713327050339, 306.155806819949, 238.853696442419, 201.783872969561, 
175.935515655693, 234.169038776536, 211.986239116884, 196.931330316831, 
222.658181144794, 73.8944654414811), PE = c(167.99718650752, 
43.3839497916674, 22.1937177530762, 150.315149187176, 153.632530721031, 
141.580725482114, 164.215442147509, 155.113323256627, 143.349000132624, 
128.504657216928, 50.6281347160092), PC = c(174.904702096271, 
52.2494387772846, 28.8494085790995, 191.038328534942, 190.183655117756, 
175.33290326259, 199.2632149392, 175.400682364295, 176.64926273487, 
163.075864395099, 66.071984352649), LPC = c(0, 0, 0, 120.508804125665, 
109.194191312608, 103.16895230176, 119.324634197247, 0, 107.09037767833, 
97.151732936871, 0)), class = c("tbl_df", "tbl", "data.frame"
), row.names = c(NA, -11L), .Names = c("Sample", "WAX", "TAG", 
"FFA", "DAG1,2", "STEROL", "AMPL", "PE", "PC", "LPC"))
EN

回答 1

Stack Overflow用户

回答已采纳

发布于 2016-11-08 08:06:35

这本质上是一个水平条形图:

代码语言:javascript
运行
复制
library(reshape2)
DFm <- melt(DF, id.vars = "Sample")
DFm1 <- DFm
DFm1$value <- -DFm1$value
DFm <- rbind(DFm, DFm1)


ggplot(DFm, aes(x = "A", y = value / 10, fill = variable, color = variable)) +
  geom_bar(stat = "identity", position = "dodge") +
  coord_flip() +
  theme_minimal() +
  facet_wrap(~ Sample, nrow = 1, switch = "x") +
  theme(axis.text = element_blank(),
        axis.title = element_blank(),
        panel.grid = element_blank()) 

票数 4
EN
页面原文内容由Stack Overflow提供。腾讯云小微IT领域专用引擎提供翻译支持
原文链接:

https://stackoverflow.com/questions/40481319

复制
相关文章

相似问题

领券
问题归档专栏文章快讯文章归档关键词归档开发者手册归档开发者手册 Section 归档