如何使用ggplot2来用计数标签“填充”条形图?
我可以为“堆叠”的酒吧这么做。但我真的很困惑。
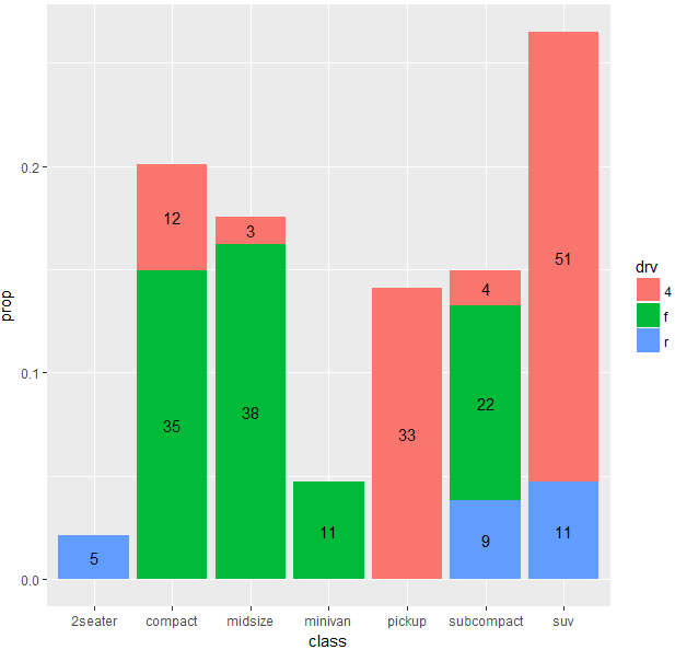
下面是一个使用dplyr和mpg数据集的可重复示例
library(ggplot)
library(dplyr)
mpg_summ <- mpg %>%
group_by(class, drv) %>%
summarise(freq = n()) %>%
ungroup() %>%
mutate(total = sum(freq),
prop = freq/total)
g <- ggplot(mpg_summ, aes(x = class, y = prop, group = drv))
g + geom_col(aes(fill = drv)) +
geom_text(aes(label = freq), position = position_stack(vjust = .5))

但是,如果我试图绘制填充栏的计数,它就不起作用了。
g <- ggplot(mpg_summ, aes(x=class, fill=drv))
g + stat_count(aes(y = (..count..)/sum(..count..)), geom="bar", position="fill") +
scale_y_continuous(labels = percent_format())

此外,如果我尝试:
g <- ggplot(mpg_summ, aes(x=class, fill=drv))
g + geom_bar(aes(y = freq), position="fill") +
geom_text(aes(label = freq), position = "fill") +
scale_y_continuous(labels = percent_format())我得到:
Error: stat_count() must not be used with a y aesthetic.发布于 2016-11-16 01:10:55
我漏掉了最后一个问题的填报部分。这应该能让你达到目的:
library(ggplot2)
library(dplyr)
mpg_summ <- mpg %>%
group_by(class, drv) %>%
summarise(freq = n()) %>%
ungroup() %>%
mutate(total = sum(freq),
prop = freq/total)
g <- ggplot(mpg_summ, aes(x = class, y = prop, group = drv))
g + geom_col(aes(fill = drv), position = 'fill') +
geom_text(aes(label = freq), position = position_fill(vjust = .5))

https://stackoverflow.com/questions/40622017
复制相似问题